第36页
- 第1页
- 第2页
- 第3页
- 第4页
- 第5页
- 第6页
- 第7页
- 第8页
- 第9页
- 第10页
- 第11页
- 第12页
- 第13页
- 第14页
- 第15页
- 第16页
- 第17页
- 第18页
- 第19页
- 第20页
- 第21页
- 第22页
- 第23页
- 第24页
- 第25页
- 第26页
- 第27页
- 第28页
- 第29页
- 第30页
- 第31页
- 第32页
- 第33页
- 第34页
- 第35页
- 第36页
- 第37页
- 第38页
- 第39页
- 第40页
- 第41页
- 第42页
- 第43页
- 第44页
- 第45页
- 第46页
- 第47页
- 第48页
- 第49页
- 第50页
- 第51页
- 第52页
- 第53页
- 第54页
- 第55页
- 第56页
- 第57页
- 第58页
- 第59页
- 第60页
- 第61页
- 第62页
- 第63页
- 第64页
- 第65页
- 第66页
- 第67页
- 第68页
- 第69页
- 第70页
- 第71页
- 第72页
- 第73页
- 第74页
- 第75页
- 第76页
- 第77页
- 第78页
- 第79页
- 第80页
- 第81页
- 第82页
- 第83页
- 第84页
- 第85页
- 第86页
- 第87页
- 第88页
- 第89页
- 第90页
- 第91页
- 第92页
- 第93页
1. 串联电池组两端的电压等于
每节电池两端的电压之和
.
答案:
每节电池两端的电压之和
2. 串联电路中各用电器两端的电压
之和
等于电源两端的电压.
答案:
之和
3. 并联电路各支路用电器两端的电压
等于
电源两端的电压.
答案:
等于
1. 甲、乙两灯并联在同一电路中,甲灯比乙灯亮,则甲灯两端的电压
等于
(选填“大于”“小于”或“等于”)乙灯两端的电压,这是因为并联电路中,各支路两端的电压相等
.
答案:
等于 并联电路中,各支路两端的电压相等
2. 如图甲所示电路中,电源电压是6V且保持不变. 当开关闭合时,两灯不亮,电压表的示数为6V,则此时电路出现的故障可能是

灯L₂断路
;排除故障后,闭合开关时电压表的示数如图乙所示,则$L_1$两端的电压是2.5
V.
答案:
灯L₂断路 2.5
3. 教室里有10盏灯,同学们发现闭合开关后,有一盏灯不亮,其余灯都亮,由此可以判断教室里的灯是
并联
(选填“串联”或“并联”)的;节日里同学们把自带插头的一串40个相同的小彩灯插在教室里的插座上点亮,每盏灯两端的电压是5.5
V.
答案:
并联 5.5
4. 某小组在“探究并联电路中电压的特点”实验中.

(1)如图甲所示,根据电路图,用笔画线表示导线,将实物连接起来.
(2)连接电路时,开关应处于______状态.
(3)正确连接好电路后,闭合开关,电压表的示数如图乙所示,为______V.
(4)测得灯泡$L_1$两端电压后,再测得灯泡$L_2$两端电压和A、B两端电压,记录数据. 改变两个小灯泡的规格,重复以上操作,其目的是______.
(5)评估交流环节,有同学提出:实验中连接完电路,闭合开关,发现电压表指针反向偏转,原因是______.
(1)如图甲所示,根据电路图,用笔画线表示导线,将实物连接起来.
(2)连接电路时,开关应处于______状态.
(3)正确连接好电路后,闭合开关,电压表的示数如图乙所示,为______V.
(4)测得灯泡$L_1$两端电压后,再测得灯泡$L_2$两端电压和A、B两端电压,记录数据. 改变两个小灯泡的规格,重复以上操作,其目的是______.
(5)评估交流环节,有同学提出:实验中连接完电路,闭合开关,发现电压表指针反向偏转,原因是______.
答案:
(1)如图所示
(2)断开
(3)2.8
(4)多次测量,以得到普遍的规律
(5)电压表正、负接线柱接反
(1)如图所示
(2)断开
(3)2.8
(4)多次测量,以得到普遍的规律
(5)电压表正、负接线柱接反
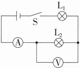
1. 如图所示,开关S闭合后$,L_1、$$L_2$两灯均正常发光. 过一会儿后,灯$L_2$的灯丝突然被烧断,接着将会看到的现象是(

A.电压表有示数
B.电流表有示数
C.电压表无示数
D.灯$L_1$仍然发光
A
)A.电压表有示数
B.电流表有示数
C.电压表无示数
D.灯$L_1$仍然发光
答案:
A
查看更多完整答案,请扫码查看