2025年普通高中新课程同步练习册高中生物选择性必修2人教版
注:目前有些书本章节名称可能整理的还不是很完善,但都是按照顺序排列的,请同学们按照顺序仔细查找。练习册 2025年普通高中新课程同步练习册高中生物选择性必修2人教版 答案主要是用来给同学们做完题方便对答案用的,请勿直接抄袭。
第72页
- 第1页
- 第2页
- 第3页
- 第4页
- 第5页
- 第6页
- 第7页
- 第8页
- 第9页
- 第10页
- 第11页
- 第12页
- 第13页
- 第14页
- 第15页
- 第16页
- 第17页
- 第18页
- 第19页
- 第20页
- 第21页
- 第22页
- 第23页
- 第24页
- 第25页
- 第26页
- 第27页
- 第28页
- 第29页
- 第30页
- 第31页
- 第32页
- 第33页
- 第34页
- 第35页
- 第36页
- 第37页
- 第38页
- 第39页
- 第40页
- 第41页
- 第42页
- 第43页
- 第44页
- 第45页
- 第46页
- 第47页
- 第48页
- 第49页
- 第50页
- 第51页
- 第52页
- 第53页
- 第54页
- 第55页
- 第56页
- 第57页
- 第58页
- 第59页
- 第60页
- 第61页
- 第62页
- 第63页
- 第64页
- 第65页
- 第66页
- 第67页
- 第68页
- 第69页
- 第70页
- 第71页
- 第72页
- 第73页
- 第74页
- 第75页
- 第76页
- 第77页
- 第78页
- 第79页
- 第80页
- 第81页
- 第82页
- 第83页
- 第84页
- 第85页
- 第86页
- 第87页
- 第88页
- 第89页
- 第90页
- 第91页
- 第92页
- 第93页
- 第94页
- 第95页
- 第96页
- 第97页
- 第98页
- 第99页
- 第100页
- 第101页
- 第102页
- 第103页
- 第104页
- 第105页
- 第106页
- 第107页
- 第108页
- 第109页
- 第110页
- 第111页
- 第112页
- 第113页
- 第114页
- 第115页
- 第116页
- 第117页
- 第118页
- 第119页
- 第120页
1. 下图表示生态系统中各营养级能量的类型和去向($d$表示该营养级未被利用的能量)。下列有关叙述中不正确的是 ( )

A. 若图中$c$表示生产者与消费者的呼吸量,其所占比例不符
B. 生态系统中能量传递效率为$(a₂ + b₂ + c₂ + d₂)/(a₁ + b₁ + c₁ + d₁)$
C. 消费者从生产者获得的能量数值可用$(a₂ + b₂ + c₂ + d₂)$表示,且此部分能量存在于有机物中
D. 在食物链中,各营养级获得能量的方式及能量的用途相同
A. 若图中$c$表示生产者与消费者的呼吸量,其所占比例不符
B. 生态系统中能量传递效率为$(a₂ + b₂ + c₂ + d₂)/(a₁ + b₁ + c₁ + d₁)$
C. 消费者从生产者获得的能量数值可用$(a₂ + b₂ + c₂ + d₂)$表示,且此部分能量存在于有机物中
D. 在食物链中,各营养级获得能量的方式及能量的用途相同
答案:
D
2. 如图表示在一个生态系统中,关于植物光合作用积累的有机物被植食动物利用的过程,下列有关叙述正确的是 ( )

A. ①⑤之和为输入生态系统的全部能量
B. 植食动物粪便中的能量包含在⑤中
C. 提高圈养动物生长量一般需提高③/②值
D. ④占②的百分比为能量传递效率
A. ①⑤之和为输入生态系统的全部能量
B. 植食动物粪便中的能量包含在⑤中
C. 提高圈养动物生长量一般需提高③/②值
D. ④占②的百分比为能量传递效率
答案:
C
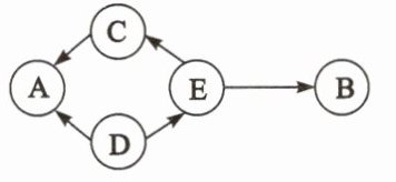
3. 如图为某生态系统食物网简图,若E生物种群同化的总能量为$8.1×10^{9}kJ$,B生物种群同化的总能量为$2.15×10^{8}kJ$,从理论上计算,A同化的总能量最少为 ( )

A. $8.1×10^{7}kJ$ B. $6.95×10^{7}kJ$ C. $5.95×10^{7}kJ$ D. $2.15×10^{7}kJ$
A. $8.1×10^{7}kJ$ B. $6.95×10^{7}kJ$ C. $5.95×10^{7}kJ$ D. $2.15×10^{7}kJ$
答案:
C 解析:根据题意和图示分析可知,A储存的总能量最少需要按最长食物链、最低能量传递效率计算,所以食物链是D→E→C→A。为此,E的能量在传递给A的途径中,只有确保:①E在传递给B时用去的能量最多;②E的总能量减去传递给B的能量后再传给C时效率最低;③C在传递给A时效率最低,结果才能使A获得的能量最少。所以据此计算得A贮存的总能量最少为(8.1×10⁹ - 2.15×10⁸÷10%)×10%×10% = 5.95×10⁷ kJ。
4. 生态学家对某弃耕地中一条食物链的能量流动进行了研究,结果如下表,单位是$J/(hm²·a)$。下列有关叙述错误的是 ( )

A. 流经该生态系统的总能量为$2.45×10^{11}J/(hm²·a)$
B. 田鼠和鼬的能量只有少部分用于生长、发育和繁殖
C. 能量从田鼠种群传递到鼬种群的传递效率是2.3%
D. 鼬摄入量与同化量的差值所代表的能量属于田鼠的同化量
A. 流经该生态系统的总能量为$2.45×10^{11}J/(hm²·a)$
B. 田鼠和鼬的能量只有少部分用于生长、发育和繁殖
C. 能量从田鼠种群传递到鼬种群的传递效率是2.3%
D. 鼬摄入量与同化量的差值所代表的能量属于田鼠的同化量
答案:
C
5. 下图是夏季某温带落叶林中,一个淡水池塘不同水深处测得的净初级生产量(净初级生产量 = 固定量 - 呼吸量)曲线图,下列说法错误的是 ( )

A. 该池塘可能具有较为明显的垂直结构
B. 固定量是输入该生态系统的总能量
C. 净初级生产量用于植物的生长繁殖,A处植物长势最好
D. 净初级生产量大小只与光照强度大小有关
A. 该池塘可能具有较为明显的垂直结构
B. 固定量是输入该生态系统的总能量
C. 净初级生产量用于植物的生长繁殖,A处植物长势最好
D. 净初级生产量大小只与光照强度大小有关
答案:
D
6. 海水立体养殖中,表层养殖海带等大型藻类,海带下面挂笼养殖滤食小型浮游植物的牡蛎,底层养殖以底栖微藻、生物遗体残骸等为食的海参。某海水立体养殖生态系统的能量流动示意图如下,M、N表示营养级。请回答下列问题:
(1) 估算海参种群密度时常用样方法,原因是________。
(2) 图中M用于生长、发育和繁殖的能量为________$kJ/(m²·a)$。由M到N的能量传递效率为________%(保留一位小数),该生态系统中的能量________(填“能”或“不能”)在M和遗体残骸间循环流动。
(3) 养殖的海带数量过多,造成牡蛎减产,从生物群落的角度分析,原因是________。
(4) 海水立体养殖模式运用了群落的空间结构原理,依据这一原理进行海水立体养殖的优点是________。在构建海水立体养殖生态系统时,需考虑所养殖生物的环境容纳量、种间关系等因素,从而确定每种生物之间的合适比例,这样做的目的是________。
(1) 估算海参种群密度时常用样方法,原因是________。
(2) 图中M用于生长、发育和繁殖的能量为________$kJ/(m²·a)$。由M到N的能量传递效率为________%(保留一位小数),该生态系统中的能量________(填“能”或“不能”)在M和遗体残骸间循环流动。
(3) 养殖的海带数量过多,造成牡蛎减产,从生物群落的角度分析,原因是________。
(4) 海水立体养殖模式运用了群落的空间结构原理,依据这一原理进行海水立体养殖的优点是________。在构建海水立体养殖生态系统时,需考虑所养殖生物的环境容纳量、种间关系等因素,从而确定每种生物之间的合适比例,这样做的目的是________。
答案:
(1)海参活动能力弱,活动范围小
(2)2488 6.3 不能
(3)由于海带的竞争,浮游植物数量下降,牡蛎的食物减少,产量降低
(4)能充分利用空间和资源 维持生态系统的稳定性,保持养殖产品的持续高产(或实现生态效益和经济效益的可持续发展)
解析:
(1)海参由于活动范围小,活动能力弱,所以常用样方法测定种群密度。
(2)生长、发育和繁殖的能量 = 同化的能量 - 呼吸作用消耗的能量 = 3281 + 2826 - 3619 = 2488 kJ/(m²·a);由M到N的能量传递效率为386÷(3281 + 2826)≈6.3%,能量流动的方向是单向的,不能循环。
(3)牡蛎以浮游植物为食,由于海带的竞争,浮游植物数量下降,牡蛎的食物减少,所以产量降低。
(4)海水立体养殖利用了群落结构的特点,优点是能充分利用空间和资源;由于空间和资源是有限的,所以在构建海水立体养殖生态系统时,需考虑所养殖生物的环境容纳量、种间关系等因素,从而确定每种生物之间的合适比例,维持生态系统的稳定性,保持养殖产品的持续高产。
(1)海参活动能力弱,活动范围小
(2)2488 6.3 不能
(3)由于海带的竞争,浮游植物数量下降,牡蛎的食物减少,产量降低
(4)能充分利用空间和资源 维持生态系统的稳定性,保持养殖产品的持续高产(或实现生态效益和经济效益的可持续发展)
解析:
(1)海参由于活动范围小,活动能力弱,所以常用样方法测定种群密度。
(2)生长、发育和繁殖的能量 = 同化的能量 - 呼吸作用消耗的能量 = 3281 + 2826 - 3619 = 2488 kJ/(m²·a);由M到N的能量传递效率为386÷(3281 + 2826)≈6.3%,能量流动的方向是单向的,不能循环。
(3)牡蛎以浮游植物为食,由于海带的竞争,浮游植物数量下降,牡蛎的食物减少,所以产量降低。
(4)海水立体养殖利用了群落结构的特点,优点是能充分利用空间和资源;由于空间和资源是有限的,所以在构建海水立体养殖生态系统时,需考虑所养殖生物的环境容纳量、种间关系等因素,从而确定每种生物之间的合适比例,维持生态系统的稳定性,保持养殖产品的持续高产。
查看更多完整答案,请扫码查看