1. (河源期末真题)画一画,再用算式表示结果。
(1)3 杯牛奶,平均每人喝$\frac{1}{2}$杯,够几人喝?
列式:____________________
(2)2 杯牛奶,平均每人喝$\frac{2}{3}$杯,够几人喝?
列式:____________________
答案:
(1)
$3\div\frac{1}{2}=6$(人)
(2)
$2\div\frac{2}{3}=3$(人)
(1)
$3\div\frac{1}{2}=6$(人)
(2)
$2\div\frac{2}{3}=3$(人)
2. 选择题。
(1)(惠州期末真题)一个数(不为 0)除以$\frac{1}{6}$后,这个数就( )。
A. 扩大到原来的 6 倍 B. 缩小到原来的$\frac{1}{6}$
C. 大小不变 D. 无法确定
答案:
(1)A
(1)A
(2)下面各题计算正确的是( )。
A. $10\div\frac{5}{9}=\frac{10\div5}{9}=\frac{2}{9}$
B. $\frac{5}{21}\div\frac{7}{5}=\frac{5}{21}\times\frac{7}{5}=\frac{1}{3}$
C. $\frac{7}{9}\div\frac{7}{3}=\frac{7}{9}\times\frac{3}{7}=\frac{1}{3}$
D. $\frac{8}{15}\div\frac{12}{5}=\frac{15}{8}\times\frac{5}{12}=\frac{25}{32}$
A. $10\div\frac{5}{9}=\frac{10\div5}{9}=\frac{2}{9}$
B. $\frac{5}{21}\div\frac{7}{5}=\frac{5}{21}\times\frac{7}{5}=\frac{1}{3}$
C. $\frac{7}{9}\div\frac{7}{3}=\frac{7}{9}\times\frac{3}{7}=\frac{1}{3}$
D. $\frac{8}{15}\div\frac{12}{5}=\frac{15}{8}\times\frac{5}{12}=\frac{25}{32}$
答案:
(2)C
(2)C
3. 计算题。
$7\div\frac{2}{7}=$ $20\div\frac{5}{6}=$
$28\div\frac{14}{15}=$ $\frac{9}{10}\div\frac{1}{5}=$
$\frac{3}{4}\div\frac{4}{3}=$ $\frac{11}{24}\div\frac{22}{9}=$
答案:
$\frac{49}{2}$ 24 30 $\frac{9}{2}$ $\frac{9}{16}$ $\frac{3}{16}$
4. (河源期末真题)一列火车每时行驶 84 千米,相当于飞机速度的$\frac{1}{10}$,飞机每时飞行多少千米?
答案:
$84\div\frac{1}{10}=840$(千米)
答:飞机每时飞行840千米。
答:飞机每时飞行840千米。
5. 小虎$\frac{7}{8}$分步行$\frac{1}{16}$km,他每分步行多少千米?步行 1 km 需要多少分?
答案:
$\frac{1}{16}\div\frac{7}{8}=\frac{1}{14}(km)$ $1\div\frac{1}{14}=14$(分)
答:他每分步行$\frac{1}{14}$km;步行1 km需要14分。
答:他每分步行$\frac{1}{14}$km;步行1 km需要14分。
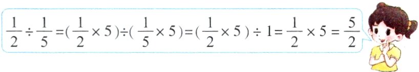
6. 如图是小丽计算$\frac{1}{2}\div\frac{1}{5}$的方法。你认为她的算法正确吗? 请说明理由。
$\frac{1}{2}\div\frac{1}{5}=(\frac{1}{2}\times5)\div(\frac{1}{5}\times5)=(\frac{1}{2}\times5)\div1=\frac{1}{2}\times5=\frac{5}{2}$
答案:
小丽的算法正确,理由如下:
$\frac{1}{2}\div\frac{1}{5}$
$=(\frac{1}{2}\times5)\div(\frac{1}{5}\times5)$(商不变的规律)
$=(\frac{1}{2}\times5)\div1$
$=\frac{1}{2}\times5$(任何数除以1都得它本身)
$=\frac{5}{2}$
解析:本题考查了分数除法的计算方法,观察小丽的算式,她运用了商不变的规律进行计算,是正确的。
$\frac{1}{2}\div\frac{1}{5}$
$=(\frac{1}{2}\times5)\div(\frac{1}{5}\times5)$(商不变的规律)
$=(\frac{1}{2}\times5)\div1$
$=\frac{1}{2}\times5$(任何数除以1都得它本身)
$=\frac{5}{2}$
解析:本题考查了分数除法的计算方法,观察小丽的算式,她运用了商不变的规律进行计算,是正确的。
查看更多完整答案,请扫码查看