第13页
- 第1页
- 第2页
- 第3页
- 第4页
- 第5页
- 第6页
- 第7页
- 第8页
- 第9页
- 第10页
- 第11页
- 第12页
- 第13页
- 第14页
- 第15页
- 第16页
- 第17页
- 第18页
- 第19页
- 第20页
- 第21页
- 第22页
- 第23页
- 第24页
- 第25页
- 第26页
- 第27页
- 第28页
- 第29页
- 第30页
- 第31页
- 第32页
- 第33页
- 第34页
- 第35页
- 第36页
- 第37页
- 第38页
- 第39页
- 第40页
- 第41页
- 第42页
- 第43页
- 第44页
- 第45页
- 第46页
- 第47页
- 第48页
- 第49页
- 第50页
- 第51页
- 第52页
- 第53页
- 第54页
- 第55页
- 第56页
- 第57页
- 第58页
- 第59页
- 第60页
- 第61页
- 第62页
- 第63页
- 第64页
- 第65页
- 第66页
- 第67页
- 第68页
- 第69页
- 第70页
- 第71页
- 第72页
- 第73页
- 第74页
- 第75页
- 第76页
- 第77页
- 第78页
- 第79页
- 第80页
- 第81页
- 第82页
- 第83页
- 第84页
- 第85页
- 第86页
- 第87页
2. 计算下面各题,怎样简便就怎样算。
$(\frac {2}{7}+\frac {3}{5})×3.5$
$\frac {7}{25}×99+\frac {7}{25}$
$\frac {11}{57}×\frac {12}{121}×\frac {19}{4}$
$\frac {2021}{2022}×2023$
$12×(\frac {5}{12}-\frac {3}{13})×13$
$\frac {13}{7}×\frac {16}{15}+\frac {16}{7}×\frac {22}{15}$
$(\frac {2}{7}+\frac {3}{5})×3.5$
$\frac {7}{25}×99+\frac {7}{25}$
$\frac {11}{57}×\frac {12}{121}×\frac {19}{4}$
$\frac {2021}{2022}×2023$
$12×(\frac {5}{12}-\frac {3}{13})×13$
$\frac {13}{7}×\frac {16}{15}+\frac {16}{7}×\frac {22}{15}$
答案:
3.1 28 $\frac{1}{11}$ 2021$\frac{2021}{2022}$ 29 $\frac{16}{3}$
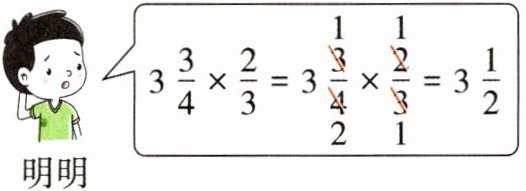
1. (说理表达)明明在计算“$3\frac {3}{4}×\frac {2}{3}$”时,是这样做的。你认为他这样做对吗?为什么?

答案:
他这样做不对,因为$3\frac{3}{4}$是3和$\frac{3}{4}$相加,要用它们的和乘$\frac{2}{3}$,而不能只用部分乘$\frac{2}{3}$。正确的做法是$3\frac{3}{4}×\frac{2}{3}=\frac{15}{4}×\frac{2}{3}=\frac{5}{2}$(或者$3\frac{3}{4}×\frac{2}{3}=(3+\frac{3}{4})×\frac{2}{3}=3×\frac{2}{3}+\frac{3}{4}×\frac{2}{3}=2\frac{1}{2}$)
2. (绿色环保)优优和阳阳在世界环境日那天结伴去白城沙滩清理垃圾。优优每小时清理$\frac {4}{5}kg$垃圾,阳阳每小时清理的垃圾质量是优优的$\frac {3}{5}$。他们1小时一共清理多少千克垃圾?
答案:
$\frac{4}{5}×\frac{3}{5}+\frac{4}{5}=\frac{32}{25}$(kg)
3. (说理表达)奇奇每天坚持阅读课外书。上周末他去省图书馆借阅了一本科普读物,回来后星期六读了这本书的$\frac {3}{8}$,星期日读的页数是星期六的$\frac {4}{3}$。奇奇上周末读完这本书了吗?请说明理由。
答案:
$\frac{3}{8}×\frac{4}{3}+\frac{3}{8}=\frac{7}{8}$ $\frac{7}{8}<1$,没有读完
4. 爸爸驾车下班回家,途中到加油站加92号汽油。加油前,油表显示和当日油价如下图所示,汽车油箱容积为80升,爸爸的加油卡里还有380元,能将油箱加满吗?写出你的思考过程。

答案:
$80×\frac{5}{8}×7.42=371$(元) 380>371,能将油箱加满
查看更多完整答案,请扫码查看