2025年天星教育28天预习新高一物理
注:目前有些书本章节名称可能整理的还不是很完善,但都是按照顺序排列的,请同学们按照顺序仔细查找。练习册 2025年天星教育28天预习新高一物理 答案主要是用来给同学们做完题方便对答案用的,请勿直接抄袭。
第56页
- 第1页
- 第2页
- 第3页
- 第4页
- 第5页
- 第6页
- 第7页
- 第8页
- 第9页
- 第10页
- 第11页
- 第12页
- 第13页
- 第14页
- 第15页
- 第16页
- 第17页
- 第18页
- 第19页
- 第20页
- 第21页
- 第22页
- 第23页
- 第24页
- 第25页
- 第26页
- 第27页
- 第28页
- 第29页
- 第30页
- 第31页
- 第32页
- 第33页
- 第34页
- 第35页
- 第36页
- 第37页
- 第38页
- 第39页
- 第40页
- 第41页
- 第42页
- 第43页
- 第44页
- 第45页
- 第46页
- 第47页
- 第48页
- 第49页
- 第50页
- 第51页
- 第52页
- 第53页
- 第54页
- 第55页
- 第56页
- 第57页
- 第58页
- 第59页
- 第60页
- 第61页
- 第62页
- 第63页
- 第64页
- 第65页
- 第66页
- 第67页
- 第68页
- 第69页
- 第70页
- 第71页
- 第72页
- 第73页
- 第74页
- 第75页
- 第76页
- 第77页
- 第78页
- 第79页
- 第80页
- 第81页
- 第82页
- 第83页
- 第84页
- 第85页
- 第86页
- 第87页
- 第88页
- 第89页
- 第90页
- 第91页
- 第92页
- 第93页
- 第94页
- 第95页
- 第96页
- 第97页
- 第98页
- 第99页
- 第100页
- 第101页
- 第102页
- 第103页
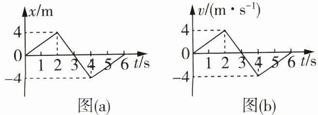
1.$t = 0$时刻,甲、乙两物体从同一地点沿同一直线运动,甲的x-t图像和乙的v-t图像分别如图(a)、(b)所示,下列说法正确的是(

A.第$3 s$内,甲、乙两物体的速度方向相同
B.$2 s$末,物体乙在甲的前面
C.从第$2 s初到第3 s$末,甲的位移为$0 m$
D.$0到6 s$内,甲与出发点间最大距离为$4 m$,乙与出发点间最大距离为$6 m$
D
)A.第$3 s$内,甲、乙两物体的速度方向相同
B.$2 s$末,物体乙在甲的前面
C.从第$2 s初到第3 s$末,甲的位移为$0 m$
D.$0到6 s$内,甲与出发点间最大距离为$4 m$,乙与出发点间最大距离为$6 m$
答案:
1.D 第$3s$内,甲、乙两物体的速度方向相同,A错误;$2s$末,甲、乙位移分别为$x_{1}=4m$,$x_{2}=\frac{1}{2}×2×4m = 4m$,两物体相遇,B错误;从第$2s$初到第$3s$末,甲的位移为$x_{3}=0 - 2m = -2m$,C错误;$0\sim6s$
[避易错]第$2s$初就是第$1s$末,此时位移为$2m$,第$3s$末位移是$0$。
内,$2s$末,甲与出发点间距离最大,最大距离为$x_{4}=4m$,$3s$末,乙与出发点间最大距离为$x_{5}=\frac{1}{2}×3×4m = 6m$,D正确。
[点关键]$v - t$图线和坐标轴围成的图形的面积表示位移,$3s$末乙的位移最大,速度为$0$。
[避易错]第$2s$初就是第$1s$末,此时位移为$2m$,第$3s$末位移是$0$。
内,$2s$末,甲与出发点间距离最大,最大距离为$x_{4}=4m$,$3s$末,乙与出发点间最大距离为$x_{5}=\frac{1}{2}×3×4m = 6m$,D正确。
[点关键]$v - t$图线和坐标轴围成的图形的面积表示位移,$3s$末乙的位移最大,速度为$0$。
典例2创新图像利用图像法研究物理量之间的关系是一种常用的物理研究方法。某物体做直线运动的$\frac{x}{t}-t$图像如图所示,根据图像信息判断,下列说法正确的是( )

A.物体在$0 ~ 2 s内的位移为8 m$
B.物体做匀变速直线运动且加速度大小为$1 m/s^2$
C.物体在第$2 s内的平均速度大小为5 m/s$
D.物体在第$2 s末的速度大小为7 m/s$
D
A.物体在$0 ~ 2 s内的位移为8 m$
B.物体做匀变速直线运动且加速度大小为$1 m/s^2$
C.物体在第$2 s内的平均速度大小为5 m/s$
D.物体在第$2 s末的速度大小为7 m/s$
答案:
【解析】:
本题主要考查$\frac{x}{t}-t$图像的理解和应用,以及匀变速直线运动的基本公式和推论。
选项A,需要计算物体在$0\sim2s$内的位移。根据图像,物体在$0\sim2s$内的平均速度为$5m/s$,因此位移$x = \text{平均速度} × \text{时间} = 5 × 2 = 10m$,所以A选项错误。
选项B,判断物体是否做匀变速直线运动,并求出加速度大小。由位移-时间公式$x = v_0t + \frac{1}{2}at^2$,可以得到$\frac{x}{t} = v_0 + \frac{1}{2}at$。将图像中的数据代入,可以求出初速度$v_0 = 3m/s$,以及斜率$\frac{1}{2}a = \frac{5 - 3}{2} = 1m/s^2$,从而得到加速度$a = 2m/s^2$。因此,物体做的是匀变速直线运动,但加速度大小为$2m/s^2$,所以B选项错误。
选项C,求物体在第$2s$内的平均速度大小。由于物体做匀加速直线运动,第$2s$内的平均速度不等于整个$0\sim2s$内的平均速度。可以根据匀变速直线运动的推论,即某段时间内的平均速度等于该段时间中间时刻的瞬时速度,来求解。但更直接的方法是,由于物体做匀加速直线运动,且加速度为正,所以物体在第$2s$内的位移一定大于第$1s$内的位移,因此第$2s$内的平均速度一定大于$5m/s$且小于第$2s$末的瞬时速度,所以C选项错误。
选项D,求物体在第$2s$末的速度大小。根据速度-时间公式$v = v_0 + at$,代入初速度$v_0 = 3m/s$,加速度$a = 2m/s^2$,和时间$t = 2s$,可以得到$v = 3 + 2 × 2 = 7m/s$,所以D选项正确。
【答案】:D。
本题主要考查$\frac{x}{t}-t$图像的理解和应用,以及匀变速直线运动的基本公式和推论。
选项A,需要计算物体在$0\sim2s$内的位移。根据图像,物体在$0\sim2s$内的平均速度为$5m/s$,因此位移$x = \text{平均速度} × \text{时间} = 5 × 2 = 10m$,所以A选项错误。
选项B,判断物体是否做匀变速直线运动,并求出加速度大小。由位移-时间公式$x = v_0t + \frac{1}{2}at^2$,可以得到$\frac{x}{t} = v_0 + \frac{1}{2}at$。将图像中的数据代入,可以求出初速度$v_0 = 3m/s$,以及斜率$\frac{1}{2}a = \frac{5 - 3}{2} = 1m/s^2$,从而得到加速度$a = 2m/s^2$。因此,物体做的是匀变速直线运动,但加速度大小为$2m/s^2$,所以B选项错误。
选项C,求物体在第$2s$内的平均速度大小。由于物体做匀加速直线运动,第$2s$内的平均速度不等于整个$0\sim2s$内的平均速度。可以根据匀变速直线运动的推论,即某段时间内的平均速度等于该段时间中间时刻的瞬时速度,来求解。但更直接的方法是,由于物体做匀加速直线运动,且加速度为正,所以物体在第$2s$内的位移一定大于第$1s$内的位移,因此第$2s$内的平均速度一定大于$5m/s$且小于第$2s$末的瞬时速度,所以C选项错误。
选项D,求物体在第$2s$末的速度大小。根据速度-时间公式$v = v_0 + at$,代入初速度$v_0 = 3m/s$,加速度$a = 2m/s^2$,和时间$t = 2s$,可以得到$v = 3 + 2 × 2 = 7m/s$,所以D选项正确。
【答案】:D。
查看更多完整答案,请扫码查看