第115页
- 第1页
- 第2页
- 第3页
- 第4页
- 第5页
- 第6页
- 第7页
- 第8页
- 第9页
- 第10页
- 第11页
- 第12页
- 第13页
- 第14页
- 第15页
- 第16页
- 第17页
- 第18页
- 第19页
- 第20页
- 第21页
- 第22页
- 第23页
- 第24页
- 第25页
- 第26页
- 第27页
- 第28页
- 第29页
- 第30页
- 第31页
- 第32页
- 第33页
- 第34页
- 第35页
- 第36页
- 第37页
- 第38页
- 第39页
- 第40页
- 第41页
- 第42页
- 第43页
- 第44页
- 第45页
- 第46页
- 第47页
- 第48页
- 第49页
- 第50页
- 第51页
- 第52页
- 第53页
- 第54页
- 第55页
- 第56页
- 第57页
- 第58页
- 第59页
- 第60页
- 第61页
- 第62页
- 第63页
- 第64页
- 第65页
- 第66页
- 第67页
- 第68页
- 第69页
- 第70页
- 第71页
- 第72页
- 第73页
- 第74页
- 第75页
- 第76页
- 第77页
- 第78页
- 第79页
- 第80页
- 第81页
- 第82页
- 第83页
- 第84页
- 第85页
- 第86页
- 第87页
- 第88页
- 第89页
- 第90页
- 第91页
- 第92页
- 第93页
- 第94页
- 第95页
- 第96页
- 第97页
- 第98页
- 第99页
- 第100页
- 第101页
- 第102页
- 第103页
- 第104页
- 第105页
- 第106页
- 第107页
- 第108页
- 第109页
- 第110页
- 第111页
- 第112页
- 第113页
- 第114页
- 第115页
- 第116页
- 第117页
- 第118页
- 第119页
- 第120页
- 第121页
- 第122页
- 第123页
- 第124页
8. 甲、乙两位同学在操场的平直跑道上做匀速直线运动,他们同时经过 MN 线,一段时间后他们的位置如图所示.图中分别作出了两人运动的 $ s $ 与 $ t $ 或 $ v $ 与 $ t $ 的关系图像,其中正确的是 ()


答案:
B 解析:由题意知甲、乙两人都做匀速直线运动,甲与乙的速度保持不变,在相等时间内$s_{甲}\lt s_{乙}$,由$v=\frac {s}{t}$可知,甲的速度小于乙的速度;AB.因为甲的速度小于乙的速度,则相同时间内,甲通过的路程小于乙通过的路程,故A错误,B正确;C.由速度和时间图像可知甲的速度大于乙的速度,不符合题意,故C错误;D.由速度和时间图像可知,甲、乙两人做变速直线运动,不符合题意,故D错误.故选B.
9. 小明用玩具汽车测量平均速度,让汽车在水平面上沿直线运动,位置传感器每隔 0.2 s 记录一次汽车的位置分别为 A、B、C、D(如图所示),由图可知,下列四段平均速度最大的是 (

)
A. AC 段
B. BC 段
C. AD 段
D. BD 段
)
A. AC 段
B. BC 段
C. AD 段
D. BD 段
答案:
D 解析:由图示知,在相同的时间0.2 s内,汽车通过的路程越来越长,说明做加速直线运动,所以四段中平均速度最大的是BD段,故ABC不符合题意,D符合题意.故选D.
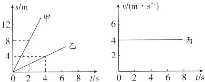
10. (2024·扬州仪征市期末)如图所示,甲、乙、丙三辆小车同时、同地向同方向运动,那么 ()

A. 甲车的速度为 8 m/s
B. 0 s 时,甲、乙两车相距 40 m
C. 若乙、丙运动的路程相等,则乙和丙所用的时间之比为 4:1
D. 甲、丙两车的速度之比为 2:1
A. 甲车的速度为 8 m/s
B. 0 s 时,甲、乙两车相距 40 m
C. 若乙、丙运动的路程相等,则乙和丙所用的时间之比为 4:1
D. 甲、丙两车的速度之比为 2:1
答案:
C 解析:A.甲车的速度为$v_{甲}=\frac {s_{甲}}{t_{甲}}=\frac {8m}{2s}=4m/s$,故A错误;B.甲、乙、丙三辆小车同时、同地向同方向运动,0 s时,甲、乙两车相距0 m,故B错误;C.由图得,乙、丙均做匀速直线运动,乙的速度为$v_{乙}=\frac {s_{乙}}{t_{乙}}=\frac {4m}{4s}=1m/s$,丙的速度为4 m/s,乙、丙运动的路程相等,由$v=\frac {s}{t}$得,乙和丙所用的时间之比为$t_{乙}:t_{丙}=v_{丙}:v_{乙}=4:1$,故C正确;D.甲、丙两车的速度之比为$v_{甲}:v_{丙}=4m/s:4m/s=1:1$,故D错误.故选C.
11. 甲、乙两名同学从同一起点出发,沿平直公路运动到相同终点. 甲在前一半时间里以 2 m/s 做匀速直线运动,后一半时间里以 1 m/s 做匀速直线运动;乙在前一半路程中以 1 m/s 做匀速直线运动,后一半路程中以 2 m/s 做匀速直线运动,则甲、乙到达终点的时间之比为 ()
A. 1:1
B. 9:8
C. 8:9
D. 4:3
A. 1:1
B. 9:8
C. 8:9
D. 4:3
答案:
C 解析:设总路程为s,甲所用时间为t,乙所用时间为$t'$,对甲可得出$s=\frac {1}{2}t×2m/s+\frac {1}{2}t×1m/s$,即$t=\frac {2s}{3m/s}$,对乙可得出$t'=\frac {\frac {1}{2}s}{1m/s}+\frac {\frac {1}{2}s}{2m/s}=\frac {3s}{4m/s}$,则甲、乙到达终点的时间之比$\frac {t}{t'}=\frac {\frac {2s}{3m/s}}{\frac {3s}{4m/s}}=8:9$,综上分析知,故ABD不符合题意,C符合题意.故选C.
12. 如图是用水下照相机拍摄的小球在水中下落的一张频闪

照片.已知水池壁上每块瓷砖的高度为 15 cm,闪光灯每隔 0.1 s 闪亮一次(即拍摄一次).由图可知,小球从位置 B 到 D 做的是____(填“匀速”或“变速”)运动,小球通过 D 点时的速度为____m/s.
照片.已知水池壁上每块瓷砖的高度为 15 cm,闪光灯每隔 0.1 s 闪亮一次(即拍摄一次).由图可知,小球从位置 B 到 D 做的是____(填“匀速”或“变速”)运动,小球通过 D 点时的速度为____m/s.
答案:
匀速 1.5 解析:由图得,小球从位置B到D,相同时间内,小球经过的路程相同,说明小球做匀速直线运动.小球通过D点时的速度为$v=\frac {s}{t}=\frac {2×15cm}{2×0.1s}=150cm/s=$1.5 m/s.
13. (2024·镇江京口区期中)除夕夜,小华在阳台欣赏远处绽放的礼花,礼花绽放时间间隔均匀,每次闪光之后 1 s 就听到一声爆响.为估计礼花燃放地点到她家距离,于是她在某次看见闪光开始计时.听到最后一声爆响停止计时,历时 13 s,共有 3 次闪光,5 次爆响(如图).礼花闪光和相应爆响是____(填“同时”或“不同时”)产生的,相邻两次爆响间隔____s,礼花燃放地点到她家距离约____m.(已知声音在空气中的传播速度约 340 m/s)

答案:
同时 3 2 380 解析:闪光和爆响是同时产生的,小华先看到闪光,是因为光的传播速度比声音的传播速度快.根据题意可知,历时13 s,听到5次爆响,有4个间隔,闪光之后开始计时,且1 s后有一声爆响,所以声音传播的间隔时间为$t=\frac {13s-1s}{4}=3s$;又因为看见3次闪光,听见5次爆响,所以第3次(最后一次)闪光对应第5次(最后一次)爆响,所以最后一次爆响传播的时间为两个间隔时间段,再加1 s,即$t'=3s×2+1s=7s$,由$v=\frac {s}{t}$得,礼花燃放地点到她家距离$s=v_{声}t'=340m/s×7s=2380m$.
14. 新教材 新变化 如图甲是小明“研究气泡的运动速度”实验装置.将内径 0.6 cm,长为 1 m 的玻璃管装满水,仅留一个气泡.先将玻璃管右端抬高,使气泡处在右端,再把右端放在桌面上.要正确判断气泡是否做匀速直线运动,确定如下方案:
方案一:测量气泡从 O 点运动到 10 cm、20 cm、30 cm 和 40 cm 处所用的时间;
方案二:测量气泡从计时开始 1 s、2 s、3 s 和 4 s 所通过的距离.

(1)为便于操作,应选方案____.
(2)为准确测量,应使气泡在管内较____(填“快”或“慢”)地运动,这是为了减小测量____(填“路程”或“时间”)时的误差,实验中,在图甲玻璃管上应选择线____(填“A”或“B”)作为起点 O 更合理,理由是____.
(3)小明在记录气泡上升一段路程后的实验数据如表所示,分析数据可知:气泡上升一段路程后,运动的路程和时间近似成____(填“正比”或“反比”).

(4)实验结束后,将水倒尽,将一个比内径稍小的钢珠从管口由静止开始释放,发现其下落速度越来越快,则他绘制 $ s - t $ 图像接近图乙中的____(填“①”或“②”).
方案一:测量气泡从 O 点运动到 10 cm、20 cm、30 cm 和 40 cm 处所用的时间;
方案二:测量气泡从计时开始 1 s、2 s、3 s 和 4 s 所通过的距离.
(1)为便于操作,应选方案____.
(2)为准确测量,应使气泡在管内较____(填“快”或“慢”)地运动,这是为了减小测量____(填“路程”或“时间”)时的误差,实验中,在图甲玻璃管上应选择线____(填“A”或“B”)作为起点 O 更合理,理由是____.
(3)小明在记录气泡上升一段路程后的实验数据如表所示,分析数据可知:气泡上升一段路程后,运动的路程和时间近似成____(填“正比”或“反比”).
(4)实验结束后,将水倒尽,将一个比内径稍小的钢珠从管口由静止开始释放,发现其下落速度越来越快,则他绘制 $ s - t $ 图像接近图乙中的____(填“①”或“②”).
答案:
(1)一
(2)慢 时间 A 等气泡运动稳定后开始记录时间和路程
(3)正比
(4)②
(1)一
(2)慢 时间 A 等气泡运动稳定后开始记录时间和路程
(3)正比
(4)②
查看更多完整答案,请扫码查看