2025年红对勾练吧九年级物理上册教科版
注:目前有些书本章节名称可能整理的还不是很完善,但都是按照顺序排列的,请同学们按照顺序仔细查找。练习册 2025年红对勾练吧九年级物理上册教科版 答案主要是用来给同学们做完题方便对答案用的,请勿直接抄袭。
第40页
- 第1页
- 第2页
- 第3页
- 第4页
- 第5页
- 第6页
- 第7页
- 第8页
- 第9页
- 第10页
- 第11页
- 第12页
- 第13页
- 第14页
- 第15页
- 第16页
- 第17页
- 第18页
- 第19页
- 第20页
- 第21页
- 第22页
- 第23页
- 第24页
- 第25页
- 第26页
- 第27页
- 第28页
- 第29页
- 第30页
- 第31页
- 第32页
- 第33页
- 第34页
- 第35页
- 第36页
- 第37页
- 第38页
- 第39页
- 第40页
- 第41页
- 第42页
- 第43页
- 第44页
- 第45页
- 第46页
- 第47页
- 第48页
- 第49页
- 第50页
- 第51页
- 第52页
- 第53页
- 第54页
- 第55页
- 第56页
- 第57页
- 第58页
- 第59页
- 第60页
- 第61页
- 第62页
- 第63页
- 第64页
- 第65页
- 第66页
- 第67页
- 第68页
- 第69页
- 第70页
- 第71页
- 第72页
- 第73页
- 第74页
- 第75页
- 第76页
- 第77页
- 第78页
- 第79页
- 第80页
- 第81页
- 第82页
- 第83页
- 第84页
- 第85页
- 第86页
- 第87页
2. 如图所示,当开关$ S_1$闭合$,S_2$断开时,电流表的示数为 0.9 A,若只闭合$ S_2$而断开$ S_1$时,电流表的示数为 0.5 A,则通过$ L_2$的电流是(

A.0.9 A
B.0.5 A
C.0.4 A
D.1.4 A
C
)A.0.9 A
B.0.5 A
C.0.4 A
D.1.4 A
答案:
C
3. 如图所示,使用电流表测量电路中电流的实验中,电流表及其接线柱连线部分,下列说法正确的是(

A.a 导线中电流可能为 2.5 A
B.b 导线中电流不可能为 1.5 A
C.b 导线中电流可能为 1.7 A
D.c 导线中电流一定大于 1.5 A
C
)A.a 导线中电流可能为 2.5 A
B.b 导线中电流不可能为 1.5 A
C.b 导线中电流可能为 1.7 A
D.c 导线中电流一定大于 1.5 A
答案:
C
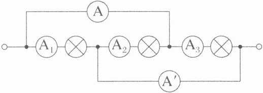
4. 如图所示,电流表$ A_1、$$A_2、$$A_3$的示数分别为 30 mA、50 mA、70 mA,则电流表 A 和电流表 A'的示数之差是
]

40
mA。]
答案:
40
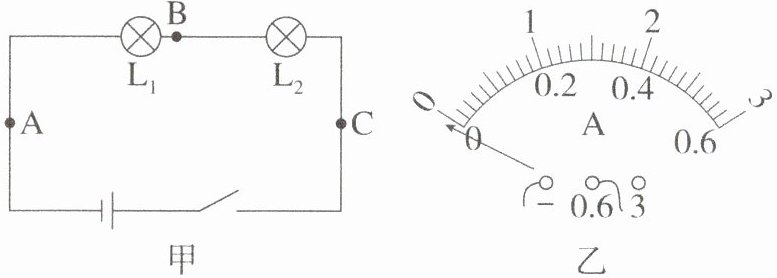
5. (2025 南平期中)在“用电流表测电流”的实验中,某同学连接如图 a 所示的电路。当开关都闭合后两灯都发光,两个电流表的指针所指位置均为图 b 所示,电流表$ A_1$的示数为
]

2.4
A。若$ S_2$断开$,S_1$闭合,电流表$ A_1$的示数为1.92
A。]
答案:
2.4 1.92
6. 根据如图甲所示的电路图,连接如图乙所示的实物图。(通过$ L_1$的电流约为 0.3 A,通过$ L_2$的电流约为 0.5 A,导线不许交叉)
]

]
答案:
如图所示:
如图所示:
7. (科学探究)新星中学初三某班同学分组探究“串联电路的电流规律”,所接电路图如图甲所示。

(1)实验中,选择两个小灯泡的规格是
(2)某同学在测电流时,发现电流表的指针偏转如图乙所示,原因是
(3)实验中发现两个串联的小灯泡中,一个发光,一个不发光,下列判断正确的是
A. 通过不发光的灯泡电流小
B. 通过发光的灯泡电流大
C. 通过两个灯泡的电流相等
D. 不发光的灯泡灯丝断了
(4)下表是探究小组记录的实验数据:指出表格所记录的数据中,明显错误的数值是

(5)这个实验中存在的不足是
(1)实验中,选择两个小灯泡的规格是
不相同
(选填“相同”或“不相同”)的。某同学连接好最后一根导线时,发现灯都亮了,出现这种情况的原因是连接电路前,开关没有断开
。(2)某同学在测电流时,发现电流表的指针偏转如图乙所示,原因是
电流表的正负接线柱接反了
。(3)实验中发现两个串联的小灯泡中,一个发光,一个不发光,下列判断正确的是
C
。A. 通过不发光的灯泡电流小
B. 通过发光的灯泡电流大
C. 通过两个灯泡的电流相等
D. 不发光的灯泡灯丝断了
(4)下表是探究小组记录的实验数据:指出表格所记录的数据中,明显错误的数值是
2
,造成错误的原因是电流表接小量程而按大量程读数
。(5)这个实验中存在的不足是
只进行了一次实验,结论具有偶然性
。
答案:
(1)不相同 连接电路前,开关没有断开
(2)电流表的正负接线柱接反了
(3)C
(4)2 电流表接小量程而按大量程读数
(5)只进行了一次实验,结论具有偶然性
(1)不相同 连接电路前,开关没有断开
(2)电流表的正负接线柱接反了
(3)C
(4)2 电流表接小量程而按大量程读数
(5)只进行了一次实验,结论具有偶然性
查看更多完整答案,请扫码查看