2025年理想树图书高考必刷卷42套模拟卷汇编高中数学人教版
注:目前有些书本章节名称可能整理的还不是很完善,但都是按照顺序排列的,请同学们按照顺序仔细查找。练习册 2025年理想树图书高考必刷卷42套模拟卷汇编高中数学人教版 答案主要是用来给同学们做完题方便对答案用的,请勿直接抄袭。
第3页
- 第1页
- 第2页
- 第3页
- 第4页
- 第5页
- 第6页
- 第7页
- 第8页
- 第9页
- 第10页
- 第11页
- 第12页
- 第13页
- 第14页
- 第15页
- 第16页
- 第17页
- 第18页
- 第19页
- 第20页
- 第21页
- 第22页
- 第23页
- 第24页
- 第25页
- 第26页
- 第27页
- 第28页
- 第29页
- 第30页
- 第31页
- 第32页
- 第33页
- 第34页
- 第35页
- 第36页
- 第37页
- 第38页
- 第39页
- 第40页
- 第41页
- 第42页
- 第43页
- 第44页
- 第45页
- 第46页
- 第47页
- 第48页
- 第49页
- 第50页
- 第51页
- 第52页
- 第53页
- 第54页
- 第55页
- 第56页
- 第57页
- 第58页
- 第59页
- 第60页
- 第61页
- 第62页
- 第63页
- 第64页
- 第65页
- 第66页
- 第67页
- 第68页
- 第69页
- 第70页
- 第71页
- 第72页
- 第73页
- 第74页
- 第75页
- 第76页
- 第77页
- 第78页
- 第79页
- 第80页
- 第81页
- 第82页
- 第83页
- 第84页
- 第85页
- 第86页
- 第87页
- 第88页
- 第89页
- 第90页
- 第91页
- 第92页
- 第93页
- 第94页
- 第95页
- 第96页
18. (本小题满分12分)已知公比大于1的等比数列$\{a_n\}$满足$a_2 + a_4 = 20$,$a_3 = 8$。
(1) 求$\{a_n\}$的通项公式;
(2) 记$b_m$为$\{a_n\}$在区间$(0, m]$($m \in N$)中的项的个数,求数列$\{b_m\}$的前100项和$S_{100}$。
答案:
[命题点]等比数列的通项公式和根据新定义分类求和
[解]
(1)设$\{a_{n}\}$的公比为q。由题设得$a_{1}q + a_{1}q^{2} = 20$,$a_{1}q^{2} = 8$,解得$q = \frac{1}{2}$(舍去),$q = 2$。3分
由题设得$a_{1} = 2$。
所以$\{a_{n}\}$的通项公式为$a_{n} = 2^{n}$。5分
(2)由题设及
(1)知$b_{1} = 0$,且当$2^{n} \leq m \lt 2^{n + 1}$时,$b_{m} = n$。7分
所以$S_{100} = b_{1} + (b_{2} + b_{3}) + (b_{4} + b_{5} + b_{6} + b_{7}) + \cdots + (b_{32} + b_{33} + \cdots + b_{63}) + (b_{64} + b_{65} + \cdots + b_{100}) = 0 + 1\times2 + 2\times2^{2} + 3\times2^{3} + 4\times2^{4} + 5\times2^{5} + 6\times(100 - 63) = 480$。12分
易错警示:其实只需发现$2^{n}$出现在区间右端点处的规律,即可得到$2^{n}$的个数为$b_{m}$的值,在100以内,m为正整数,$b_{m}$为$2^{0}$个0,$2^{1}$个1,$2^{2}$个2,$2^{3}$个3,$2^{4}$个4,$2^{5}$个5,$100 - (2^{0} + 2^{1} + 2^{2} + 2^{3} + 2^{4} + 2^{5}) = 37$个6。
[解]
(1)设$\{a_{n}\}$的公比为q。由题设得$a_{1}q + a_{1}q^{2} = 20$,$a_{1}q^{2} = 8$,解得$q = \frac{1}{2}$(舍去),$q = 2$。3分
由题设得$a_{1} = 2$。
所以$\{a_{n}\}$的通项公式为$a_{n} = 2^{n}$。5分
(2)由题设及
(1)知$b_{1} = 0$,且当$2^{n} \leq m \lt 2^{n + 1}$时,$b_{m} = n$。7分
所以$S_{100} = b_{1} + (b_{2} + b_{3}) + (b_{4} + b_{5} + b_{6} + b_{7}) + \cdots + (b_{32} + b_{33} + \cdots + b_{63}) + (b_{64} + b_{65} + \cdots + b_{100}) = 0 + 1\times2 + 2\times2^{2} + 3\times2^{3} + 4\times2^{4} + 5\times2^{5} + 6\times(100 - 63) = 480$。12分
易错警示:其实只需发现$2^{n}$出现在区间右端点处的规律,即可得到$2^{n}$的个数为$b_{m}$的值,在100以内,m为正整数,$b_{m}$为$2^{0}$个0,$2^{1}$个1,$2^{2}$个2,$2^{3}$个3,$2^{4}$个4,$2^{5}$个5,$100 - (2^{0} + 2^{1} + 2^{2} + 2^{3} + 2^{4} + 2^{5}) = 37$个6。
19. (本小题满分12分)为加强环境保护,治理空气污染,环境监测部门对某市空气质量进行调研,随机抽查了100天空气中的PM2.5和SO₂浓度(单位: μg/m²),得下表:
(1) 估计事件“该市一天空气中PM2.5浓度不超过75,且SO₂浓度不超过150”的概率;
(2) 根据所给数据,完成下面的2×2列联表:
(3) 根据(2)中的列联表,判断是否有99%的把握认为该市一天空气中PM2.5浓度与SO₂浓度有关?
答案:
[命题点]频率估计概率和独立性检验
[解]
(1)根据抽查数据,该市100天的空气中PM2.5浓度不超过75,且SO₂浓度不超过150的天数为32 + 18 + 6 + 8 = 64。2分
因此,该市一天空气中PM2.5浓度不超过75,且SO₂浓度不超过150的概率的估计值为$\frac{64}{100}$ = 0.64。4分
(2)根据抽查数据,可得2×2列联表:
PM2.5 [0, 75] (75, 115]
SO₂
[0, 150] 64 16
(150, 475] 10 10 7分
(3)根据
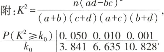
(2)的列联表得$K^{2} = \frac{100\times(64\times10 - 16\times10)^{2}}{80\times20\times74\times26} \approx 7.484$。10分
由于7.484>6.635,故有99%的把握认为该市一天空气中PM2.5浓度与SO₂浓度有关。12分
方法速记:K观测值k的大小作为检验在多大程度上认为两个分类变量有关系的标准,若$k \geq k_{0}$,则有$(1 - P(K^{2} \geq k_{0}))\times100\%$的把握认为两个分类变量有关系;否则,就认为根据样本数据没有充分理由说明两个分类变量有关系。
[解]
(1)根据抽查数据,该市100天的空气中PM2.5浓度不超过75,且SO₂浓度不超过150的天数为32 + 18 + 6 + 8 = 64。2分
因此,该市一天空气中PM2.5浓度不超过75,且SO₂浓度不超过150的概率的估计值为$\frac{64}{100}$ = 0.64。4分
(2)根据抽查数据,可得2×2列联表:
PM2.5 [0, 75] (75, 115]
SO₂
[0, 150] 64 16
(150, 475] 10 10 7分
(3)根据
(2)的列联表得$K^{2} = \frac{100\times(64\times10 - 16\times10)^{2}}{80\times20\times74\times26} \approx 7.484$。10分
由于7.484>6.635,故有99%的把握认为该市一天空气中PM2.5浓度与SO₂浓度有关。12分
方法速记:K观测值k的大小作为检验在多大程度上认为两个分类变量有关系的标准,若$k \geq k_{0}$,则有$(1 - P(K^{2} \geq k_{0}))\times100\%$的把握认为两个分类变量有关系;否则,就认为根据样本数据没有充分理由说明两个分类变量有关系。
查看更多完整答案,请扫码查看