1. 我国古代数学的许多创新与发明都曾在世界上产生重要影响.下列图形: “杨辉三角” “中国七巧板” “刘徽割圆术” “赵爽弦图”.其中, 是中心对称图形的是 ( )

答案:
D
2. 已知关于 $ x $ 的方程 $(a - 3)x^{|a - 1|} + x - 1 = 0$ 是一元二次方程,则 $ a $ 的值是 ( )
[A] $-1$
[B] $2$
[C] $-1$ 或 $3$
[D] $3$
[A] $-1$
[B] $2$
[C] $-1$ 或 $3$
[D] $3$
答案:
A
3. 若 $ 1 - \sqrt{3} $ 是关于 $ x $ 的方程 $ x^2 - 2x + c = 0 $ 的一个根, 则 $ c $ 的值为 ( )
[A] $-2$
[B] $4\sqrt{3} - 2$
[C] $3 - \sqrt{3}$
[D] $1 + \sqrt{3}$
[A] $-2$
[B] $4\sqrt{3} - 2$
[C] $3 - \sqrt{3}$
[D] $1 + \sqrt{3}$
答案:
A
4. 用配方法解方程 $ x^2 + 8x + 9 = 0 $, 变形后的结果正确的是 ( )
[A] $(x + 4)^2 = -9$
[B] $(x + 4)^2 = -7$
[C] $(x + 4)^2 = 25$
[D] $(x + 4)^2 = 7$
[A] $(x + 4)^2 = -9$
[B] $(x + 4)^2 = -7$
[C] $(x + 4)^2 = 25$
[D] $(x + 4)^2 = 7$
答案:
D
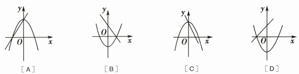
5. 在同一平面直角坐标系中, 一次函数 $ y = ax - b $ 和二次函数 $ y = -ax^2 - b $ 的大致图象是 ( )

答案:
A
6. 若一元二次方程 $ x^2 - 3x + 1 = 0 $ 的两个根分别为 $ x_1 $, $ x_2 $, 则 $ x_1^2 + 3x_2 + x_1x_2 - 2 $ 的值是 ( )
[A] $10$
[B] $9$
[C] $8$
[D] $7$
[A] $10$
[B] $9$
[C] $8$
[D] $7$
答案:
D
查看更多完整答案,请扫码查看