第37页
- 第1页
- 第2页
- 第3页
- 第4页
- 第5页
- 第6页
- 第7页
- 第8页
- 第9页
- 第10页
- 第11页
- 第12页
- 第13页
- 第14页
- 第15页
- 第16页
- 第17页
- 第18页
- 第19页
- 第20页
- 第21页
- 第22页
- 第23页
- 第24页
- 第25页
- 第26页
- 第27页
- 第28页
- 第29页
- 第30页
- 第31页
- 第32页
- 第33页
- 第34页
- 第35页
- 第36页
- 第37页
- 第38页
- 第39页
- 第40页
- 第41页
- 第42页
- 第43页
- 第44页
- 第45页
- 第46页
- 第47页
- 第48页
- 第49页
- 第50页
- 第51页
- 第52页
- 第53页
- 第54页
- 第55页
- 第56页
- 第57页
- 第58页
- 第59页
- 第60页
- 第61页
- 第62页
- 第63页
- 第64页
- 第65页
- 第66页
- 第67页
- 第68页
- 第69页
- 第70页
- 第71页
- 第72页
- 第73页
- 第74页
1. 如图是一个未完成连接的实物电路。请用笔画线代替导线将电路连接完整。要求:灯$L_1、$$L_2$并联,开关S同时控制两盏灯,导线不能交叉。

答案:
如图所示
如图所示
2. 请根据如图所示的实物电路在虚线框中画出相应的电路图。
______
答案:
如图所示
如图所示
3. 如图所示的实物电路中,灯$L_1、$$L_2$应该并联,但有一根导线连接错误,请在错误的导线上打“×”,并在图上用笔画线代替导线将电路连接正确。

答案:
如图所示
如图所示
4. 有一种日光灯的工作电路图如图所示,在启动时要用启辉器,当日光灯启动后,可以取下启辉器,日光灯依然能正常工作。下列说法正确的是( )

A.a是启辉器
B.b是启辉器
C.a、b都是启辉器
D.a、b中不管谁是启辉器都可以让灯管正常工作
A.a是启辉器
B.b是启辉器
C.a、b都是启辉器
D.a、b中不管谁是启辉器都可以让灯管正常工作
答案:
B 解析 由图可知,元件b与灯管并联,元件a串联在干路上;当日光灯启动发光后,元件a一定是接通的。若a是启辉器,当取下启辉器时,整个电路断开,日光灯不能工作,A、C、D错误;若b是启辉器,当取下启辉器时,日光灯与元件a串联(元件a为控制日光灯的开关),电路处于通路状态,日光灯依然能正常工作,B正确。
5. 听了交通安全教育专题讲座后,四位同学对学校附近十字路口人行横道的红绿交通信号灯的电路产生了浓厚兴趣。经过观察、思考,他们设计了如图所示的电路,你认为其中正确的是( )

A
B
C D
A
B
C D
答案:
B 解析 根据生活经验可知,红绿交通信号灯不能同时工作且互不影响,即为并联。两灯分别由其支路上的开关控制,B正确。
6. 小梦使用耳机听英语听力时,不小心把耳机一边的线扯断了,但另一边耳机仍有声音。根据此现象可判断,两边耳机是______(选填“串联”或“并联”)的,判断的依据:并联电路的某一支路断开时,______(选填“影响”或“不影响”)另一支路的通断。
答案:
并联 不影响
7. 为确保安全,强排式燃气热水器使用时,先闭合开关$S_1,$排气电机工作,再闭合开关$S_2,$燃烧室工作;若只闭合开关$S_2,$燃烧室无法工作。请按要求完成虚线框内电路图。

答案:
如图所示
如图所示
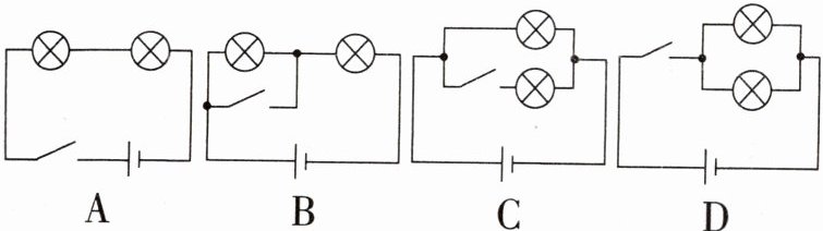
8. 下列选项中的四个电路图与实物电路对应的是( )


A
B
C D
A
B
C D
答案:
C 解析 由实物电路可知,电流从电源正极出发后分成两条路径,一条经过开关、小灯泡,另一条经过另一个小灯泡,然后汇合回到电源负极。故选C。
查看更多完整答案,请扫码查看