2025年理想树图书高考必刷卷42套模拟卷汇编高中数学人教版
注:目前有些书本章节名称可能整理的还不是很完善,但都是按照顺序排列的,请同学们按照顺序仔细查找。练习册 2025年理想树图书高考必刷卷42套模拟卷汇编高中数学人教版 答案主要是用来给同学们做完题方便对答案用的,请勿直接抄袭。
第79页
- 第1页
- 第2页
- 第3页
- 第4页
- 第5页
- 第6页
- 第7页
- 第8页
- 第9页
- 第10页
- 第11页
- 第12页
- 第13页
- 第14页
- 第15页
- 第16页
- 第17页
- 第18页
- 第19页
- 第20页
- 第21页
- 第22页
- 第23页
- 第24页
- 第25页
- 第26页
- 第27页
- 第28页
- 第29页
- 第30页
- 第31页
- 第32页
- 第33页
- 第34页
- 第35页
- 第36页
- 第37页
- 第38页
- 第39页
- 第40页
- 第41页
- 第42页
- 第43页
- 第44页
- 第45页
- 第46页
- 第47页
- 第48页
- 第49页
- 第50页
- 第51页
- 第52页
- 第53页
- 第54页
- 第55页
- 第56页
- 第57页
- 第58页
- 第59页
- 第60页
- 第61页
- 第62页
- 第63页
- 第64页
- 第65页
- 第66页
- 第67页
- 第68页
- 第69页
- 第70页
- 第71页
- 第72页
- 第73页
- 第74页
- 第75页
- 第76页
- 第77页
- 第78页
- 第79页
- 第80页
- 第81页
- 第82页
- 第83页
- 第84页
- 第85页
- 第86页
- 第87页
- 第88页
- 第89页
- 第90页
- 第91页
- 第92页
- 第93页
- 第94页
- 第95页
- 第96页
19.(12分)一项试验旨在研究臭氧效应,试验方案如下:选40只小白鼠,随机地将其中20只分配到试验组,另外20只分配到对照组,试验组的小白鼠饲养在高浓度臭氧环境,对照组的小白鼠饲养在正常环境,一段时间后统计每只小白鼠体重的增加量(单位:g)。
(1)设X表示指定的两只小白鼠中分配到对照组的只数,求X的分布列和数学期望;
(2)试验结果如下:
对照组的小白鼠体重的增加量从小到大排序为
15.2 18.8 20.2 21.3 22.5 23.2 25.8
26.5 27.5 30.1 32.6 34.3 34.8 35.6
35.6 35.8 36.2 37.3 40.5 43.2
试验组的小白鼠体重的增加量从小到大排序为
7.8 9.2 11.4 12.4 13.2 15.5 16.5
18.0 18.8 19.2 19.8 20.2 21.6 22.8
23.6 23.9 25.1 28.2 32.3 36.5
(i)求40只小白鼠体重的增加量的中位数m,再分别统计两样本中小于m与不小于m的数据的个数,完成如下列联表:
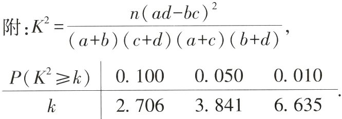
(ii)根据(i)中的列联表,能否有95%的把握认为小白鼠在高浓度臭氧环境中与在正常环境中体重的增加量有差异?
(1)设X表示指定的两只小白鼠中分配到对照组的只数,求X的分布列和数学期望;
(2)试验结果如下:
对照组的小白鼠体重的增加量从小到大排序为
15.2 18.8 20.2 21.3 22.5 23.2 25.8
26.5 27.5 30.1 32.6 34.3 34.8 35.6
35.6 35.8 36.2 37.3 40.5 43.2
试验组的小白鼠体重的增加量从小到大排序为
7.8 9.2 11.4 12.4 13.2 15.5 16.5
18.0 18.8 19.2 19.8 20.2 21.6 22.8
23.6 23.9 25.1 28.2 32.3 36.5
(i)求40只小白鼠体重的增加量的中位数m,再分别统计两样本中小于m与不小于m的数据的个数,完成如下列联表:
(ii)根据(i)中的列联表,能否有95%的把握认为小白鼠在高浓度臭氧环境中与在正常环境中体重的增加量有差异?
答案:
[命题点]超几何分布、离散型随机变量的分布列和数学期望、独立性检验
[解]
(1)X的可能取值为0,1,2,则
P(X=0)=$\frac{C2C38}{C20}$=$\frac{19}{78}$,P(X=1)=$\frac{CC38}{C20}$=$\frac{20}{39}$,
P(X=2)=$\frac{C²C38}{C20}$=$\frac{19}{78}$, 2分所以X的分布列为
X 0 1 2
P $\frac{19}{78}$ $\frac{20}{39}$ $\frac{19}{78}$
E(X)=0x$\frac{19}{78}$+1×$\frac{20}{39}$+2×$\frac{19}{78}$=1. 6分另解;由M=2,N=40,n=20,得E(X)=$\frac{nM}{N}$=$\frac{20×2}{40}$=1
(2)(i)40只小白鼠体重的增加量从小到大排序为
7.8 9.2 11.4 12.4 13.2 15.2 15.5 16.5 18.0 18.8 18.8 19.2 19.8 20.2 20.2 21.3 21.6 22.5 22.8 23.2 23.6 23.9 25.1 25.8 26.5 27.5 28.2 30.1 32.3 32.6 34.3 34.8 35.6 35.6 35.8 36.2 36.5 37.3 40.5 43.2 所以40只小白鼠体重的增加量的中位数m=$\frac{23.2+23.6}{2}$=
23.4. 8分所以列联表如下:
<m ≥m 合计
对照组 6 14 20
试验组 14 6 20
合计 20 20 40 ....10分(ii)因为K²²=$\frac{40×(6×6−14×14)}{20×20×20×20}$=6.4>3.841,
所以有95%的把握认为小白鼠在高浓度臭氧环境中与在正常环境中体重的增加量有差异. 12分
[解]
(1)X的可能取值为0,1,2,则
P(X=0)=$\frac{C2C38}{C20}$=$\frac{19}{78}$,P(X=1)=$\frac{CC38}{C20}$=$\frac{20}{39}$,
P(X=2)=$\frac{C²C38}{C20}$=$\frac{19}{78}$, 2分所以X的分布列为
X 0 1 2
P $\frac{19}{78}$ $\frac{20}{39}$ $\frac{19}{78}$
E(X)=0x$\frac{19}{78}$+1×$\frac{20}{39}$+2×$\frac{19}{78}$=1. 6分另解;由M=2,N=40,n=20,得E(X)=$\frac{nM}{N}$=$\frac{20×2}{40}$=1
(2)(i)40只小白鼠体重的增加量从小到大排序为
7.8 9.2 11.4 12.4 13.2 15.2 15.5 16.5 18.0 18.8 18.8 19.2 19.8 20.2 20.2 21.3 21.6 22.5 22.8 23.2 23.6 23.9 25.1 25.8 26.5 27.5 28.2 30.1 32.3 32.6 34.3 34.8 35.6 35.6 35.8 36.2 36.5 37.3 40.5 43.2 所以40只小白鼠体重的增加量的中位数m=$\frac{23.2+23.6}{2}$=
23.4. 8分所以列联表如下:
<m ≥m 合计
对照组 6 14 20
试验组 14 6 20
合计 20 20 40 ....10分(ii)因为K²²=$\frac{40×(6×6−14×14)}{20×20×20×20}$=6.4>3.841,
所以有95%的把握认为小白鼠在高浓度臭氧环境中与在正常环境中体重的增加量有差异. 12分
20.(12分)已知直线$x - 2y + 1 = 0$与抛物线$C:y^{2} = 2px(p>0)$交于A,B两点,$|AB| = 4\sqrt{15}$
(1)求p;
(2)设F为C的焦点,M,N为C上两点,且$\overrightarrow{FM} \cdot \overrightarrow{FN} = 0$,求△MFN面积的最小值。
(1)求p;
(2)设F为C的焦点,M,N为C上两点,且$\overrightarrow{FM} \cdot \overrightarrow{FN} = 0$,求△MFN面积的最小值。
答案:
[命题点]直线与抛物线的位置关系,三角形面积的最值问题
[解]
(1)联立{xy²−=2y2+px1,=0,
消去y并整理得x²+(2−8ρ)x+1=0,由(2−8p)²−4>0得p>$\frac{1}{2}$,2分设A(x,y),B(x2,y2),则x+x2=8p−2,xx2=1,
所以IAB|= $\sqrt{\frac{1}{4}}$1+ $\sqrt{(x+x)²−4xx2}$= /$\sqrt{\frac{1}{4}}$1+ $\sqrt{(8p−2)²−4}$=
4$\sqrt{15}$,
解得p=2(负值舍去). 4分
(2)由题知,直线MN的斜率不为0,设直线MN的方程为x=
my+b,由
(1)知,抛物线C的方程为y²=4x,
联立{xγ²==m4yx+,b²消去x并整理得γ²−4my−4b=0,
A=16m²+16b>0, 6分设M(x3,y3),N(x4,y4),则y3+y=4m,y3y4=−4b,
所以x3+x4=4m²+2b,xx4=m²y3y+mb(y3+y)+b²=b². 7分
因为抛物线y²=4x的焦点为F(1,0),
所以FM=(x3−1,y3),FN=(x4−1,y4),
所以FM.FN=(x3−1).(x4−1)+y3ya=x3x4−(x3+x4)+y3y+
1=0,
所以b²−4m²−2b−4b+1=0,
所以m²=$\frac{b²−6b+1}{4}$≥0,此时△=4(b−1)².若△>0,则b≠1,
所以b²−6b+1≥0,解得b≤3−2√2或b≥3+2√2, 10分
设点F到直线MN的距离为d,则d=$\frac{11−61}{\sqrt{1+m²}}$,
又IMNI= $\sqrt{1+m²}$(y3+y)²−4y3y
= $\sqrt{1+m²}$$\sqrt{16m²+16b}$
=2$\sqrt{1+m²}$.1b−11,
所以S△MFN=$\frac{1}{2}$IMNId=1b−11²,
(另解:因为IMFI=x3+1,1NF|=x4+1,MF⊥NF,所以S△M;N=
$\frac{1}{2}$|MF|.INF|=$\frac{1}{2}$(x3+1)(x4+1)=$\frac{1}{2}$(x3x4+x3+x4+1)=
$\frac{1}{2}$(4m²+2b+b²+1)=(bb−1)²)
所以当b=3−2√2时,△MFN的面积取得最小值(3−2√2−1)²=
12−8$\sqrt{2}$ 12分
[解]
(1)联立{xy²−=2y2+px1,=0,
消去y并整理得x²+(2−8ρ)x+1=0,由(2−8p)²−4>0得p>$\frac{1}{2}$,2分设A(x,y),B(x2,y2),则x+x2=8p−2,xx2=1,
所以IAB|= $\sqrt{\frac{1}{4}}$1+ $\sqrt{(x+x)²−4xx2}$= /$\sqrt{\frac{1}{4}}$1+ $\sqrt{(8p−2)²−4}$=
4$\sqrt{15}$,
解得p=2(负值舍去). 4分
(2)由题知,直线MN的斜率不为0,设直线MN的方程为x=
my+b,由
(1)知,抛物线C的方程为y²=4x,
联立{xγ²==m4yx+,b²消去x并整理得γ²−4my−4b=0,
A=16m²+16b>0, 6分设M(x3,y3),N(x4,y4),则y3+y=4m,y3y4=−4b,
所以x3+x4=4m²+2b,xx4=m²y3y+mb(y3+y)+b²=b². 7分
因为抛物线y²=4x的焦点为F(1,0),
所以FM=(x3−1,y3),FN=(x4−1,y4),
所以FM.FN=(x3−1).(x4−1)+y3ya=x3x4−(x3+x4)+y3y+
1=0,
所以b²−4m²−2b−4b+1=0,
所以m²=$\frac{b²−6b+1}{4}$≥0,此时△=4(b−1)².若△>0,则b≠1,
所以b²−6b+1≥0,解得b≤3−2√2或b≥3+2√2, 10分
设点F到直线MN的距离为d,则d=$\frac{11−61}{\sqrt{1+m²}}$,
又IMNI= $\sqrt{1+m²}$(y3+y)²−4y3y
= $\sqrt{1+m²}$$\sqrt{16m²+16b}$
=2$\sqrt{1+m²}$.1b−11,
所以S△MFN=$\frac{1}{2}$IMNId=1b−11²,
(另解:因为IMFI=x3+1,1NF|=x4+1,MF⊥NF,所以S△M;N=
$\frac{1}{2}$|MF|.INF|=$\frac{1}{2}$(x3+1)(x4+1)=$\frac{1}{2}$(x3x4+x3+x4+1)=
$\frac{1}{2}$(4m²+2b+b²+1)=(bb−1)²)
所以当b=3−2√2时,△MFN的面积取得最小值(3−2√2−1)²=
12−8$\sqrt{2}$ 12分
查看更多完整答案,请扫码查看