2025年桂壮红皮书暑假天地河北少年儿童出版社七年级数学
注:目前有些书本章节名称可能整理的还不是很完善,但都是按照顺序排列的,请同学们按照顺序仔细查找。练习册 2025年桂壮红皮书暑假天地河北少年儿童出版社七年级数学 答案主要是用来给同学们做完题方便对答案用的,请勿直接抄袭。
第24页
- 第1页
- 第2页
- 第3页
- 第4页
- 第5页
- 第6页
- 第7页
- 第8页
- 第9页
- 第10页
- 第11页
- 第12页
- 第13页
- 第14页
- 第15页
- 第16页
- 第17页
- 第18页
- 第19页
- 第20页
- 第21页
- 第22页
- 第23页
- 第24页
- 第25页
- 第26页
- 第27页
- 第28页
- 第29页
- 第30页
- 第31页
- 第32页
- 第33页
- 第34页
- 第35页
- 第36页
- 第37页
- 第38页
- 第39页
- 第40页
- 第41页
- 第42页
- 第43页
- 第44页
- 第45页
- 第46页
- 第47页
- 第48页
- 第49页
- 第50页
- 第51页
- 第52页
- 第53页
- 第54页
- 第55页
- 第56页
- 第57页
- 第58页
- 第59页
- 第60页
- 第61页
- 第62页
- 第63页
- 第64页
11. 已知点$P$的坐标为$(2 - a,3a + 6)$,且点$P$到两坐标轴的距离相等,则点$P$的坐标是 (
A. $(3,3)$
B. $(3,-3)$
C. $(6,-6)$
D. $(3,3)$或$(6,-6)$
D
)A. $(3,3)$
B. $(3,-3)$
C. $(6,-6)$
D. $(3,3)$或$(6,-6)$
答案:
D
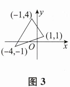
12. 将图3中的三角形向右平移2个单位长度,再向上平移3个单位长度,则平移后三个顶点的坐标分别是 (

A. $(2,2)$,$(3,4)$,$(1,7)$
B. $(2,2)$,$(4,3)$,$(1,7)$
C. $(-2,2)$,$(3,4)$,$(1,7)$
D. $(2,-2)$,$(4,3)$,$(1,7)$
C
)A. $(2,2)$,$(3,4)$,$(1,7)$
B. $(2,2)$,$(4,3)$,$(1,7)$
C. $(-2,2)$,$(3,4)$,$(1,7)$
D. $(2,-2)$,$(4,3)$,$(1,7)$
答案:
C
13. 如图4,在平面直角坐标系中,线段$AB$垂直于$y$轴,垂足为$B$,且$AB = 2$.如果延长线段$AB$,使$AB = BC$,那么点$C$的横坐标是

$-2$
.
答案:
$-2$
14. 在平面直角坐标系中,将点$A(-1,2)$向右平移3个单位长度得到点$B$,则点$B$的坐标是
$(2,2)$
.
答案:
$(2,2)$
15. 已知点$A(a,b)$在第二象限,且$|a| = 3$,$b^{2} = 16$,求点$A$的坐标.
$A(-3,4)$
答案:
$A(-3,4)$
16. 如图5,已知$A$,$B$两点的坐标分别为$(-3,5)$,$(3,5)$,求点$C$的坐标.

$(-1,7)$
答案:
$C(-1,7)$
17. 已知点$A(0,0)$,$B(3,0)$,点$C$在$y$轴上,且三角形$ABC$的面积是5,求点$C$的坐标.
答案:
$C(0,\frac{10}{3})$或$(0,-\frac{10}{3})$
18. 在平面直角坐标系中,已知点$A$的坐标为$(2 + a,-3a - 4)$.
(1)若点$A$在$y$轴上,求点$A$的坐标;
(2)若点$B$的坐标为$(8,5)$,且$AB// x$轴,求点$A$的坐标.
(1)若点$A$在$y$轴上,求点$A$的坐标;
(2)若点$B$的坐标为$(8,5)$,且$AB// x$轴,求点$A$的坐标.
答案:
(1)$A(0,2)$
(2)$A(-1,5)$
(1)$A(0,2)$
(2)$A(-1,5)$
查看更多完整答案,请扫码查看