第46页
- 第1页
- 第2页
- 第3页
- 第4页
- 第5页
- 第6页
- 第7页
- 第8页
- 第9页
- 第10页
- 第11页
- 第12页
- 第13页
- 第14页
- 第15页
- 第16页
- 第17页
- 第18页
- 第19页
- 第20页
- 第21页
- 第22页
- 第23页
- 第24页
- 第25页
- 第26页
- 第27页
- 第28页
- 第29页
- 第30页
- 第31页
- 第32页
- 第33页
- 第34页
- 第35页
- 第36页
- 第37页
- 第38页
- 第39页
- 第40页
- 第41页
- 第42页
- 第43页
- 第44页
- 第45页
- 第46页
- 第47页
- 第48页
- 第49页
- 第50页
- 第51页
- 第52页
- 第53页
- 第54页
- 第55页
- 第56页
- 第57页
- 第58页
- 第59页
- 第60页
- 第61页
- 第62页
- 第63页
- 第64页
- 第65页
- 第66页
- 第67页
- 第68页
- 第69页
- 第70页
- 第71页
- 第72页
- 第73页
- 第74页
- 第75页
- 第76页
- 第77页
- 第78页
- 第79页
- 第80页
- 第81页
- 第82页
- 第83页
- 第84页
- 第85页
- 第86页
- 第87页
- 第88页
- 第89页
- 第90页
- 第91页
- 第92页
- 第93页
1. 探究电流与电压的关系
电压是产生
电压是产生
电流
的原因;猜想:电压越高,电流可能越大
.采用控制变量
法进行探究,控制电阻不变,通过增减串联电池的节数来改变电压,或把滑动变阻器与定值电阻串联来改变定值电阻两端的电压;分析数据可以采用图像法,用图像的方法会更直观地看出两个量间的变化
关系,画出$I - U$图像,可以看出电流与电压成正比例
关系.结论:在电阻一定的情况下,通过导体的电流与导体两端的电压成正比
.
答案:
电流 大 控制变量 变化 正比例 正比
2. 探究电流与电阻的关系
电阻表示导体对电流的
电阻表示导体对电流的
阻碍
作用;猜想:电阻越大,电流会越小
.实验采用控制变量法,控制电压
不变,换用不同的电阻,利用滑动变阻器调节,使不同电阻两端的电压
相同,画出$I - R$图像,可以看出电流与电阻成反比例
关系.结论:导体两端的电压一定时,通过导体的电流与导体的电阻成反比
.
答案:
阻碍 小 电压 电压 反比例 反比
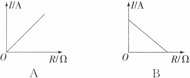
1. 下列图中,能正确描述电压一定时,电流随电阻变化的图像是(


D
)
答案:
D
2. 如图所示,在“探究电流跟电压的关系”的实验中,下列说法不正确的是(

A.探究电流跟电压的关系时,需要控制导体的电阻一定
B.滑动变阻器可以起到改变定值电阻两端电压的作用
C.实验的结论是:电流跟电压成反比
D.多次实验是为了得到电流跟电压之间的定量关系
C
)A.探究电流跟电压的关系时,需要控制导体的电阻一定
B.滑动变阻器可以起到改变定值电阻两端电压的作用
C.实验的结论是:电流跟电压成反比
D.多次实验是为了得到电流跟电压之间的定量关系
答案:
C
3. 用如图所示的电路研究电流跟电压的关系.为了改变定值电阻$R$两端电压,设计了以下三种方案:

甲:多节干电池串联接入$M$、$N$;
乙:电池与滑动变阻器串联接入$M$、$N$;
丙:电池先后与不同定值电阻$R'串联接入M$、$N$.
可行的方案是(
A.仅有甲
B.仅有乙
C.仅有甲、乙两种
D.甲、乙、丙都可行
甲:多节干电池串联接入$M$、$N$;
乙:电池与滑动变阻器串联接入$M$、$N$;
丙:电池先后与不同定值电阻$R'串联接入M$、$N$.
可行的方案是(
D
)A.仅有甲
B.仅有乙
C.仅有甲、乙两种
D.甲、乙、丙都可行
答案:
D
查看更多完整答案,请扫码查看