2025年红对勾练吧九年级物理上册教科版
注:目前有些书本章节名称可能整理的还不是很完善,但都是按照顺序排列的,请同学们按照顺序仔细查找。练习册 2025年红对勾练吧九年级物理上册教科版 答案主要是用来给同学们做完题方便对答案用的,请勿直接抄袭。
第48页
- 第1页
- 第2页
- 第3页
- 第4页
- 第5页
- 第6页
- 第7页
- 第8页
- 第9页
- 第10页
- 第11页
- 第12页
- 第13页
- 第14页
- 第15页
- 第16页
- 第17页
- 第18页
- 第19页
- 第20页
- 第21页
- 第22页
- 第23页
- 第24页
- 第25页
- 第26页
- 第27页
- 第28页
- 第29页
- 第30页
- 第31页
- 第32页
- 第33页
- 第34页
- 第35页
- 第36页
- 第37页
- 第38页
- 第39页
- 第40页
- 第41页
- 第42页
- 第43页
- 第44页
- 第45页
- 第46页
- 第47页
- 第48页
- 第49页
- 第50页
- 第51页
- 第52页
- 第53页
- 第54页
- 第55页
- 第56页
- 第57页
- 第58页
- 第59页
- 第60页
- 第61页
- 第62页
- 第63页
- 第64页
- 第65页
- 第66页
- 第67页
- 第68页
- 第69页
- 第70页
- 第71页
- 第72页
- 第73页
- 第74页
- 第75页
- 第76页
- 第77页
- 第78页
- 第79页
- 第80页
- 第81页
- 第82页
- 第83页
- 第84页
- 第85页
- 第86页
- 第87页
9. 如图所示的电路中,有两根导线尚未连接,请用笔画线代替导线将电路连接完整。要求:①闭合开关,滑片向右移动,电流表示数变小;②电压测定值电阻两端电压。

答案:
如图所示:
如图所示:
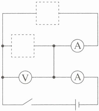
10. 小明连接好如图所示的电路后闭合开关,向右移动滑动变阻器的滑片时,一只电流表的示数不变,另一只电流表的示数变小。请在虚线框内填入小灯泡和滑动变阻器的元件符号。(忽略灯丝电阻的变化)

答案:
如图所示:
如图所示:
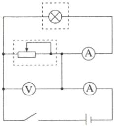
11. 请用笔画线代替导线将如图所示的电路连接完整。要求:导线不能交叉,电压表测小灯泡两端电压。闭合开关 S,向左端移动滑动变阻器的滑片,小灯泡变亮。

答案:
如图所示:
如图所示:
12. 请用笔画线代替导线根据电路图连接实物图。

答案:
如图所示:
如图所示:
13. 请照图甲所示的电路图,用笔画线(电流表用 0 ~ 0.6 A 的测量范围),将图乙中各个元件连接起来。

答案:
如图所示:
如图所示:
14. 根据如图所示的实物连接图,在虚线框中画出对应的电路图。

答案:
如图所示:
如图所示:
15. 根据如图所示的实物图在虚线框内画出对应的电路图。

答案:
如图所示:
如图所示:
查看更多完整答案,请扫码查看