第79页
- 第1页
- 第2页
- 第3页
- 第4页
- 第5页
- 第6页
- 第7页
- 第8页
- 第9页
- 第10页
- 第11页
- 第12页
- 第13页
- 第14页
- 第15页
- 第16页
- 第17页
- 第18页
- 第19页
- 第20页
- 第21页
- 第22页
- 第23页
- 第24页
- 第25页
- 第26页
- 第27页
- 第28页
- 第29页
- 第30页
- 第31页
- 第32页
- 第33页
- 第34页
- 第35页
- 第36页
- 第37页
- 第38页
- 第39页
- 第40页
- 第41页
- 第42页
- 第43页
- 第44页
- 第45页
- 第46页
- 第47页
- 第48页
- 第49页
- 第50页
- 第51页
- 第52页
- 第53页
- 第54页
- 第55页
- 第56页
- 第57页
- 第58页
- 第59页
- 第60页
- 第61页
- 第62页
- 第63页
- 第64页
- 第65页
- 第66页
- 第67页
- 第68页
- 第69页
- 第70页
- 第71页
- 第72页
- 第73页
- 第74页
- 第75页
- 第76页
- 第77页
- 第78页
- 第79页
- 第80页
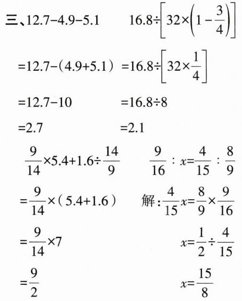
三、计算,能简算的要简算。
12.7-4.9-5.1 16.8÷[32×(1 - $\frac{3}{4}$)] $\frac{9}{14}$×5.4+1.6÷$\frac{14}{9}$ $\frac{9}{16}$:x=$\frac{4}{15}$:$\frac{8}{9}$
12.7-4.9-5.1 16.8÷[32×(1 - $\frac{3}{4}$)] $\frac{9}{14}$×5.4+1.6÷$\frac{14}{9}$ $\frac{9}{16}$:x=$\frac{4}{15}$:$\frac{8}{9}$
答案:

四、解决问题。
1. CR450动车组的运营时速将提升至400千米/时。某次运行试验中,已行驶的路程与未行驶的路程之比是3:2。

(1)根据等量关系“______________________”列出算式“56×$\frac{3}{3 + 2}$”,其中“$\frac{3}{3 + 2}$”表示的意义是:______________________________。
(2)CR400动车组行驶这段路程所用时间比CR450动车组多$\frac{1}{7}$,CR400动车组的速度比CR450动车组慢百分之多少?
1. CR450动车组的运营时速将提升至400千米/时。某次运行试验中,已行驶的路程与未行驶的路程之比是3:2。
(1)根据等量关系“______________________”列出算式“56×$\frac{3}{3 + 2}$”,其中“$\frac{3}{3 + 2}$”表示的意义是:______________________________。
(2)CR400动车组行驶这段路程所用时间比CR450动车组多$\frac{1}{7}$,CR400动车组的速度比CR450动车组慢百分之多少?
答案:
(1)总路程×已行驶路程占总路程的几分之几 = 已行驶路程 已行驶路程占总路程的几分之几
(2)56÷400×(1 + $\frac{1}{7}$)=0.16(时) 56÷0.16 = 350(千米/时) (400 - 350)÷400 = 0.125 = 12.5% 答:CR400 动车组的速度比 CR450 动车组慢 12.5%。
(1)总路程×已行驶路程占总路程的几分之几 = 已行驶路程 已行驶路程占总路程的几分之几
(2)56÷400×(1 + $\frac{1}{7}$)=0.16(时) 56÷0.16 = 350(千米/时) (400 - 350)÷400 = 0.125 = 12.5% 答:CR400 动车组的速度比 CR450 动车组慢 12.5%。
2.[新趋势·思维探究]聪聪用两种方法解决下面的问题:
学校里有一些昆虫标本,这些标本中,6条腿的蝴蝶和4条腿的乌龟共有11只,如果它们一共有52条腿,那么蝴蝶和乌龟各有多少只?
方法一:解:设______________________。
6x+4(11 - x)=52
方法二:解:设______________________。
$\frac{x}{6}+\frac{52 - x}{4}=11$
(1)你能看懂上面的解法吗?请将他是怎样设x的在横线上补充完整。
(2)我选择用方法( )来解答。并写出剩余解答过程。
(3)学校新订购了一批昆虫标本,卖家原计划每天制作12个,25天可以完成,但是学校急用,因此每天多制作3个,实际多少天可以完成?
学校里有一些昆虫标本,这些标本中,6条腿的蝴蝶和4条腿的乌龟共有11只,如果它们一共有52条腿,那么蝴蝶和乌龟各有多少只?
方法一:解:设______________________。
6x+4(11 - x)=52
方法二:解:设______________________。
$\frac{x}{6}+\frac{52 - x}{4}=11$
(1)你能看懂上面的解法吗?请将他是怎样设x的在横线上补充完整。
(2)我选择用方法( )来解答。并写出剩余解答过程。
(3)学校新订购了一批昆虫标本,卖家原计划每天制作12个,25天可以完成,但是学校急用,因此每天多制作3个,实际多少天可以完成?
答案:
(1)蝴蝶有 x 只 蝴蝶共有 x 条腿
(2)(答案不唯一) 一 x = 4 11 - x = 11 - 4 = 7 答:蝴蝶有 4 只,乌龟有 7 只。
(3)解:设实际 y 天可以完成。 12×25 = (12 + 3)×y y = 20 答:实际 20 天可以完成。
(1)蝴蝶有 x 只 蝴蝶共有 x 条腿
(2)(答案不唯一) 一 x = 4 11 - x = 11 - 4 = 7 答:蝴蝶有 4 只,乌龟有 7 只。
(3)解:设实际 y 天可以完成。 12×25 = (12 + 3)×y y = 20 答:实际 20 天可以完成。
3. 科学实验区。小方和小卉分别用柠檬皮和苹果皮提取果胶,他们提取的果胶质量之比为5:3,若小方把自己提取的果胶中的11 g送给小卉,则他们的果胶质量之比变为3:4。小方和小卉各提取了多少克果胶?

答案:
解:设小方提取了 5x g 果胶,小卉提取了 3x g 果胶。 (5x - 11) : (3x + 11)=3 : 4 x = 7 5x = 5×7 = 35 3x = 3×7 = 21 答:小方提取了 35 g 果胶,小卉提取了 21 g 果胶。 解析:由题知,小方提取的果胶质量:小卉提取的果胶质量 = 5 : 3,(小方提取的果胶质量 - 11 g) : (小卉提取的果胶质量 + 11 g)=3 : 4,根据这两个关系式设未知数,列方程求解。
查看更多完整答案,请扫码查看