2025年红对勾练吧九年级物理上册教科版
注:目前有些书本章节名称可能整理的还不是很完善,但都是按照顺序排列的,请同学们按照顺序仔细查找。练习册 2025年红对勾练吧九年级物理上册教科版 答案主要是用来给同学们做完题方便对答案用的,请勿直接抄袭。
第58页
- 第1页
- 第2页
- 第3页
- 第4页
- 第5页
- 第6页
- 第7页
- 第8页
- 第9页
- 第10页
- 第11页
- 第12页
- 第13页
- 第14页
- 第15页
- 第16页
- 第17页
- 第18页
- 第19页
- 第20页
- 第21页
- 第22页
- 第23页
- 第24页
- 第25页
- 第26页
- 第27页
- 第28页
- 第29页
- 第30页
- 第31页
- 第32页
- 第33页
- 第34页
- 第35页
- 第36页
- 第37页
- 第38页
- 第39页
- 第40页
- 第41页
- 第42页
- 第43页
- 第44页
- 第45页
- 第46页
- 第47页
- 第48页
- 第49页
- 第50页
- 第51页
- 第52页
- 第53页
- 第54页
- 第55页
- 第56页
- 第57页
- 第58页
- 第59页
- 第60页
- 第61页
- 第62页
- 第63页
- 第64页
- 第65页
- 第66页
- 第67页
- 第68页
- 第69页
- 第70页
- 第71页
- 第72页
- 第73页
- 第74页
- 第75页
- 第76页
- 第77页
- 第78页
- 第79页
- 第80页
- 第81页
- 第82页
- 第83页
- 第84页
- 第85页
- 第86页
- 第87页
3. 某同学用如图所示的电路测量小灯泡正常发光时的电阻值,他们连接好电路,闭合开关 $ S $,将滑动变阻器的滑片 $ P $ 向左移动,进行实验。下列说法中正确的是 (

A.电流表和电压表的示数都变小
B.电流表的示数变大,电压表的示数不变
C.若考虑电压表和电流表电阻的影响,则所测量的电阻值偏小
D.若灯 $ L $ 不亮,电流表无示数,电压表的示数较大,可能是灯 $ L $ 短路
C
)A.电流表和电压表的示数都变小
B.电流表的示数变大,电压表的示数不变
C.若考虑电压表和电流表电阻的影响,则所测量的电阻值偏小
D.若灯 $ L $ 不亮,电流表无示数,电压表的示数较大,可能是灯 $ L $ 短路
答案:
C
4. 在“伏安法测电阻”的实验中,丹丹分别选用定值电阻和小灯泡为测量对象,在处理实验数据时,分别画出了 $ U - I $ 图像,如图甲、乙所示。对于图像的分析,以下说法错误的是 (
A. 图甲是定值电阻的 $ U - I $ 图像,图乙是小灯泡的 $ U - I $ 图像
B. 由图像可知,通过定值电阻的电流和定值电阻两端的电压成正比
C. 由图乙及实验现象可知小灯泡的电阻随灯丝温度的增加而增大
D. 为了减小误差,应该用多次测量的方法,计算小灯泡的电阻
D
)B. 由图像可知,通过定值电阻的电流和定值电阻两端的电压成正比
C. 由图乙及实验现象可知小灯泡的电阻随灯丝温度的增加而增大
D. 为了减小误差,应该用多次测量的方法,计算小灯泡的电阻
答案:
D
5. 在测量正常发光时电压为 $ 3.8 \, V $ 的小灯泡的电阻时,有下列器材:电源(电压为 $ 6 \, V $),被测小灯泡(阻值约为 $ 12 \, \Omega $),电流表($ 0 \sim 0.6 \, A $ 和 $ 0 \sim 3 \, A $ 两个测量范围),电压表($ 0 \sim 3 \, V $ 和 $ 0 \sim 15 \, V $ 两个测量范围),两只滑动变阻器(规格分别是 $ R_1 $ “$ 1 \, A \quad 20 \, \Omega $” 和 $ R_2 $ “$ 2 \, A \quad 5 \, \Omega $”)。由于电压表 $ 15 \, V $ 的测量范围很难准确读出 $ 3.8 \, V $,为了提高实验精确度,可以将电压表并联在
滑动变阻器
两端,并选用0~3 V
测量范围,电流表应选用0~0.6 A
测量范围,滑动变阻器应选用R₁
。
答案:
滑动变阻器 0~3 V 0~0.6 A R₁
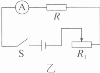
6. (科学探究)伏安法是测量电阻的一个基本方法,其电路如图甲所示。电路中所用的元件都在安全的范围内使用。

(1) 此实验的基本原理是欧姆定律,即利用公式
(2) 由以上的实验原理可知,本实验最重要的测量工具是
(3) 如果此实验缺少电压表,$ R_1 $ 的最大阻值已知为 $ R_0 $,也可以测量电阻 $ R $ 的阻值。如图乙去掉电压表,闭合开关,将滑动变阻器滑片先调到最左端,读出此时电流表的示数为 $ I_1 $;再将滑动变阻器滑片调到最右端,读出此时电流表的示数为

(4) 如果此实验缺少电流表,$ R_1 $ 的最大阻值已知为 $ R_0 $,也可以测量电阻 $ R $ 的阻值。如图丙去掉电流表,闭合开关,将滑动变阻器滑片先调到最左端,读出此时电压表的示数为 $ U_1 $;再将滑动变阻器滑片调到最右端,读出此时电压表的示数为

(1) 此实验的基本原理是欧姆定律,即利用公式
$I=\frac{U}{R}$
导出公式$R=\frac{U}{I}$
,从而实现测量电阻的目的。(2) 由以上的实验原理可知,本实验最重要的测量工具是
电流表
和电压表
。(3) 如果此实验缺少电压表,$ R_1 $ 的最大阻值已知为 $ R_0 $,也可以测量电阻 $ R $ 的阻值。如图乙去掉电压表,闭合开关,将滑动变阻器滑片先调到最左端,读出此时电流表的示数为 $ I_1 $;再将滑动变阻器滑片调到最右端,读出此时电流表的示数为
$I_{2}$
,则电阻 $ R $ 的表达式为$\frac{I_{1}R_{0}}{I_{2}-I_{1}}$
。(用 $ R_0 $、$ I_1 $ 以及读出的示数等已知物理量表示)(4) 如果此实验缺少电流表,$ R_1 $ 的最大阻值已知为 $ R_0 $,也可以测量电阻 $ R $ 的阻值。如图丙去掉电流表,闭合开关,将滑动变阻器滑片先调到最左端,读出此时电压表的示数为 $ U_1 $;再将滑动变阻器滑片调到最右端,读出此时电压表的示数为
$U_{2}$
,则电阻 $ R $ 的表达式为$\frac{U_{1}R_{0}}{U_{2}-U_{1}}$
。(用 $ R_0 $、$ U_1 $ 以及读出的示数等已知物理量表示)
答案:
6.
(1)$I=\frac{U}{R}$ $R=\frac{U}{I}$
(2)电流表 电压表
(3)$I_{2}$ $\frac{I_{1}R_{0}}{I_{2}-I_{1}}$
(4)$U_{2}$ $\frac{U_{1}R_{0}}{U_{2}-U_{1}}$
(1)$I=\frac{U}{R}$ $R=\frac{U}{I}$
(2)电流表 电压表
(3)$I_{2}$ $\frac{I_{1}R_{0}}{I_{2}-I_{1}}$
(4)$U_{2}$ $\frac{U_{1}R_{0}}{U_{2}-U_{1}}$
查看更多完整答案,请扫码查看