2026年步步高精准讲练高中数学选择性必修第二册人教版
注:目前有些书本章节名称可能整理的还不是很完善,但都是按照顺序排列的,请同学们按照顺序仔细查找。练习册 2026年步步高精准讲练高中数学选择性必修第二册人教版 答案主要是用来给同学们做完题方便对答案用的,请勿直接抄袭。
我国魏晋时期的科学家刘徽创立了“割圆术”,实施“以直代曲”的近似计算,用正 $ n $ 边形进行“内外夹逼”的办法求出了圆周率 $ \pi $ 的精度较高的近似值,这是我国最优秀的传统科学文化之一. 借用“以直代曲”的近似计算方法,在切点附近,可以用函数图象的切线近似代替在切点附近的曲线来近似计算. 设 $ f(x) = e^{x^2} $,则 $ f'(x) = $
$2xe^{x^2}$
,其在点 $ (0,1) $ 处的切线方程为$y = 1$
.
答案:
$2xe^{x^2}$ $y = 1$
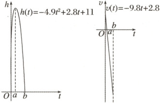
观察下面一次跳水的运动轨迹以及其导数的图象,试说明运动员从起跳到最高点,以及从最高点到入水这两段时间的运动状态有什么区别?如何从数学上刻画这种区别?

答案:
通过观察图象,可以发现
(1)从起跳到最高点,运动员离水面的高度h随时间t的增加而增加,即h(t)单调递增,相应地,v(t)=h'(t)>0;
(2)从最高点到入水,运动员离水面的高度h随时间t的增加而减小,即h(t)单调递减,相应地,v(t)=h'(t)<0。
(1)从起跳到最高点,运动员离水面的高度h随时间t的增加而增加,即h(t)单调递增,相应地,v(t)=h'(t)>0;
(2)从最高点到入水,运动员离水面的高度h随时间t的增加而减小,即h(t)单调递减,相应地,v(t)=h'(t)<0。
观察下面几个图象,探究函数的单调性和导数的正负的关系。

答案:
(1)函数y=x的定义域为R,并且在定义域上是增函数,其导数y'=1 >0;
(2)函数y=x²的定义域为R,在(-∞,0)上单调递减,在(0,+∞)上单调递增。而y'=2x,当x<0时,其导数y'<0;当x>0时,其导数y'>0;当x =0时,其导数y'=0;
(3)函数y=x³的定义域为R,在定义域上为增函数。而y'=3x²,当x≠0 时,其导数y'>0;当x=0时,其导数y'=0;
(4)函数y=$\frac{1}{x}$的定义域为(-∞,0)∪(0,+∞),在(-∞,0)上单调递减,在(0,+∞)上单调递减,而y'=-$\frac{1}{x²}$,因为x≠0,所以y'<0。
从以上四个函数的单调性及其导数符号的关系上说明,在某个区间(a,b)上,如果f'(x)>0,那么函数y=f(x)在这个区间上单调递增;如果f'(x)<0,那么函数y=f(x)在这个区间上单调递减。
(1)函数y=x的定义域为R,并且在定义域上是增函数,其导数y'=1 >0;
(2)函数y=x²的定义域为R,在(-∞,0)上单调递减,在(0,+∞)上单调递增。而y'=2x,当x<0时,其导数y'<0;当x>0时,其导数y'>0;当x =0时,其导数y'=0;
(3)函数y=x³的定义域为R,在定义域上为增函数。而y'=3x²,当x≠0 时,其导数y'>0;当x=0时,其导数y'=0;
(4)函数y=$\frac{1}{x}$的定义域为(-∞,0)∪(0,+∞),在(-∞,0)上单调递减,在(0,+∞)上单调递减,而y'=-$\frac{1}{x²}$,因为x≠0,所以y'<0。
从以上四个函数的单调性及其导数符号的关系上说明,在某个区间(a,b)上,如果f'(x)>0,那么函数y=f(x)在这个区间上单调递增;如果f'(x)<0,那么函数y=f(x)在这个区间上单调递减。
函数的单调性与其导数的正负之间的关系
定义在区间$(a,b)$上的函数$y = f(x)$:

定义在区间$(a,b)$上的函数$y = f(x)$:
答案:
增 减
利用导数判断下列函数的单调性:
(1)$f(x)=\frac{1}{3}x^{3}-x^{2}+2x - 5$;
(2)$f(x)=x-\frac{1}{x}-\ln x$;
(3)$f(x)=x - e^{x}(x > 0)$。
反思感悟:
(1)$f(x)=\frac{1}{3}x^{3}-x^{2}+2x - 5$;
(2)$f(x)=x-\frac{1}{x}-\ln x$;
(3)$f(x)=x - e^{x}(x > 0)$。
反思感悟:
答案:
解
(1)因为f(x)=$\frac{1}{3}$x³−x²+2x−5,所以f′(x)=x²−2x+2=(x−1)²+1>0,所以函数f(x)=$\frac{1}{3}$x³ −x²+2x−5在R上单调递增。
(2)因为f(x)=x−$\frac{1}{x}$−lnx,x∈(0,+∞),所以f'(x)=1+$\frac{1}{x²}$-$\frac{1}{x}$=$\frac{x²−x+1}{x²}$=$\frac{(x−\frac{1}{2})²+\frac{3}{4}}{x²}$>0,所以f(x)=x−$\frac{1}{x}$−lnx在(0,+∞)上单调递增。
(3)因为f(x)=x−e^x,x∈(0,+∞),所以f'(x)=1−e^x<0,所以f(x)=x−e^x在(0,+∞)上单调递减。
(1)因为f(x)=$\frac{1}{3}$x³−x²+2x−5,所以f′(x)=x²−2x+2=(x−1)²+1>0,所以函数f(x)=$\frac{1}{3}$x³ −x²+2x−5在R上单调递增。
(2)因为f(x)=x−$\frac{1}{x}$−lnx,x∈(0,+∞),所以f'(x)=1+$\frac{1}{x²}$-$\frac{1}{x}$=$\frac{x²−x+1}{x²}$=$\frac{(x−\frac{1}{2})²+\frac{3}{4}}{x²}$>0,所以f(x)=x−$\frac{1}{x}$−lnx在(0,+∞)上单调递增。
(3)因为f(x)=x−e^x,x∈(0,+∞),所以f'(x)=1−e^x<0,所以f(x)=x−e^x在(0,+∞)上单调递减。
查看更多完整答案,请扫码查看