2025年快乐暑假课程衔接组合卷七年级数学北师大版
注:目前有些书本章节名称可能整理的还不是很完善,但都是按照顺序排列的,请同学们按照顺序仔细查找。练习册 2025年快乐暑假课程衔接组合卷七年级数学北师大版 答案主要是用来给同学们做完题方便对答案用的,请勿直接抄袭。
1. 下列乘法中,不能运用平方差公式进行运算的是 (
A.$(x+a)(x-a)$
B.$(a+b)(-a-b)$
C.$(-x-b)(x-b)$
D.$(b+m)(m-b)$
B
)A.$(x+a)(x-a)$
B.$(a+b)(-a-b)$
C.$(-x-b)(x-b)$
D.$(b+m)(m-b)$
答案:
B
2. 下面四个图书馆标志,其文字上方的图案是轴对称图形的是 (

C
)
答案:
C
3. 生物具有遗传多样性,遗传信息大多储存在 DNA 分子上,一个 DNA 分子的直径约为 0.000 000 2 cm,这个数量用科学记数法可表示为 (
A.$0.2×10^{-6}cm$
B.$2×10^{-7}cm$
C.$2×10^{7}cm$
D.$0.2×10^{-7}cm$
B
)A.$0.2×10^{-6}cm$
B.$2×10^{-7}cm$
C.$2×10^{7}cm$
D.$0.2×10^{-7}cm$
答案:
B
4. 下列运算正确的是 (
A.$3a-2a= 1$
B.$(a-b)^{2}= a^{2}-b^{2}$
C.$(a^{5})^{2}= a^{7}$
D.$3a^{3}\cdot 2a^{2}= 6a^{5}$
D
)A.$3a-2a= 1$
B.$(a-b)^{2}= a^{2}-b^{2}$
C.$(a^{5})^{2}= a^{7}$
D.$3a^{3}\cdot 2a^{2}= 6a^{5}$
答案:
D
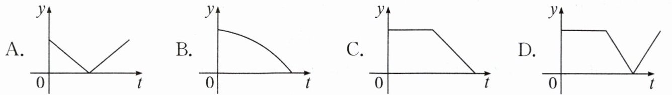
5. 如图,已知扇形 AOB,动点 P 从点 A 出发,沿弧 AB、线段 BO、OA 匀速运动到点 A,则点 O 与点 P 之间的距离 y 与运动时间 t 之间的图象大致是 (


D
)
答案:
D
6. 四边形 ABCD 的边长如图所示,对角线 AC 的长度随四边形形状的改变而变化。当$△ABC$为等腰三角形时,对角线 AC 的长为 (

A.2
B.3
C.4
D.5
B
)A.2
B.3
C.4
D.5
答案:
B
查看更多完整答案,请扫码查看