2025年阳光同学课时优化作业六年级数学下册人教版山东专版
注:目前有些书本章节名称可能整理的还不是很完善,但都是按照顺序排列的,请同学们按照顺序仔细查找。练习册 2025年阳光同学课时优化作业六年级数学下册人教版山东专版 答案主要是用来给同学们做完题方便对答案用的,请勿直接抄袭。
第71页
- 第1页
- 第2页
- 第3页
- 第4页
- 第5页
- 第6页
- 第7页
- 第8页
- 第9页
- 第10页
- 第11页
- 第12页
- 第13页
- 第14页
- 第15页
- 第16页
- 第17页
- 第18页
- 第19页
- 第20页
- 第21页
- 第22页
- 第23页
- 第24页
- 第25页
- 第26页
- 第27页
- 第28页
- 第29页
- 第30页
- 第31页
- 第32页
- 第33页
- 第34页
- 第35页
- 第36页
- 第37页
- 第38页
- 第39页
- 第40页
- 第41页
- 第42页
- 第43页
- 第44页
- 第45页
- 第46页
- 第47页
- 第48页
- 第49页
- 第50页
- 第51页
- 第52页
- 第53页
- 第54页
- 第55页
- 第56页
- 第57页
- 第58页
- 第59页
- 第60页
- 第61页
- 第62页
- 第63页
- 第64页
- 第65页
- 第66页
- 第67页
- 第68页
- 第69页
- 第70页
- 第71页
- 第72页
- 第73页
- 第74页
- 第75页
- 第76页
- 第77页
- 第78页
- 第79页
- 第80页
一、选择。
1.(济南市中真题)关于5.05描述正确的是( )。
A. 由5个一和5个0.1组成 B. 去掉十分位上的0,大小不变
C. 5.05m表示5m5cm D. 5.05 = 5$\frac{1}{2}$
1.(济南市中真题)关于5.05描述正确的是( )。
A. 由5个一和5个0.1组成 B. 去掉十分位上的0,大小不变
C. 5.05m表示5m5cm D. 5.05 = 5$\frac{1}{2}$
答案:
1.C
2. ☆和□分别表示一个数字,下列选项( )的结果可能在9和10之间。
A. 0.89÷0.1 B. 5.1×2.03 C. 8.☆1÷1.01 D. □.85÷0.9
A. 0.89÷0.1 B. 5.1×2.03 C. 8.☆1÷1.01 D. □.85÷0.9
答案:
2.D
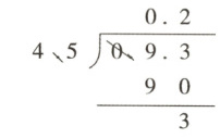
3. 右面竖式中的余数“3”表示( )。

A. 3 B. 0.3
C. 0.03 D. 0.003
A. 3 B. 0.3
C. 0.03 D. 0.003
答案:
3.C
4.(济南真题)甲、乙两根一样长的绳子,甲用去$\frac{1}{3}$,乙用去$\frac{1}{3}$m,两根绳子剩下的部分相比,( )。
A. 一样长 B. 乙长 C. 无法确定 D. 甲长
A. 一样长 B. 乙长 C. 无法确定 D. 甲长
答案:
4.C
5.(数形结合)从图( )中可得出公式(a + b)² = a² + 2ab + b²成立。

答案:
5.B
6.(临沂真题)如图,在笔算3.6×1.5的过程中,下面的四个知识点,用到了( )。

①转化的策略 ②小数的性质
③积的变化规律 ④乘法分配律
A. ①② B. ②③
C. ①②③ D. ①②③④
①转化的策略 ②小数的性质
③积的变化规律 ④乘法分配律
A. ①② B. ②③
C. ①②③ D. ①②③④
答案:
6.D
1. 最小的质数与它的倒数的和是( ),再加( )就是最小的合数。
答案:
二、1.2.5 1.5
2.(学科融合)“诗仙”李白写过一首诗:“危楼高百尺,手可摘星辰。不敢高声语,恐惊天上人。”如果唐代的一尺相当于现在的0.307m,那么诗中百尺相当于现在的( )m。
答案:
2.30.7
3.(生活应用)高铁票的定价规则:全程票价×$\frac{实际乘车里程}{总里程}$。

上图是某高铁从A站到G站及中途各停靠点的线路图,全程票价是600元。刑警发现一名嫌疑人从D站上车,票价200元,刑警推断该嫌疑人在( )站下车。
上图是某高铁从A站到G站及中途各停靠点的线路图,全程票价是600元。刑警发现一名嫌疑人从D站上车,票价200元,刑警推断该嫌疑人在( )站下车。
答案:
3.F
4. 一个空罐(如图)可盛9碗水或8杯水,如果将3碗水和4杯水倒入空罐中,水面应到达位置( )。

答案:
4.E
查看更多完整答案,请扫码查看