2025年天星教育28天预习新高一物理
注:目前有些书本章节名称可能整理的还不是很完善,但都是按照顺序排列的,请同学们按照顺序仔细查找。练习册 2025年天星教育28天预习新高一物理 答案主要是用来给同学们做完题方便对答案用的,请勿直接抄袭。
第57页
- 第1页
- 第2页
- 第3页
- 第4页
- 第5页
- 第6页
- 第7页
- 第8页
- 第9页
- 第10页
- 第11页
- 第12页
- 第13页
- 第14页
- 第15页
- 第16页
- 第17页
- 第18页
- 第19页
- 第20页
- 第21页
- 第22页
- 第23页
- 第24页
- 第25页
- 第26页
- 第27页
- 第28页
- 第29页
- 第30页
- 第31页
- 第32页
- 第33页
- 第34页
- 第35页
- 第36页
- 第37页
- 第38页
- 第39页
- 第40页
- 第41页
- 第42页
- 第43页
- 第44页
- 第45页
- 第46页
- 第47页
- 第48页
- 第49页
- 第50页
- 第51页
- 第52页
- 第53页
- 第54页
- 第55页
- 第56页
- 第57页
- 第58页
- 第59页
- 第60页
- 第61页
- 第62页
- 第63页
- 第64页
- 第65页
- 第66页
- 第67页
- 第68页
- 第69页
- 第70页
- 第71页
- 第72页
- 第73页
- 第74页
- 第75页
- 第76页
- 第77页
- 第78页
- 第79页
- 第80页
- 第81页
- 第82页
- 第83页
- 第84页
- 第85页
- 第86页
- 第87页
- 第88页
- 第89页
- 第90页
- 第91页
- 第92页
- 第93页
- 第94页
- 第95页
- 第96页
- 第97页
- 第98页
- 第99页
- 第100页
- 第101页
- 第102页
- 第103页
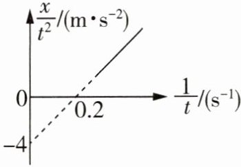
2.创新图像2024年6月19日,“萝卜快跑”在武汉推出无人驾驶叫车业务,面向市民提供自动驾驶出行服务。在某次无人驾驶测试中,无人驾驶汽车在水平路面上刹车时其$\frac{x}{t^2}-\frac{1}{t}$图像如图所示。以下说法正确的是(

A.汽车的初速度大小为$4 m/s$
B.汽车的刹车时间为$5 s$
C.汽车刹车时的加速度大小为$8 m/s^2$
D.汽车的刹车距离为$20 m$
C
)A.汽车的初速度大小为$4 m/s$
B.汽车的刹车时间为$5 s$
C.汽车刹车时的加速度大小为$8 m/s^2$
D.汽车的刹车距离为$20 m$
答案:
2.C 由匀变速直线运动的位移公式$x = v_{0}t+\frac{1}{2}at^{2}$,等式两边同时除以$t^{2}$得$\frac{x}{t^{2}}=\frac{v_{0}}{t}+\frac{1}{2}a$,$v_{0}$为图像斜率,$\frac{1}{2}a$为纵轴截距,
[点关键]结合运动学公式,将图像的表达式写出来,并弄清各量的物理意义是解题的关键。
结合图像可得$v_{0}=20m/s$,$a = -8m/s^{2}$,故A错误、C正确;根据$v = v_{0}+at$,可得减速时间$t = 2.5s$中,故B错误;根据$v^{2}-v_{0}^{2}=2ax$,可得汽车的刹车距离$x = 25m$,D错误。
[点关键]结合运动学公式,将图像的表达式写出来,并弄清各量的物理意义是解题的关键。
结合图像可得$v_{0}=20m/s$,$a = -8m/s^{2}$,故A错误、C正确;根据$v = v_{0}+at$,可得减速时间$t = 2.5s$中,故B错误;根据$v^{2}-v_{0}^{2}=2ax$,可得汽车的刹车距离$x = 25m$,D错误。
1.A、B两车在平直公路上同时从同一地点出发,其v-t图像如图所示,则( )

A.在$t = 2 s$时,两车速度相等
B.在$t = 2 s$时,A车追上B车
C.两车都由静止出发
D.前$2 s$,A车行驶了$40 m$
A.在$t = 2 s$时,两车速度相等
B.在$t = 2 s$时,A车追上B车
C.两车都由静止出发
D.前$2 s$,A车行驶了$40 m$
答案:
1.A
.图示解析
1.A
.图示解析
2.在$t = 0$的时刻,从地面附近的空中某点静止释放一小球,它向下做匀加速直线运动,与地面碰撞后以原速率反弹,向上做匀减速直线运动到达最初的出发点,小球始终在竖直方向上运动,取竖直向上为正方向,则小球的速度v随时间t变化的关系可表示为图中的(
C
)
答案:
2.C 取竖直向上为正方向,小球先向下做初速度为零的匀加速直线运动,第一次碰撞前速度方向与规定的正方向相反,所以速度是负值tory,与地面发生碰撞后,反弹速度与落地
[避陷阱]若忽略“取竖直向上为正方向”,可能误选初始速度为正的D选项。
速度大小相等,方向相反,速度为正,向上做匀减速直线运动直到速度为$0$,然后重复上面的过程,故C正确。
[避陷阱]若忽略“取竖直向上为正方向”,可能误选初始速度为正的D选项。
速度大小相等,方向相反,速度为正,向上做匀减速直线运动直到速度为$0$,然后重复上面的过程,故C正确。
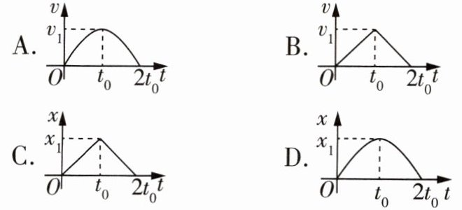
3.创新考查(2025·山东省实验中学期末)一物体从原点由静止开始沿x轴正方向做直线运动,运动过程中加速度a随时间t变化的规律如图所示,下列物体的速度v、位移x随时间t变化的图像可能正确的是(


B
)
答案:
3.B 由$a - t$图像结合题意可知,$0\sim t_{0}$时间内加速度大小恒定且为正值,可知物体做初速度为零的匀加速直线运动;$t_{0}\sim2t_{0}$时间内加速度恒定为负值,则物体做匀减速直线运动,故A错误,B正确。$x - t$图像的斜率表示速度,C项中物体先做正向匀速直线运动,再做反向匀速运动,故C错误。D项中物体先做正向减速直线运动,再做反向加速直线运动,
[拓思维]$x - t$图像中,匀变速直线运动的图线是一条抛物线。故D错误。
[敲黑板]A项中物体先做加速度减小的加速运动,再做加速度增大的减速运动,B项中物体先做匀加速直线运动后做匀减速直线运动。
[拓思维]$x - t$图像中,匀变速直线运动的图线是一条抛物线。故D错误。
[敲黑板]A项中物体先做加速度减小的加速运动,再做加速度增大的减速运动,B项中物体先做匀加速直线运动后做匀减速直线运动。
4.(多选)如图所示,OP是某质点做直线运动的位移—时间图像,OP为开口向下抛物线的一部分,P为图像上一点。已知PQ为过P点的切线,与纵轴交于$x = 16 m$的Q点。下列说法正确的是( )

A.质点的初速度大小为$10 m/s$
B.$4 s末的速度大小为1 m/s$
C.质点的加速度大小为$2 m/s^2$
D.$0 ~ 4 s$内,质点做匀加速直线运动
A.质点的初速度大小为$10 m/s$
B.$4 s末的速度大小为1 m/s$
C.质点的加速度大小为$2 m/s^2$
D.$0 ~ 4 s$内,质点做匀加速直线运动
答案:
4.BC
.图示解析
根据题意,由位移—时间公式$x = v_{0}t+\frac{1}{2}at^{2}$,有$20m = 4v_{0}+8a$(均为国际单位制单位),由公式$v = v_{0}+at$,有$1m/s = v_{0}+4a$(均为国际单位制单位),联立解得$v_{0}=9m/s$,$a = -2m/s^{2}$,A错误,C正确。
4.BC
.图示解析
根据题意,由位移—时间公式$x = v_{0}t+\frac{1}{2}at^{2}$,有$20m = 4v_{0}+8a$(均为国际单位制单位),由公式$v = v_{0}+at$,有$1m/s = v_{0}+4a$(均为国际单位制单位),联立解得$v_{0}=9m/s$,$a = -2m/s^{2}$,A错误,C正确。
查看更多完整答案,请扫码查看