2025年53精准练九年级数学下册人教版山西专版
注:目前有些书本章节名称可能整理的还不是很完善,但都是按照顺序排列的,请同学们按照顺序仔细查找。练习册 2025年53精准练九年级数学下册人教版山西专版 答案主要是用来给同学们做完题方便对答案用的,请勿直接抄袭。
8. 在△ABC中,∠ABC = 30°,AB = √3,AC = 1,则∠ACB的度数为_________.
答案:
$60^{\circ}$或$120^{\circ}$
9. 如图,在△ABC中,AB = AC = 5,∠A = 120°,则BC的长是( )

A. 8
B. 5√2
C. 5√3
D. 10√3/3
A. 8
B. 5√2
C. 5√3
D. 10√3/3
答案:
C
10. [2024朔州一模]如图是一面钟表,以指针的旋转中心O为坐标原点,以9点整时针和分针所在的直线分别为x轴和y轴建立如图所示的平面直角坐标系,当时间为10点10分时,分针的外端点落在点A处. 若OA = 10,则点A的坐标为( )

A. (5√3, 5)
B. (5, 5√3)
C. (5√2, 5)
D. (5√3, 5√2)
A. (5√3, 5)
B. (5, 5√3)
C. (5√2, 5)
D. (5√3, 5√2)
答案:
A
11. 如图,已知∠ACB = 90°,AC = 10,OB = 17,cos∠OBC = 3/5,则点C的坐标为( )

A. (8, 27/4)
B. (8, 12)
C. (6, 33/4)
D. (6, 10)
A. (8, 27/4)
B. (8, 12)
C. (6, 33/4)
D. (6, 10)
答案:
B
详解: 如图所示,过点C作CD⊥x轴于点D, CE⊥y轴于点E,
$\because \angle ACB = 90^{\circ}$, $\angle AOB = 90^{\circ}$,
$\therefore \angle OBC+\angle OAC = 180^{\circ}$,
$\because \angle EAC+\angle OAC = 180^{\circ}$,
$\therefore \angle EAC = \angle OBC$,
$\because AC = 10$, $\cos\angle OBC=\frac{3}{5}$,
$\therefore \cos\angle EAC=\frac{EA}{AC}=\frac{EA}{10}=\frac{3}{5}$,
$\therefore EA = 6$,
$\therefore EC=\sqrt{AC^{2}-EA^{2}} = 8$,
易得$OD = EC = 8$.
$\because OB = 17$,
$\therefore BD = 9$,
$\because \cos\angle OBC=\frac{BD}{CB}=\frac{3}{5}$,
$\therefore CB = 15$,
$\therefore CD=\sqrt{CB^{2}-DB^{2}}=\sqrt{15^{2}-9^{2}} = 12$
$\therefore C(8, 12)$.
B
详解: 如图所示,过点C作CD⊥x轴于点D, CE⊥y轴于点E,
$\because \angle ACB = 90^{\circ}$, $\angle AOB = 90^{\circ}$,
$\therefore \angle OBC+\angle OAC = 180^{\circ}$,
$\because \angle EAC+\angle OAC = 180^{\circ}$,
$\therefore \angle EAC = \angle OBC$,
$\because AC = 10$, $\cos\angle OBC=\frac{3}{5}$,
$\therefore \cos\angle EAC=\frac{EA}{AC}=\frac{EA}{10}=\frac{3}{5}$,
$\therefore EA = 6$,
$\therefore EC=\sqrt{AC^{2}-EA^{2}} = 8$,
易得$OD = EC = 8$.
$\because OB = 17$,
$\therefore BD = 9$,
$\because \cos\angle OBC=\frac{BD}{CB}=\frac{3}{5}$,
$\therefore CB = 15$,
$\therefore CD=\sqrt{CB^{2}-DB^{2}}=\sqrt{15^{2}-9^{2}} = 12$
$\therefore C(8, 12)$.
12. 如图,在□ABCD中,∠AOB = 120°,BD = 20,则□ABCD的面积为__________.
答案:
$50\sqrt{3}$
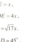
13. [2024达州改编]如图,在Rt△ABC中,∠C = 90°. 点D在线段BC上,∠BAD = 45°. 若tan∠ADC = 4,CD = 1,求△ABC的面积.
答案:
解: 如图, 延长AD, 过点B向AD的延长线作垂线, 垂足记为E
则$\angle BDE=\angle ADC$,
$\therefore \tan\angle BDE=\tan\angle ADC = 4$.
在Rt△ACD中, $\tan\angle ADC = 4$, $CD = 1$,
$\therefore AC = CD\cdot\tan\angle ADC = 4$,
$\therefore AD=\sqrt{AC^{2}+CD^{2}}=\sqrt{17}$.
在Rt△BED中,设$DE = x$,
则$BE = DE\cdot\tan\angle BDE = 4x$,
$\therefore BD=\sqrt{BE^{2}+DE^{2}}=\sqrt{17}x$.
在Rt△BEA中, $\angle BAD = 45^{\circ}$,
$\therefore AE = BE = 4x$,
又$\because AE = AD + DE=\sqrt{17}+x$,
$\therefore 4x=\sqrt{17}+x$,解得$x=\frac{\sqrt{17}}{3}$,
$\therefore BD=\sqrt{17}x=\frac{17}{3}$,
$\therefore BC = BD + CD=\frac{17}{3}+1=\frac{20}{3}$,
$\therefore S_{\triangle ABC}=\frac{1}{2}AC\cdot BC=\frac{40}{3}$.
解: 如图, 延长AD, 过点B向AD的延长线作垂线, 垂足记为E
则$\angle BDE=\angle ADC$,
$\therefore \tan\angle BDE=\tan\angle ADC = 4$.
在Rt△ACD中, $\tan\angle ADC = 4$, $CD = 1$,
$\therefore AC = CD\cdot\tan\angle ADC = 4$,
$\therefore AD=\sqrt{AC^{2}+CD^{2}}=\sqrt{17}$.
在Rt△BED中,设$DE = x$,
则$BE = DE\cdot\tan\angle BDE = 4x$,
$\therefore BD=\sqrt{BE^{2}+DE^{2}}=\sqrt{17}x$.
在Rt△BEA中, $\angle BAD = 45^{\circ}$,
$\therefore AE = BE = 4x$,
又$\because AE = AD + DE=\sqrt{17}+x$,
$\therefore 4x=\sqrt{17}+x$,解得$x=\frac{\sqrt{17}}{3}$,
$\therefore BD=\sqrt{17}x=\frac{17}{3}$,
$\therefore BC = BD + CD=\frac{17}{3}+1=\frac{20}{3}$,
$\therefore S_{\triangle ABC}=\frac{1}{2}AC\cdot BC=\frac{40}{3}$.
14. [推理能力·2024太原三模]如图,已知在Rt△ABC中,∠ACB = 90°,∠A = 30°,AB = 2,过点C作CD₁⊥AB于D₁,过点D₁作D₁D₂⊥AC于D₂,过点D₂作D₂D₃⊥AB于D₃,过点D₃作D₃D₄⊥AC于D₄,……,按此方法得到的D₇D₈的长为__________.
答案:
$\frac{81}{256}$
详解: $\because \angle ACB = 90^{\circ}$, $\angle A = 30^{\circ}$,
$\therefore \angle B = 60^{\circ}$, $BC=\frac{1}{2}AB = 1$.
$\because CD_{1}\perp AB$,
$\therefore \angle BCD_{1}=30^{\circ}$,
在Rt△BCD_{1}中, $\angle BD_{1}C = 90^{\circ}$, $BC = 1$, 则$CD_{1}=\frac{\sqrt{3}}{2}$;
在Rt△CD_{1}D_{2}中,
$D_{1}D_{2}=\frac{\sqrt{3}}{2}CD_{1}=(\frac{\sqrt{3}}{2})^{2}$;
进而可得, $D_{2}D_{3}=(\frac{\sqrt{3}}{2})^{3}$; …….
$\therefore D_{n}D_{n + 1}=(\frac{\sqrt{3}}{2})^{n + 1}$.
$\therefore D_{7}D_{8}=(\frac{\sqrt{3}}{2})^{8}=\frac{81}{256}$.
$\frac{81}{256}$
详解: $\because \angle ACB = 90^{\circ}$, $\angle A = 30^{\circ}$,
$\therefore \angle B = 60^{\circ}$, $BC=\frac{1}{2}AB = 1$.
$\because CD_{1}\perp AB$,
$\therefore \angle BCD_{1}=30^{\circ}$,
在Rt△BCD_{1}中, $\angle BD_{1}C = 90^{\circ}$, $BC = 1$, 则$CD_{1}=\frac{\sqrt{3}}{2}$;
在Rt△CD_{1}D_{2}中,
$D_{1}D_{2}=\frac{\sqrt{3}}{2}CD_{1}=(\frac{\sqrt{3}}{2})^{2}$;
进而可得, $D_{2}D_{3}=(\frac{\sqrt{3}}{2})^{3}$; …….
$\therefore D_{n}D_{n + 1}=(\frac{\sqrt{3}}{2})^{n + 1}$.
$\therefore D_{7}D_{8}=(\frac{\sqrt{3}}{2})^{8}=\frac{81}{256}$.
查看更多完整答案,请扫码查看