第84页
- 第1页
- 第2页
- 第3页
- 第4页
- 第5页
- 第6页
- 第7页
- 第8页
- 第9页
- 第10页
- 第11页
- 第12页
- 第13页
- 第14页
- 第15页
- 第16页
- 第17页
- 第18页
- 第19页
- 第20页
- 第21页
- 第22页
- 第23页
- 第24页
- 第25页
- 第26页
- 第27页
- 第28页
- 第29页
- 第30页
- 第31页
- 第32页
- 第33页
- 第34页
- 第35页
- 第36页
- 第37页
- 第38页
- 第39页
- 第40页
- 第41页
- 第42页
- 第43页
- 第44页
- 第45页
- 第46页
- 第47页
- 第48页
- 第49页
- 第50页
- 第51页
- 第52页
- 第53页
- 第54页
- 第55页
- 第56页
- 第57页
- 第58页
- 第59页
- 第60页
- 第61页
- 第62页
- 第63页
- 第64页
- 第65页
- 第66页
- 第67页
- 第68页
- 第69页
- 第70页
- 第71页
- 第72页
- 第73页
- 第74页
- 第75页
- 第76页
- 第77页
- 第78页
- 第79页
- 第80页
- 第81页
- 第82页
- 第83页
- 第84页
- 第85页
- 第86页
- 第87页
- 第88页
- 第89页
- 第90页
- 第91页
- 第92页
- 第93页
- 第94页
- 第95页
- 第96页
- 第97页
- 第98页
- 第99页
- 第100页
- 第101页
- 第102页
- 第103页
- 第104页
- 第105页
- 第106页
- 第107页
- 第108页
- 第109页
11. 小李在探究“并联电路的电流规律”时,设计了如图甲所示的电路。
(1)连接电路时,开关应处于断开状态;闭合开关后,小李发现电流表的指针指向零刻度线左边,原因是____。
(2)如图乙是小李准备测A点电流的实物图,图中还差一根导线,用笔画线代替导线将它连接完整;连接好电路后,闭合开关,发现其中一灯不亮,但电流表有示数,若只有 $ L_1 $ 或 $ L_2 $ 中的一处发生故障,则故障是____。
(3)排除故障后,小李完成了一次实验,并把数据记录在表格中,他便得出结论:并联电路中干路电流等于各支路电流之和;同组的小王认为实验次数太少,应该更换____(选填“相同”或“不同”)规格的小灯泡进行多次实验。

(4)他们按照上述操作重复做了几次实验,得到了多组数据,其目的是____。
(2)如图乙是小李准备测A点电流的实物图,图中还差一根导线,用笔画线代替导线将它连接完整;连接好电路后,闭合开关,发现其中一灯不亮,但电流表有示数,若只有 $ L_1 $ 或 $ L_2 $ 中的一处发生故障,则故障是____。
(3)排除故障后,小李完成了一次实验,并把数据记录在表格中,他便得出结论:并联电路中干路电流等于各支路电流之和;同组的小王认为实验次数太少,应该更换____(选填“相同”或“不同”)规格的小灯泡进行多次实验。
(4)他们按照上述操作重复做了几次实验,得到了多组数据,其目的是____。
答案:
(1)电流表的正、负接线柱接反了
(2)如图所示。

$L_{2}$ 断路
(3)不同
(4)寻找普遍规律,避免偶然性
(1)电流表的正、负接线柱接反了
(2)如图所示。
$L_{2}$ 断路
(3)不同
(4)寻找普遍规律,避免偶然性
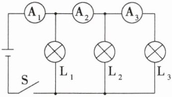
12. 如图所示,当开关S闭合后,电流表 $ A_1 $、$ A_2 $、$ A_3 $ 的示数分别为1.2 A、1 A、0.6 A。求:

(1)通过 $ L_1 $ 的电流。
(2)通过 $ L_2 $ 的电流。
(3)通过 $ L_3 $ 的电流。
(1)通过 $ L_1 $ 的电流。
(2)通过 $ L_2 $ 的电流。
(3)通过 $ L_3 $ 的电流。
答案:
(1)通过 $L_{1}$ 的电流为 0.2A。
(2)通过 $L_{2}$ 的电流为 0.4A。
(3)通过 $L_{3}$ 的电流为 0.6A。
(1)通过 $L_{1}$ 的电流为 0.2A。
(2)通过 $L_{2}$ 的电流为 0.4A。
(3)通过 $L_{3}$ 的电流为 0.6A。
查看更多完整答案,请扫码查看