2026年学易优高考二轮总复习化学
注:目前有些书本章节名称可能整理的还不是很完善,但都是按照顺序排列的,请同学们按照顺序仔细查找。练习册 2026年学易优高考二轮总复习化学 答案主要是用来给同学们做完题方便对答案用的,请勿直接抄袭。
第29页
- 第1页
- 第2页
- 第3页
- 第4页
- 第5页
- 第6页
- 第7页
- 第8页
- 第9页
- 第10页
- 第11页
- 第12页
- 第13页
- 第14页
- 第15页
- 第16页
- 第17页
- 第18页
- 第19页
- 第20页
- 第21页
- 第22页
- 第23页
- 第24页
- 第25页
- 第26页
- 第27页
- 第28页
- 第29页
- 第30页
- 第31页
- 第32页
- 第33页
- 第34页
- 第35页
- 第36页
- 第37页
- 第38页
- 第39页
- 第40页
- 第41页
- 第42页
- 第43页
- 第44页
- 第45页
- 第46页
- 第47页
- 第48页
- 第49页
- 第50页
- 第51页
- 第52页
- 第53页
- 第54页
- 第55页
- 第56页
- 第57页
- 第58页
- 第59页
- 第60页
- 第61页
- 第62页
- 第63页
- 第64页
- 第65页
- 第66页
- 第67页
- 第68页
- 第69页
- 第70页
- 第71页
- 第72页
- 第73页
- 第74页
- 第75页
- 第76页
- 第77页
- 第78页
- 第79页
- 第80页
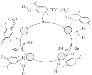
1. (2025·陕晋青宁卷)我国科研人员采用图示的电解池,由百里酚(TY)合成了百里醌(TQ)。电极b表面的主要反应历程如图(灰球表示电极表面催化剂)。下列说法错误的是(


A.电解时,H⁺从右室向左室移动
B.电解总反应:TY + H₂O $\xlongequal{电解}$ TQ + 2H₂↑
C.以
为原料,也可得到TQ
D.用$^{18}$O标记电解液中的水,可得到
D
)A.电解时,H⁺从右室向左室移动
B.电解总反应:TY + H₂O $\xlongequal{电解}$ TQ + 2H₂↑
C.以
D.用$^{18}$O标记电解液中的水,可得到
答案:
1.D
2. (2025·河北卷)科研工作者设计了一种用于废弃电极材料Li$_x$CoO$_2$(x < 1)再锂化的电化学装置,其示意图如下:

已知:参比电极的作用是确定Li$_x$CoO$_2$再锂化为LiCoO$_2$的最优条件,不干扰电极反应。下列说法正确的是(
A.Li$_x$CoO$_2$电极上发生的反应:Li$_x$CoO$_2$ + $xe^-$ + $xLi^+$ = LiCoO$_2$
B.产生标准状况下5.6 L O$_2$时,理论上可转化$\frac{1}{1 - x}$mol的Li$_x$CoO$_2$
C.再锂化过程中,SO$_4^{2-}$向Li$_x$CoO$_2$电极迁移
D.电解过程中,阳极附近溶液pH升高
已知:参比电极的作用是确定Li$_x$CoO$_2$再锂化为LiCoO$_2$的最优条件,不干扰电极反应。下列说法正确的是(
B
)A.Li$_x$CoO$_2$电极上发生的反应:Li$_x$CoO$_2$ + $xe^-$ + $xLi^+$ = LiCoO$_2$
B.产生标准状况下5.6 L O$_2$时,理论上可转化$\frac{1}{1 - x}$mol的Li$_x$CoO$_2$
C.再锂化过程中,SO$_4^{2-}$向Li$_x$CoO$_2$电极迁移
D.电解过程中,阳极附近溶液pH升高
答案:
2.B
3. (2024·山东卷)以不同材料修饰的Pt为电极,一定浓度的NaBr溶液为电解液,采用电解和催化相结合的循环方式,可实现高效制H$_2$和O$_2$,装置如图所示。下列说法错误的是(

A.电极a连接电源负极
B.加入Y的目的是补充NaBr
C.电解总反应为Br$^-$ + 3H$_2$O $\xlongequal{电解}$ BrO$_3^-$ + 3H$_2$↑
D.催化阶段反应产物物质的量之比n(Z) : n(Br$^-$) = 3 : 2
B
)A.电极a连接电源负极
B.加入Y的目的是补充NaBr
C.电解总反应为Br$^-$ + 3H$_2$O $\xlongequal{电解}$ BrO$_3^-$ + 3H$_2$↑
D.催化阶段反应产物物质的量之比n(Z) : n(Br$^-$) = 3 : 2
答案:
3.B 根据分析,电极a为阴极,连接电源负极,A项正确;根据分析电解过程中消耗H₂O和Br⁻,而催化阶段BrO₃⁻被还原成Br⁻循环使用,故加入Y的目的是补充H₂O,维持NaBr溶液为一定浓度,B项错误;根据分析电解总反应为Br⁻ + 3H₂O$\overset{电解}{=}$BrO₃⁻ + 3H₂↑,C项正确;催化阶段,Br元素的化合价由+5价降至 - 1价,生成1molBr⁻得到6mol电子,O元素的化合价由 - 2价升至0价,生成1molO₂失去4mol电子,根据得失电子守恒,反应产物物质的量之比n(O₂):n(Br⁻)=6:4 = 3:2,D项正确;答案选B。
4. (2023·重庆卷)电化学合成是一种绿色高效的合成方法。如图是在酸性介质中电解合成半胱氨酸和烟酸的示意图。下列叙述错误的是(

A.电极a为阴极
B.H⁺从电极b移向电极a
C.电极b发生的反应为

D.生成3 mol半胱氨酸的同时生成1 mol烟酸
D
)A.电极a为阴极
B.H⁺从电极b移向电极a
C.电极b发生的反应为
D.生成3 mol半胱氨酸的同时生成1 mol烟酸
答案:
4.D
查看更多完整答案,请扫码查看