2025年复习计划风向标暑八年级数学北师大版
注:目前有些书本章节名称可能整理的还不是很完善,但都是按照顺序排列的,请同学们按照顺序仔细查找。练习册 2025年复习计划风向标暑八年级数学北师大版 答案主要是用来给同学们做完题方便对答案用的,请勿直接抄袭。
1. 函数$y = \frac{\sqrt{2x + 1}}{x}的自变量x$的取值范围是______.
答案:
$ x\geqslant\frac{1}{2} $且$ x\neq0 $
2. 函数$y = \frac{1 - \sqrt{2 - x}}{x + 3}的自变量x$的取值范围是______.
答案:
$ x\leqslant2 $且$ x\neq-3 $
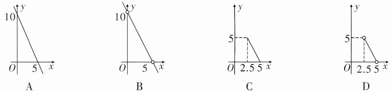
3. 已知等腰三角形的周长是 10,设底边长为$y$,腰长为$x$,则下列图象中,能反映$y与x$之间函数关系的是 ( )

答案:
D
4. 当$m = $______时,函数$y = (m - 1)x^{|m|}是关于x$的正比例函数.
5. 若函数$y = (m + 1)x + m^2 - 1是关于x$的正比例函数,则$m = $______.
6. 已知函数$y = (m - 2)x^{m^2 - 3} + 1是关于x$的一次函数,则$m = $______.
5. 若函数$y = (m + 1)x + m^2 - 1是关于x$的正比例函数,则$m = $______.
6. 已知函数$y = (m - 2)x^{m^2 - 3} + 1是关于x$的一次函数,则$m = $______.
答案:
4. -1 5. 1 6. -2
7. 正方形的周长$y与边长x$之间的函数关系图象是 ( )

答案:
C
8. 若一次函数$y = kx + b$的图象不经过第三象限,则下列选项正确的是 ( )
A.$k < 0$,$b > 0$
B.$k < 0$,$b < 0$
C.$k < 0$,$b \leq 0$
D.$k < 0$,$b \geq 0$
A.$k < 0$,$b > 0$
B.$k < 0$,$b < 0$
C.$k < 0$,$b \leq 0$
D.$k < 0$,$b \geq 0$
答案:
D
9. 已知一条直线经过点$(0, - 2)$且与两坐标轴围成的三角形的面积为 3,则该直线的解析式是______.
答案:
$ y=\frac{2}{3}x-2 $或$ y=-\frac{2}{3}x-2 $
查看更多完整答案,请扫码查看