第84页
- 第1页
- 第2页
- 第3页
- 第4页
- 第5页
- 第6页
- 第7页
- 第8页
- 第9页
- 第10页
- 第11页
- 第12页
- 第13页
- 第14页
- 第15页
- 第16页
- 第17页
- 第18页
- 第19页
- 第20页
- 第21页
- 第22页
- 第23页
- 第24页
- 第25页
- 第26页
- 第27页
- 第28页
- 第29页
- 第30页
- 第31页
- 第32页
- 第33页
- 第34页
- 第35页
- 第36页
- 第37页
- 第38页
- 第39页
- 第40页
- 第41页
- 第42页
- 第43页
- 第44页
- 第45页
- 第46页
- 第47页
- 第48页
- 第49页
- 第50页
- 第51页
- 第52页
- 第53页
- 第54页
- 第55页
- 第56页
- 第57页
- 第58页
- 第59页
- 第60页
- 第61页
- 第62页
- 第63页
- 第64页
- 第65页
- 第66页
- 第67页
- 第68页
- 第69页
- 第70页
- 第71页
- 第72页
- 第73页
- 第74页
- 第75页
- 第76页
- 第77页
- 第78页
- 第79页
- 第80页
- 第81页
- 第82页
- 第83页
- 第84页
- 第85页
- 第86页
- 第87页
- 第88页
- 第89页
- 第90页
- 第91页
- 第92页
- 第93页
- 第94页
- 第95页
- 第96页
- 第97页
- 第98页
- 第99页
- 第100页
- 第101页
- 第102页
- 第103页
- 第104页
11. 三个连续的整数,中间的一个是 $n$,则这三个整数的积是 (
A.$3n$
B.$n^{3}$
C.$n^{3} - 1$
D.$n^{3} - n$
D
)A.$3n$
B.$n^{3}$
C.$n^{3} - 1$
D.$n^{3} - n$
答案:
D
12. (山西省中考改编)定义 $a※b = a(b + 1)$,例如 $2※3 = 2×(3 + 1) = 2×4 = 8$,则 $(x - 1)※x$ 的结果为
$x^{2}-1$
。
答案:
$x^{2}-1$
13. 计算:
(1)$(x - 2)(x + 2)(x^{2} + 4)$;
(2)$(a + 2b)(a - 2b) - \dfrac{1}{2}b(a - 8b)$;
(3)$(2x - y)(y + 2x) - (2y + x)(2y - x)$。
(1)$(x - 2)(x + 2)(x^{2} + 4)$;
(2)$(a + 2b)(a - 2b) - \dfrac{1}{2}b(a - 8b)$;
(3)$(2x - y)(y + 2x) - (2y + x)(2y - x)$。
答案:
(1)解:原式$=(x^{2}-4)(x^{2}+4)=x^{4}-16$.
(2)解:原式$=a^{2}-(2b)^{2}-\frac{1}{2}ab+4b^{2}=a^{2}-\frac{1}{2}ab$.
(3)解:原式$=4x^{2}-y^{2}-(4y^{2}-x^{2})=4x^{2}-y^{2}-4y^{2}+x^{2}=5x^{2}-5y^{2}$.
(1)解:原式$=(x^{2}-4)(x^{2}+4)=x^{4}-16$.
(2)解:原式$=a^{2}-(2b)^{2}-\frac{1}{2}ab+4b^{2}=a^{2}-\frac{1}{2}ab$.
(3)解:原式$=4x^{2}-y^{2}-(4y^{2}-x^{2})=4x^{2}-y^{2}-4y^{2}+x^{2}=5x^{2}-5y^{2}$.
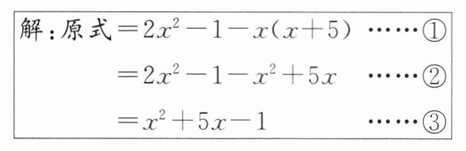
14. 小马虎化简 (2x + 1)(2x - 1) - x(x + 5) 的过程如图,请指出他化简过程中的错误,写出对应的序号,并写出正确的化简过程。

答案:
解:第①步,用平方差公式出错,第②步去括号出现错误.原式$=4x^{2}-1-(x^{2}+5x)=4x^{2}-1-x^{2}-5x=3x^{2}-5x-1$.
15. 【原创题】试说明:$(\dfrac{1}{4}m^{3} + 2n)(\dfrac{1}{4}m^{3} - 2n) + (2n - 4)(2n + 4)$ 的值和 $n$ 无关。
答案:
解:原式$=\left(\frac{1}{4}m^{3}\right)^{2}-(2n)^{2}+(2n)^{2}-4^{2}=\frac{1}{16}m^{6}-4n^{2}+4n^{2}-16=\frac{1}{16}m^{6}-16$.$\therefore$原式的值和$n$无关.
16. 【核心素养・运算能力】先观察下面的解题过程,然后解答问题:
$\begin{aligned}化简:&(2 + 1)(2^{2} + 1)(2^{4} + 1) + 1.\\解:原式 &= (2 - 1)(2 + 1)(2^{2} + 1)(2^{4} + 1) + 1\\&= (2^{2} - 1)(2^{2} + 1)(2^{4} + 1) + 1\\&= (2^{4} - 1)(2^{4} + 1) + 1\\&= 2^{8} - 1 + 1\\&= 2^{8}.\end{aligned} $
化简:$(3 + 1)(3^{2} + 1)(3^{4} + 1)(3^{8} + 1)…(3^{64} + 1) + \dfrac{1}{2}$。
$\begin{aligned}化简:&(2 + 1)(2^{2} + 1)(2^{4} + 1) + 1.\\解:原式 &= (2 - 1)(2 + 1)(2^{2} + 1)(2^{4} + 1) + 1\\&= (2^{2} - 1)(2^{2} + 1)(2^{4} + 1) + 1\\&= (2^{4} - 1)(2^{4} + 1) + 1\\&= 2^{8} - 1 + 1\\&= 2^{8}.\end{aligned} $
化简:$(3 + 1)(3^{2} + 1)(3^{4} + 1)(3^{8} + 1)…(3^{64} + 1) + \dfrac{1}{2}$。
答案:
解:原式$=\frac{1}{2}(3-1)(3+1)(3^{2}+1)(3^{4}+1)(3^{8}+1)\cdots(3^{64}+1)+\frac{1}{2}=\frac{1}{2}(3^{2}-1)(3^{2}+1)(3^{4}+1)(3^{8}+1)\cdots(3^{64}+1)+\frac{1}{2}=\frac{1}{2}(3^{4}-1)(3^{4}+1)(3^{8}+1)\cdots(3^{64}+1)+\frac{1}{2}=\frac{1}{2}(3^{8}-1)(3^{8}+1)\cdots(3^{64}+1)+\frac{1}{2}=\frac{1}{2}(3^{64}-1)(3^{64}+1)+\frac{1}{2}=\frac{1}{2}(3^{128}-1)+\frac{1}{2}=\frac{3^{128}}{2}$.
查看更多完整答案,请扫码查看