2025年考前示范卷九年级数学全一册人教版
注:目前有些书本章节名称可能整理的还不是很完善,但都是按照顺序排列的,请同学们按照顺序仔细查找。练习册 2025年考前示范卷九年级数学全一册人教版 答案主要是用来给同学们做完题方便对答案用的,请勿直接抄袭。
17. (9分)学校联欢会上有一个“转盘”游戏,用如图所示的两个均匀、可以自由转动的转盘做游戏。
游戏规则如下:A盘被分成面积相等的4个扇形,B盘中小的扇形区域所占的圆心角是120°。分别任意旋转两个转盘,将A盘转出的数字与B盘转出的数字相乘,若乘积是4的倍数,则小红赢得游戏;若乘积是6的倍数,则小明赢得游戏。
(1) 请利用画树状图或列表的方法,表示出游戏中所有可能出现的结果;
(2) 这个游戏对双方公平吗?请说明你的理由。

游戏规则如下:A盘被分成面积相等的4个扇形,B盘中小的扇形区域所占的圆心角是120°。分别任意旋转两个转盘,将A盘转出的数字与B盘转出的数字相乘,若乘积是4的倍数,则小红赢得游戏;若乘积是6的倍数,则小明赢得游戏。
(1) 请利用画树状图或列表的方法,表示出游戏中所有可能出现的结果;
(2) 这个游戏对双方公平吗?请说明你的理由。
答案:
解:
(1)列表如下:
由表知,该游戏共有12种等可能的结果。
这个游戏对双方公平,理由如下:
由
(1)知,共有12种等可能的结果,乘积是4的倍数的结果有4种,乘积是6的倍数的结果有4种。
$\frac{4}{12}$=$\frac{1}{3}$,小明赢得游戏的概率为$\frac{1}{3}$,小红赢得游戏的概率为$\frac{1}{3}$。
∵P(小红胜)=P(小明胜),
∴这个游戏对双方公平。
(1)列表如下:
由表知,该游戏共有12种等可能的结果。
这个游戏对双方公平,理由如下:
由
(1)知,共有12种等可能的结果,乘积是4的倍数的结果有4种,乘积是6的倍数的结果有4种。
$\frac{4}{12}$=$\frac{1}{3}$,小明赢得游戏的概率为$\frac{1}{3}$,小红赢得游戏的概率为$\frac{1}{3}$。
∵P(小红胜)=P(小明胜),
∴这个游戏对双方公平。
18. (9分)通常,路灯、台灯、手电筒……的光可以看成是从一个点发出的,在点光源的照射下,物体所产生的影子称为中心投影。
[画图操作]如图1,三根底部在同一直线上的旗杆直立在地面上,第一根、第二根旗杆在同一灯光下的影长如图所示。请在图中画出光源的位置及第三根旗杆在该光源下的影长(不写画法);
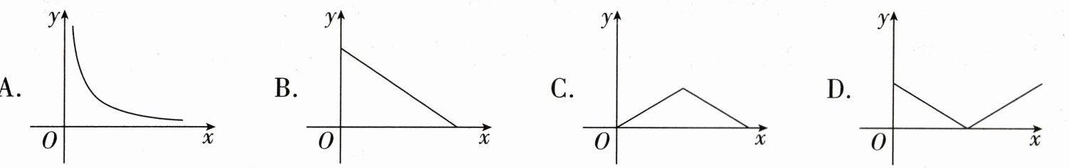
[数学思考]如图2,夜晚,小明从点A经过路灯C的正下方沿直线走到点B,他的影长y随他与点A之间的距离x的变化而变化,那么表示y与x之间函数关系的图象大致为________;

[解决问题]如图3,河对岸有一灯杆AB,在灯光下,小明在点D处测得自己的影长DF = 3m,接着他沿BD方向前进到达点F处测得自己的影长GF = 4m。已知小明的身高为1.6m,求灯杆AB的高度。

[画图操作]如图1,三根底部在同一直线上的旗杆直立在地面上,第一根、第二根旗杆在同一灯光下的影长如图所示。请在图中画出光源的位置及第三根旗杆在该光源下的影长(不写画法);
[数学思考]如图2,夜晚,小明从点A经过路灯C的正下方沿直线走到点B,他的影长y随他与点A之间的距离x的变化而变化,那么表示y与x之间函数关系的图象大致为________;
[解决问题]如图3,河对岸有一灯杆AB,在灯光下,小明在点D处测得自己的影长DF = 3m,接着他沿BD方向前进到达点F处测得自己的影长GF = 4m。已知小明的身高为1.6m,求灯杆AB的高度。
答案:
解:[画图操作]对三根旗杆的字母标注如下。
光源的位置S及第三根旗杆EF在该光源下的影长如图所示。

[数学思考]等高的物体垂直地面时,在灯光下,离点光源越近,物体的影子越短,离点光源越远,物体的影子越长,所以小明的影长y随他与点A之间的距离x的变化是先越来越短再越来越长。故答案为D。
[解决问题]如图,连接CD。由题意,得CD//EF//AB。

∴△CDF∽△ABF,△EFG∽△ABG
∴$\frac{CD}{AB}$=$\frac{DF}{BF}$,$\frac{EF}{AB}$=$\frac{GF}{GB}$。
又
∵CD=EF,
∴$\frac{DF}{BF}$=$\frac{GF}{BG}$。
∵DF=3m,GF=4m,BF=BD+DF=(BD+3)m,
BG=BD+DF+GF=(BD+7)m,
∴$\frac{3}{BD+3}$=$\frac{4}{BD+7}$。
∴BD=9m,BF=9+3=12(m)。
∴$\frac{1.6}{AB}$=$\frac{3}{12}$。
∴AB=6.4m。
∴灯杆AB的高度为6.4m。
解:[画图操作]对三根旗杆的字母标注如下。
光源的位置S及第三根旗杆EF在该光源下的影长如图所示。
[数学思考]等高的物体垂直地面时,在灯光下,离点光源越近,物体的影子越短,离点光源越远,物体的影子越长,所以小明的影长y随他与点A之间的距离x的变化是先越来越短再越来越长。故答案为D。
[解决问题]如图,连接CD。由题意,得CD//EF//AB。
∴△CDF∽△ABF,△EFG∽△ABG
∴$\frac{CD}{AB}$=$\frac{DF}{BF}$,$\frac{EF}{AB}$=$\frac{GF}{GB}$。
又
∵CD=EF,
∴$\frac{DF}{BF}$=$\frac{GF}{BG}$。
∵DF=3m,GF=4m,BF=BD+DF=(BD+3)m,
BG=BD+DF+GF=(BD+7)m,
∴$\frac{3}{BD+3}$=$\frac{4}{BD+7}$。
∴BD=9m,BF=9+3=12(m)。
∴$\frac{1.6}{AB}$=$\frac{3}{12}$。
∴AB=6.4m。
∴灯杆AB的高度为6.4m。
查看更多完整答案,请扫码查看