第7页
- 第1页
- 第2页
- 第3页
- 第4页
- 第5页
- 第6页
- 第7页
- 第8页
- 第9页
- 第10页
- 第11页
- 第12页
- 第13页
- 第14页
- 第15页
- 第16页
- 第17页
- 第18页
- 第19页
- 第20页
- 第21页
- 第22页
- 第23页
- 第24页
- 第25页
- 第26页
- 第27页
- 第28页
- 第29页
- 第30页
- 第31页
- 第32页
- 第33页
- 第34页
- 第35页
- 第36页
- 第37页
- 第38页
- 第39页
- 第40页
- 第41页
- 第42页
- 第43页
- 第44页
- 第45页
- 第46页
- 第47页
- 第48页
- 第49页
- 第50页
- 第51页
- 第52页
- 第53页
- 第54页
- 第55页
- 第56页
- 第57页
- 第58页
- 第59页
- 第60页
- 第61页
- 第62页
- 第63页
- 第64页
- 第65页
- 第66页
- 第67页
- 第68页
- 第69页
- 第70页
- 第71页
- 第72页
- 第73页
- 第74页
- 第75页
- 第76页
- 第77页
- 第78页
- 第79页
- 第80页
- 第81页
- 第82页
- 第83页
- 第84页
- 第85页
- 第86页
- 第87页
- 第88页
- 第89页
- 第90页
- 第91页
- 第92页
- 第93页
- 第94页
- 第95页
- 第96页
- 第97页
- 第98页
- 第99页
- 第100页
- 第101页
- 第102页
- 第103页
- 第104页
- 第105页
- 第106页
- 第107页
- 第108页
- 第109页
- 第110页
- 第111页
- 第112页
- 第113页
- 第114页
- 第115页
- 第116页
- 第117页
- 第118页
- 第119页
- 第120页
- 第121页
- 第122页
- 第123页
- 第124页
1. 新素材传统文化(2024·北京中考)北京的鸽哨制作精致,图中所示的是用多个管状哨连接成的一

个“连筒类”鸽哨.当鸽子携带鸽哨飞行时,哨声既有高音、也有低音,主要是因为各筒的长短会影响发出声音的 ()
A. 音调
B. 音色
C. 响度
D. 传播速度
个“连筒类”鸽哨.当鸽子携带鸽哨飞行时,哨声既有高音、也有低音,主要是因为各筒的长短会影响发出声音的 ()
A. 音调
B. 音色
C. 响度
D. 传播速度
答案:
A 解析:A. 音调指的是声音的高低,与振动频率有关,各筒的长短不同,空气振动频率不同,音调不同,故A符合题意;B. 音色指的是声音的特色,与发声的材料和结构有关,与各筒的长短无关,故B不符合题意;C. 响度指的是声音的强弱,影响因素是振动的幅度,与各筒的长短无关,故C不符合题意;D. 传播速度与介质种类、温度等有关,与各筒的长短无关,故D不符合题意.故选A.
2. 小明在家往保温瓶里灌开水过程中,听声音就能判断壶里水位的高低,他是根据什么来判断水是否满的 ()
A. 随着水位升高,音调逐渐升高
B. 随着水位升高,音调逐渐降低
C. 水位升高,音调不变,响度越来越大
D. 水位升高,音调不变,响度越来越小
A. 随着水位升高,音调逐渐升高
B. 随着水位升高,音调逐渐降低
C. 水位升高,音调不变,响度越来越大
D. 水位升高,音调不变,响度越来越小
答案:
A 解析:往保温瓶里灌开水过程中,是保温瓶中的空气柱在振动.随着水位的升高,空气柱变短,所以声音的音调变高.故选A.
3. (2025·镇江丹徒区期中)某演员为大家表演二胡独奏《赛马》,二胡能发出优美的乐声是弓和弦摩擦,使弦发生______而产生,二胡上方有两个转柄,可以调节弦的松紧,用来调节______高低,两根弦中较粗的那根适合音谱中______音,在演奏时演员的左手不停的在弦上移动,是通过改变弦的______来改变______,二胡最下方的音箱主要是增加声音的______.
答案:
振动 音调 低 振动频率 音调 响度 解析:根据声音的产生条件可知,二胡能发出优美的乐声是弓和弦摩擦,使弦发生振动而产生的.二胡上方有两个转柄,可以调节弦的松紧,可以改变振动的频率,从而用来调节音调的高低.较粗的弦振动的频率较低,所以两根弦中较粗的那根适合音谱中低音.在演奏时演员的左手不停地在弦上移动,弦振动的频率会发生变化,所以是通过改变弦的振动频率来改变音调.二胡最下方的音箱可以增加振动的幅度,主要是增加声音的响度.
4. 如图所示,小明用一张硬卡片先后快拨和慢拨木梳的齿,听到声音的______不同;但对于声音主要是由哪个物体发出的有所疑惑,于是他又找来了薄铁片、薄塑料片和薄木板,用相同的速度先后在梳齿上划过进行对比,发现声音的音色不同,据此判断听到的声音主要是由______(填“梳齿”或“硬卡片”)发出的.

答案:
音调 硬卡片
5. 复读机的扬声器发声时,它的纸盆在1 min内振动了30 000次,则它振动的频率为______Hz;当复读机加速快放时,发出声音的响度______(填“变大”“变小”或“不变”),音调______(填“升高”“降低”或“不变”).
答案:
500 不变 升高 解析:纸盆在1min内振动了30000次,$f=\frac{30000}{60s}=500Hz$;快放时振动的振幅不变,声音的大小不变,所以响度不变;快放时振动的快慢变快了,即频率变高,所以音调变高.
6. 如图所示,8个完全相同的水杯中灌入不同高度的水,敲击它们,可以发出“1、2、3、4、5、6、7、i”的声音来.这些声音是由______(填“水和杯子”或“空气柱”)振动发出的.越用力敲,声音就越响,是因为:______.从A到B敲击音调越来越______.

答案:
水和杯子 振幅越大,响度越大 高 解析:敲击它们时,振动的物体是水和杯子,说明声音是由物体的振动产生的.声音的响度与振幅有关,振幅越大,响度越大,越用力敲,声音就越响,是因为振幅越大,响度越大.杯中盛水越多,杯子和水的质量越大,越难振动,音调越低,所以从A到B敲击,音调越来越高.
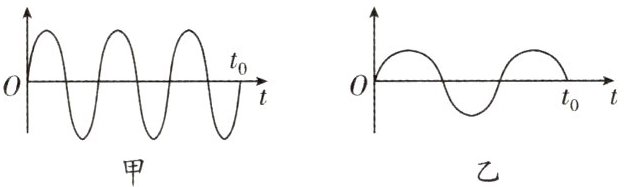
7. 仔细观察如图所示的两个波形图,指出图中______音调较高,______响度较大.若波形图显示振动的时间是0.3 s,则乙振动的频率为______Hz.

答案:
甲 甲 5 解析:音调跟频率有关,频率越大,音调越高,故音调较高的是甲波形图.响度跟振幅有关,振幅越大,响度越大,故响度较大的是甲波形图.乙振动的频率为$\frac{1.5}{0.3s}=5Hz$.
8. 如图所示是我国古代一种乐器叫筚篥,亦称“芦管”“茄管”,已有两千年左右的历史.下列说法中正确的是 ()

A. 吹筚篥用力越大,发出声音的音调越高
B. 吹筚篥时按住不同孔发出声音的音色是不同的
C. 吹筚篥发出的声音是由它内部空气柱振动产生的
D. 吹筚篥发出的声音在水中的传播速度小于在空气中的传播速度
A. 吹筚篥用力越大,发出声音的音调越高
B. 吹筚篥时按住不同孔发出声音的音色是不同的
C. 吹筚篥发出的声音是由它内部空气柱振动产生的
D. 吹筚篥发出的声音在水中的传播速度小于在空气中的传播速度
答案:
C 解析:A.吹筚篥用力越大,空气柱的振幅越大,发出声音的响度越大,而音调不受影响,故A错误;B.吹筚篥时按住不同孔,空气柱振动的频率不同,声音的音调不同,而音色不受影响,故B错误;C.吹筚篥发出的声音是由它内部空气柱振动产生的,故C正确;D.声音在水中的传播速度大于在空气中的传播速度,故D错误.故选C.
查看更多完整答案,请扫码查看