第58页
- 第1页
- 第2页
- 第3页
- 第4页
- 第5页
- 第6页
- 第7页
- 第8页
- 第9页
- 第10页
- 第11页
- 第12页
- 第13页
- 第14页
- 第15页
- 第16页
- 第17页
- 第18页
- 第19页
- 第20页
- 第21页
- 第22页
- 第23页
- 第24页
- 第25页
- 第26页
- 第27页
- 第28页
- 第29页
- 第30页
- 第31页
- 第32页
- 第33页
- 第34页
- 第35页
- 第36页
- 第37页
- 第38页
- 第39页
- 第40页
- 第41页
- 第42页
- 第43页
- 第44页
- 第45页
- 第46页
- 第47页
- 第48页
- 第49页
- 第50页
- 第51页
- 第52页
- 第53页
- 第54页
- 第55页
- 第56页
- 第57页
- 第58页
- 第59页
- 第60页
- 第61页
- 第62页
- 第63页
- 第64页
- 第65页
- 第66页
- 第67页
- 第68页
- 第69页
- 第70页
- 第71页
- 第72页
- 第73页
- 第74页
7. 电位器是电器设备中常用的电路元件(如图甲),已知音响设备中的电位器接入电路的电阻越小,音量越大,若要实现沿逆时针调节旋钮时,音量增大,必须将B和______接入电路。如图乙是电阻箱,此时接入电路的电阻示数是______Ω。

答案:
7.C 2035
解析:根据题意,沿逆时针调节旋钮时音量增大,即电路中的电流变大,则电位器接入电路中的电阻变小,根据电位器工作原理可知,应将滑片以右的金属条接入电路,即B和C接入电路。乙图中电阻箱表示的阻值为2×1000Ω + 0×100Ω + 3×10Ω + 5×1Ω = 2035Ω。
解析:根据题意,沿逆时针调节旋钮时音量增大,即电路中的电流变大,则电位器接入电路中的电阻变小,根据电位器工作原理可知,应将滑片以右的金属条接入电路,即B和C接入电路。乙图中电阻箱表示的阻值为2×1000Ω + 0×100Ω + 3×10Ω + 5×1Ω = 2035Ω。
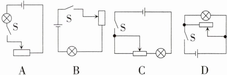
8. 如图所示,要使用滑动变阻器调节小灯泡发光的亮度,下列四种连接方法中错误的是( )

A.
B.
C.
D.
A.
B.
C.
D.
答案:
8.D 解析:D中,滑动变阻器和小灯泡并联接在电源上,小灯泡和滑动变阻器互不影响,小灯泡的亮度不会变化。故选D。
9. 如图甲为教室内的可调速吊扇,图乙是其模拟电路。通过转动控制面板上电位器的旋钮,可以调节吊扇的转速。下列分析正确的是( )

A.若将A、C接入电路中,顺时针旋转旋钮P,吊扇的转速变慢
B.若将A、B接入电路中,逆时针旋转旋钮P,吊扇的转速不变
C.电位器的原理与滑动变阻器的原理相同
D.电位器是通过改变接入电路中电阻丝的横截面积来调节吊扇转速的快慢
A.若将A、C接入电路中,顺时针旋转旋钮P,吊扇的转速变慢
B.若将A、B接入电路中,逆时针旋转旋钮P,吊扇的转速不变
C.电位器的原理与滑动变阻器的原理相同
D.电位器是通过改变接入电路中电阻丝的横截面积来调节吊扇转速的快慢
答案:
9.C 解析:若将A、C接入电路中,电位器接入电路中的电阻不变,所以旋转旋钮P,吊扇的转速不变,A错误;若将A、B接入电路中,逆时针旋转旋钮P,电位器接入电路中的电阻变大,吊扇的转速变慢,B错误;电位器是通过改变接入电路中的电阻丝长度来改变电阻,与滑动变阻器的原理相同,C正确,D错误。
10. 【科学思维】如图是一种测定油箱内油量的装置。其中R是滑动变阻器的电阻片,滑动变阻器的滑片跟滑杆连接,滑杆可以绕固定轴转动,另一端固定着一个浮子。从电路连接方式可分析出,此油量表实际上是一个______(选填“电流表”或“电压表”)。当油箱中的油量减少时,油面下降,浮子随油面下落,带动滑杆使滑动变阻器接入电路的电阻变______,从而使油量表的示数______(选填“变大”“不变”或“变小”)。

答案:
10.电流表 大 变小
解析:电流表串联使用,电压表并联使用。从图中可知,电路为串联电路,且油量表串联在电路中,故油量表实际上是一个电流表;当油箱中的油量减少时,油面下降,浮子随油面下落,带动滑杆使滑动变阻器滑片向上移动,滑动变阻器接入电路的电阻变大,电路中的电流变小,从而使油量的示数变小。
解析:电流表串联使用,电压表并联使用。从图中可知,电路为串联电路,且油量表串联在电路中,故油量表实际上是一个电流表;当油箱中的油量减少时,油面下降,浮子随油面下落,带动滑杆使滑动变阻器滑片向上移动,滑动变阻器接入电路的电阻变大,电路中的电流变小,从而使油量的示数变小。
11. 【物理与生活】电动汽车中电动机的转速由电流大小控制,其工作原理如图所示。利用旋钮变阻器实现对转速的控制,图中O、E、F为变阻器的三个接线柱。驾驶员踩下“油门”,电路中变阻器接入的电阻减小,电流变大而加快电动机的转速,用笔画线代表导线将旋钮变阻器接入电路M、N处。

答案:
11.如图所示
11.如图所示
12. 如图是插塞式电阻箱的示意图。各个厚铜片并没有直接连通,而是由阻值固定的电阻丝连接在一起。铜塞可以插入到相邻的两个厚铜片之间,并且紧密接触。铜塞与厚铜片的电阻很小,可近似认为是0,则如图所示的情景中,该电阻箱的有效电阻为______Ω;当铜塞全部被拔出后,该电阻箱的有效电阻为______Ω。

答案:
12.50 80
解析:当铜塞插入时,该铜塞处的电阻丝被短路,由图可知,拔出的铜塞所对应的电阻是20Ω + 30Ω = 50Ω,所以此时电阻箱的有效电阻是50Ω。当铜塞全部拔出后,总电阻最大,它们的总电阻R = 10Ω + 20Ω + 20Ω + 30Ω = 80Ω。
解析:当铜塞插入时,该铜塞处的电阻丝被短路,由图可知,拔出的铜塞所对应的电阻是20Ω + 30Ω = 50Ω,所以此时电阻箱的有效电阻是50Ω。当铜塞全部拔出后,总电阻最大,它们的总电阻R = 10Ω + 20Ω + 20Ω + 30Ω = 80Ω。
查看更多完整答案,请扫码查看