2025年理想树图书高考必刷卷42套模拟卷汇编高中数学人教版
注:目前有些书本章节名称可能整理的还不是很完善,但都是按照顺序排列的,请同学们按照顺序仔细查找。练习册 2025年理想树图书高考必刷卷42套模拟卷汇编高中数学人教版 答案主要是用来给同学们做完题方便对答案用的,请勿直接抄袭。
第34页
- 第1页
- 第2页
- 第3页
- 第4页
- 第5页
- 第6页
- 第7页
- 第8页
- 第9页
- 第10页
- 第11页
- 第12页
- 第13页
- 第14页
- 第15页
- 第16页
- 第17页
- 第18页
- 第19页
- 第20页
- 第21页
- 第22页
- 第23页
- 第24页
- 第25页
- 第26页
- 第27页
- 第28页
- 第29页
- 第30页
- 第31页
- 第32页
- 第33页
- 第34页
- 第35页
- 第36页
- 第37页
- 第38页
- 第39页
- 第40页
- 第41页
- 第42页
- 第43页
- 第44页
- 第45页
- 第46页
- 第47页
- 第48页
- 第49页
- 第50页
- 第51页
- 第52页
- 第53页
- 第54页
- 第55页
- 第56页
- 第57页
- 第58页
- 第59页
- 第60页
- 第61页
- 第62页
- 第63页
- 第64页
- 第65页
- 第66页
- 第67页
- 第68页
- 第69页
- 第70页
- 第71页
- 第72页
- 第73页
- 第74页
- 第75页
- 第76页
- 第77页
- 第78页
- 第79页
- 第80页
- 第81页
- 第82页
- 第83页
- 第84页
- 第85页
- 第86页
- 第87页
- 第88页
- 第89页
- 第90页
- 第91页
- 第92页
- 第93页
- 第94页
- 第95页
- 第96页
10.将$4$个$1$和$2$个$0$随机排成一行,则$2$个$0$不相邻的概率为 ( )
A. $\frac{1}{3}$
B. $\frac{2}{5}$
C. $\frac{2}{3}$
D. $\frac{4}{5}$
A. $\frac{1}{3}$
B. $\frac{2}{5}$
C. $\frac{2}{3}$
D. $\frac{4}{5}$
答案:
10.C [命题点]古典概型概率的计算及排列、组合的应用
[深度解析]4个1和2个0随机排成一行,共有$\frac{A_{6}^{6}}{A_{4}^{4}A_{2}^{2}}$ = 15种排法(易错:元素相同的排列不要与元素不同的排列混淆),其中2个0相邻的排法共有$\frac{A_{5}^{5}}{A_{4}^{4}}$ = 5种,所以所求概率P = 1 - $\frac{5}{15}$ = $\frac{2}{3}$,故选C。
一题多解:有15种排法。若2个0不相邻,则先排4个1,有1种排法,形成了5个空,再选2个空插入0有C_{5}^{2} = 10种排法,所以所求概率P = $\frac{10}{15}$ = $\frac{2}{3}$。
[深度解析]4个1和2个0随机排成一行,共有$\frac{A_{6}^{6}}{A_{4}^{4}A_{2}^{2}}$ = 15种排法(易错:元素相同的排列不要与元素不同的排列混淆),其中2个0相邻的排法共有$\frac{A_{5}^{5}}{A_{4}^{4}}$ = 5种,所以所求概率P = 1 - $\frac{5}{15}$ = $\frac{2}{3}$,故选C。
一题多解:有15种排法。若2个0不相邻,则先排4个1,有1种排法,形成了5个空,再选2个空插入0有C_{5}^{2} = 10种排法,所以所求概率P = $\frac{10}{15}$ = $\frac{2}{3}$。
11.已知$A,B,C$是半径为$1$的球$O$的球面上的三个点,且$AC \perp BC$,$AC = BC = 1$,则三棱锥$O - ABC$的体积为( )
A. $\frac{\sqrt{2}}{12}$
B. $\frac{\sqrt{3}}{12}$
C. $\frac{\sqrt{2}}{4}$
D. $\frac{\sqrt{3}}{4}$
A. $\frac{\sqrt{2}}{12}$
B. $\frac{\sqrt{3}}{12}$
C. $\frac{\sqrt{2}}{4}$
D. $\frac{\sqrt{3}}{4}$
答案:
11.A
[命题点]三棱锥的体积和球的有关性质
[深度解析]设线段AB的中点为O',由题意可知△ABC为等腰直角三角形,点O'是△ABC的外心,所以OO'⊥平面ABC,所以OO'⊥AB。由AC = BC = 1,得AB = $\sqrt{2}$,所以OO' = $\frac{\sqrt{2}}{2}$,所以Vₒ - ₐₙₙₙ = $\frac{1}{3}$×$\frac{1}{2}$×AC×BC×OO' = $\frac{1}{3}$×$\frac{1}{2}$×1×1×$\frac{\sqrt{2}}{2}$ = $\frac{\sqrt{2}}{12}$,故选A。
[命题点]三棱锥的体积和球的有关性质
[深度解析]设线段AB的中点为O',由题意可知△ABC为等腰直角三角形,点O'是△ABC的外心,所以OO'⊥平面ABC,所以OO'⊥AB。由AC = BC = 1,得AB = $\sqrt{2}$,所以OO' = $\frac{\sqrt{2}}{2}$,所以Vₒ - ₐₙₙₙ = $\frac{1}{3}$×$\frac{1}{2}$×AC×BC×OO' = $\frac{1}{3}$×$\frac{1}{2}$×1×1×$\frac{\sqrt{2}}{2}$ = $\frac{\sqrt{2}}{12}$,故选A。
12.设函数$f(x)$的定义域为$R$;$f(x + 1)$为奇函数,$f(x + 2)$为偶函数,当$x \in [1,2]$时,$f(x) = ax^2 + b$。若$f(0) + f(3) = 6$,则$f(\frac{9}{2}) =$ ( )
A. $-\frac{9}{4}$
B. $-\frac{3}{2}$
C. $\frac{7}{4}$
D. $\frac{5}{2}$
A. $-\frac{9}{4}$
B. $-\frac{3}{2}$
C. $\frac{7}{4}$
D. $\frac{5}{2}$
答案:
12.D
[命题点]函数的基本性质
[深度解析]因为f(x + 1)是奇函数,x∈R,所以f(-x + 1) = -f(x + 1),所以f(x)的图像关于点(1,0)对称,且f
(1) = 0。由f(x + 2)是偶函数,得f(-x + 2) = f(x + 2),所以函数f(x)的图像关于直线x = 2对称,所以f(x) = -f(-x + 2) = -f(x + 2),所以f(x) = f(x + 4),所以函数f(x)是以4为周期的函数。又f
(0) = -f
(2) = -4a - b,f
(3) = f
(1) = a + b = 0,所以f
(0) + f
(3) = -3a = 6,所以a = -2,b = 2,所以f($\frac{9}{2}$) = f($\frac{1}{2}$) = -f($\frac{3}{2}$) = $\frac{5}{2}$,故选D。
[命题点]函数的基本性质
[深度解析]因为f(x + 1)是奇函数,x∈R,所以f(-x + 1) = -f(x + 1),所以f(x)的图像关于点(1,0)对称,且f
(1) = 0。由f(x + 2)是偶函数,得f(-x + 2) = f(x + 2),所以函数f(x)的图像关于直线x = 2对称,所以f(x) = -f(-x + 2) = -f(x + 2),所以f(x) = f(x + 4),所以函数f(x)是以4为周期的函数。又f
(0) = -f
(2) = -4a - b,f
(3) = f
(1) = a + b = 0,所以f
(0) + f
(3) = -3a = 6,所以a = -2,b = 2,所以f($\frac{9}{2}$) = f($\frac{1}{2}$) = -f($\frac{3}{2}$) = $\frac{5}{2}$,故选D。
13.曲线$y = \frac{2x - 1}{x + 2}$在点$( - 1, - 3)$处的切线方程为________。
答案:
13.5x - y + 2 = 0 [命题点]导数的几何意义
[深度解析]由y = $\frac{2x - 1}{x + 2}$ = $\frac{2(x + 2) - 5}{x + 2}$ = 2 - $\frac{5}{x + 2}$,得y' = $\frac{5}{(x + 2)²}$(另解:y' = ($\frac{2x - 1}{x + 2}$)' = $\frac{2(x + 2) - (2x - 1)}{(x + 2)²}$ = $\frac{5}{(x + 2)²}$),所以切线的斜率k = y'|ₓ = ₋₁ = 5,所以切线方程为y + 3 = 5(x + 1),即5x - y + 2 = 0。
[深度解析]由y = $\frac{2x - 1}{x + 2}$ = $\frac{2(x + 2) - 5}{x + 2}$ = 2 - $\frac{5}{x + 2}$,得y' = $\frac{5}{(x + 2)²}$(另解:y' = ($\frac{2x - 1}{x + 2}$)' = $\frac{2(x + 2) - (2x - 1)}{(x + 2)²}$ = $\frac{5}{(x + 2)²}$),所以切线的斜率k = y'|ₓ = ₋₁ = 5,所以切线方程为y + 3 = 5(x + 1),即5x - y + 2 = 0。
14.已知向量$\vec{a} = (3,1)$,$\vec{b} = (1,0)$,$\vec{c} = \vec{a} + k\vec{b}$。若$\vec{a} \perp \vec{c}$,则$k =$________。
答案:
14.-$\frac{10}{3}$ [命题点]平面向量运算的坐标表示
[深度解析]c = a + kb = (3 + k,1),因为a⊥c,所以a·c = 3(3 + k) + 1 = 0,解得k = -$\frac{10}{3}$。
[深度解析]c = a + kb = (3 + k,1),因为a⊥c,所以a·c = 3(3 + k) + 1 = 0,解得k = -$\frac{10}{3}$。
15. 已知$F_1,F_2$为椭圆$C:\frac{x^2}{16}+\frac{y^2}{4}=1$的两个焦点,$P,Q$为$C$上关于坐标原点对称的两点,且$\vert PQ\vert=\vert F_1F_2\vert$,则四边形$PF_1QF_2$的面积为________。
答案:
8 [命题点]椭圆的定义、几何性质
[深度解析]因为椭圆$C:\frac{x^{2}}{16}+\frac{y^{2}}{4}=1$,所以$a = 4$,$c^{2}=12$。由题意可知,四边形$PF_{1}QF_{2}$是矩形,且$PF_{1}\perp PF_{2}$。设$\vert PF_{1}\vert = m$,$\vert PF_{2}\vert = n$,所以$\begin{cases}m + n = 2a = 8\\m^{2}+n^{2}=4c^{2}=48\end{cases}$,所以$mn=\frac{(m + n)^{2}-(m^{2}+n^{2})}{2}=8$,所以$S_{四边形PF_{1}QF_{2}} = mn = 8$。
快解:根据焦点三角形的面积公式,得$S_{\triangle PF_{1}F_{2}} = b^{2}\tan\frac{\angle F_{1}PF_{2}}{2}=b^{2}=4$(提示:在椭圆中,由椭圆上一点$P$(非长轴端点)与两个焦点$F_{1}$,$F_{2}$构成的三角形叫做焦点三角形,设$\angle F_{1}PF_{2}=\theta$,则$S_{\triangle PF_{1}F_{2}} = b^{2}\tan\frac{\theta}{2}$),所以$S_{四边形PF_{1}QF_{2}} = 2S_{\triangle PF_{1}F_{2}} = 8$。
[深度解析]因为椭圆$C:\frac{x^{2}}{16}+\frac{y^{2}}{4}=1$,所以$a = 4$,$c^{2}=12$。由题意可知,四边形$PF_{1}QF_{2}$是矩形,且$PF_{1}\perp PF_{2}$。设$\vert PF_{1}\vert = m$,$\vert PF_{2}\vert = n$,所以$\begin{cases}m + n = 2a = 8\\m^{2}+n^{2}=4c^{2}=48\end{cases}$,所以$mn=\frac{(m + n)^{2}-(m^{2}+n^{2})}{2}=8$,所以$S_{四边形PF_{1}QF_{2}} = mn = 8$。
快解:根据焦点三角形的面积公式,得$S_{\triangle PF_{1}F_{2}} = b^{2}\tan\frac{\angle F_{1}PF_{2}}{2}=b^{2}=4$(提示:在椭圆中,由椭圆上一点$P$(非长轴端点)与两个焦点$F_{1}$,$F_{2}$构成的三角形叫做焦点三角形,设$\angle F_{1}PF_{2}=\theta$,则$S_{\triangle PF_{1}F_{2}} = b^{2}\tan\frac{\theta}{2}$),所以$S_{四边形PF_{1}QF_{2}} = 2S_{\triangle PF_{1}F_{2}} = 8$。
16. 已知函数$f(x)=2\cos(\omega x+\varphi)$的部分图像如图所示,则满足条件$(f(\alpha x)-f(-\frac{7\pi}{4}))(f(x)-f(\frac{4\pi}{3}))\gt0$的最小正整数$x$为________。
答案:
2
思路导引1
$f(x)=2\cos(\omega x + \varphi)$根据图像$\frac{3}{4}T=\frac{13\pi}{12}-\frac{\pi}{3}=\frac{3\pi}{4}$,$\varphi = 2k\pi - \frac{\pi}{6},k\in Z$,求$f(x)$的解析式,求最小正整数$x$使$(f(x) - 1)f(x)>0$。
[命题点]函数$y = A\cos(\omega x + \varphi)$的图像和性质
[深度解析]设函数$f(x)$的最小正周期为$T$,由图像可知,$\frac{3}{4}T=\frac{13\pi}{12}-\frac{\pi}{3}=\frac{3\pi}{4}$,所以$T = \pi$,所以$\omega=\pm2$。当$\omega = 2$时,把点$(\frac{13\pi}{12},2)$的坐标代入$f(x)$的解析式,得$2\cos(2\times\frac{13\pi}{12}+\varphi)=2$,所以$\varphi = 2k\pi - \frac{\pi}{6},k\in Z$,则$f(x)=2\cos(2x + \varphi)=2\cos(2x - \frac{\pi}{6})$;当$\omega = - 2$时,将点$(\frac{13\pi}{12},2)$的坐标代入$f(x)$的解析式,得$2\cos(-2\times\frac{13\pi}{12}+\varphi)=2\cos(\frac{13\pi}{6}-\varphi)=2$,所以$\varphi = 2k\pi + \frac{\pi}{6},k\in Z$,则$f(x)=2\cos(-2x + \varphi)=2\cos(2x - \frac{\pi}{6})$。综上得$f(x)=2\cos(2x - \frac{\pi}{6})$,所以$f(-\frac{7\pi}{4})=2\cos[2\times(-\frac{7\pi}{4})-\frac{\pi}{6}]=1$,$f(\frac{4\pi}{3})=2\cos(2\times\frac{4\pi}{3}-\frac{\pi}{6})=0$,所以$(f(x) - 1)f(x)>0$,所以$f(x)<0$或$f(x)>1$,所以$\cos(2x - \frac{\pi}{6})<0$或$\cos(2x - \frac{\pi}{6})>\frac{1}{2}$,所以$\frac{\pi}{2}+2k\pi<2x - \frac{\pi}{6}<\frac{3\pi}{2}+2k\pi$或$-\frac{\pi}{3}+2k\pi<2x - \frac{\pi}{6}<\frac{\pi}{3}+2k\pi,k\in Z$,即$\frac{\pi}{3}+k\pi<x<\frac{5\pi}{6}+k\pi$或$-\frac{\pi}{12}+k\pi<x<\frac{\pi}{4}+k\pi,k\in Z$,所以当$k = 0$时,$x$能取到的最小正整数为$2$。
学霸解题技巧:南开大学姜明宇作图定界,避开求解析式。
由所给条件易知函数$f(x)$的最小正周期$T = \pi$。
所以$f(-\frac{7\pi}{4})=f(-2\pi+\frac{\pi}{4})=f(\frac{\pi}{4})$,$f(\frac{4\pi}{3})=f(\pi+\frac{\pi}{3})=f(\frac{\pi}{3}) = 0$。
所以可作出$f(x)$的部分大致图像如图。
由题意,所求范围内$x$须满足$f(x)>f(\frac{\pi}{4})$或$f(x)<0$。
由图可得最小正整数$x$为$2$。
2
思路导引1
$f(x)=2\cos(\omega x + \varphi)$根据图像$\frac{3}{4}T=\frac{13\pi}{12}-\frac{\pi}{3}=\frac{3\pi}{4}$,$\varphi = 2k\pi - \frac{\pi}{6},k\in Z$,求$f(x)$的解析式,求最小正整数$x$使$(f(x) - 1)f(x)>0$。
[命题点]函数$y = A\cos(\omega x + \varphi)$的图像和性质
[深度解析]设函数$f(x)$的最小正周期为$T$,由图像可知,$\frac{3}{4}T=\frac{13\pi}{12}-\frac{\pi}{3}=\frac{3\pi}{4}$,所以$T = \pi$,所以$\omega=\pm2$。当$\omega = 2$时,把点$(\frac{13\pi}{12},2)$的坐标代入$f(x)$的解析式,得$2\cos(2\times\frac{13\pi}{12}+\varphi)=2$,所以$\varphi = 2k\pi - \frac{\pi}{6},k\in Z$,则$f(x)=2\cos(2x + \varphi)=2\cos(2x - \frac{\pi}{6})$;当$\omega = - 2$时,将点$(\frac{13\pi}{12},2)$的坐标代入$f(x)$的解析式,得$2\cos(-2\times\frac{13\pi}{12}+\varphi)=2\cos(\frac{13\pi}{6}-\varphi)=2$,所以$\varphi = 2k\pi + \frac{\pi}{6},k\in Z$,则$f(x)=2\cos(-2x + \varphi)=2\cos(2x - \frac{\pi}{6})$。综上得$f(x)=2\cos(2x - \frac{\pi}{6})$,所以$f(-\frac{7\pi}{4})=2\cos[2\times(-\frac{7\pi}{4})-\frac{\pi}{6}]=1$,$f(\frac{4\pi}{3})=2\cos(2\times\frac{4\pi}{3}-\frac{\pi}{6})=0$,所以$(f(x) - 1)f(x)>0$,所以$f(x)<0$或$f(x)>1$,所以$\cos(2x - \frac{\pi}{6})<0$或$\cos(2x - \frac{\pi}{6})>\frac{1}{2}$,所以$\frac{\pi}{2}+2k\pi<2x - \frac{\pi}{6}<\frac{3\pi}{2}+2k\pi$或$-\frac{\pi}{3}+2k\pi<2x - \frac{\pi}{6}<\frac{\pi}{3}+2k\pi,k\in Z$,即$\frac{\pi}{3}+k\pi<x<\frac{5\pi}{6}+k\pi$或$-\frac{\pi}{12}+k\pi<x<\frac{\pi}{4}+k\pi,k\in Z$,所以当$k = 0$时,$x$能取到的最小正整数为$2$。
学霸解题技巧:南开大学姜明宇作图定界,避开求解析式。
由所给条件易知函数$f(x)$的最小正周期$T = \pi$。
所以$f(-\frac{7\pi}{4})=f(-2\pi+\frac{\pi}{4})=f(\frac{\pi}{4})$,$f(\frac{4\pi}{3})=f(\pi+\frac{\pi}{3})=f(\frac{\pi}{3}) = 0$。
所以可作出$f(x)$的部分大致图像如图。
由题意,所求范围内$x$须满足$f(x)>f(\frac{\pi}{4})$或$f(x)<0$。
由图可得最小正整数$x$为$2$。
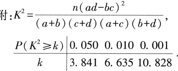
17. (本小题满分12分)甲、乙两台机床生产同种产品,产品按质量分为一级品和二级品,为了比较两台机床产品的质量,分别用两台机床各生产了200件产品,产品的质量情况统计如下表:
(1)甲机床、乙机床生产的产品中一级品的频率分别是多少?
(2)能否有99%的把握认为甲机床的产品质量与乙机床的产品质量有差异?
(1)甲机床、乙机床生产的产品中一级品的频率分别是多少?
(2)能否有99%的把握认为甲机床的产品质量与乙机床的产品质量有差异?
答案:
[命题点]频率及独立性检验
[解]
(1)由题中表格可得甲机床生产的产品中一级品的频率为$\frac{150}{200}=\frac{3}{4}$,乙机床生产的产品中一级品的频率为$\frac{120}{200}=\frac{3}{5}$。所以甲机床、乙机床生产的产品中一级品的频率分别为$\frac{3}{4}$,$\frac{3}{5}$。
(2)由题中表格数据可得$K^{2}=\frac{400\times(150\times80 - 50\times120)^{2}}{200\times200\times270\times130}\approx10.256>6.635$,所以有$99\%$的把握认为甲机床的产品质量与乙机床的产品质量有差异。
[解]
(1)由题中表格可得甲机床生产的产品中一级品的频率为$\frac{150}{200}=\frac{3}{4}$,乙机床生产的产品中一级品的频率为$\frac{120}{200}=\frac{3}{5}$。所以甲机床、乙机床生产的产品中一级品的频率分别为$\frac{3}{4}$,$\frac{3}{5}$。
(2)由题中表格数据可得$K^{2}=\frac{400\times(150\times80 - 50\times120)^{2}}{200\times200\times270\times130}\approx10.256>6.635$,所以有$99\%$的把握认为甲机床的产品质量与乙机床的产品质量有差异。
查看更多完整答案,请扫码查看