第59页
- 第1页
- 第2页
- 第3页
- 第4页
- 第5页
- 第6页
- 第7页
- 第8页
- 第9页
- 第10页
- 第11页
- 第12页
- 第13页
- 第14页
- 第15页
- 第16页
- 第17页
- 第18页
- 第19页
- 第20页
- 第21页
- 第22页
- 第23页
- 第24页
- 第25页
- 第26页
- 第27页
- 第28页
- 第29页
- 第30页
- 第31页
- 第32页
- 第33页
- 第34页
- 第35页
- 第36页
- 第37页
- 第38页
- 第39页
- 第40页
- 第41页
- 第42页
- 第43页
- 第44页
- 第45页
- 第46页
- 第47页
- 第48页
- 第49页
- 第50页
- 第51页
- 第52页
- 第53页
- 第54页
- 第55页
- 第56页
- 第57页
- 第58页
- 第59页
- 第60页
- 第61页
- 第62页
- 第63页
- 第64页
- 第65页
- 第66页
- 第67页
- 第68页
- 第69页
- 第70页
- 第71页
- 第72页
1. 如果$x<y$,那么下列不等式正确的是 ()
A. $2x<2y$
B. $-2x<-2y$
C. $x-1>y-1$
D. $x+1>y+1$
A. $2x<2y$
B. $-2x<-2y$
C. $x-1>y-1$
D. $x+1>y+1$
答案:
A
2. 已知点$P(2x+6,x-4)$在第四象限,则实数$x$的取值范围在数轴上表示正确的为 ()

答案:
C
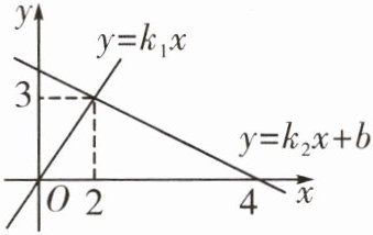
3. 根据图象,可得关于$x的不等式k_{2}x+b>k_{1}x$的解集是 ()

A. $x<2$
B. $x>2$
C. $x>3$
D. $x<4$
A. $x<2$
B. $x>2$
C. $x>3$
D. $x<4$
答案:
A
4. 小王准备用60元买手抓饼和冰激凌,已知一张手抓饼5元,一个冰激凌8元,他购买了5张手抓饼,则他最多还能买______个冰激凌.
答案:
4
5. 已知关于$x的不等式组\left\{\begin{array}{l} 3x-m>0\\ x-1≤5\end{array}\right. $有四个整数解,则$m$的取值范围是______.
答案:
解:由$3x - m > 0$得:$x > \frac{m}{3}$,
由$x - 1 \leq 5$得:$x \leq 6$,
∵不等式组$\begin{cases}3x - m > 0 \\ x - 1 \leq 5\end{cases}$有四个整数解,
∴不等式组的整数解为6、5、4、3,
则$2 \leq \frac{m}{3} < 3$,
解得$6 \leq m < 9$,
故答案为:$6 \leq m < 9$。
由$x - 1 \leq 5$得:$x \leq 6$,
∵不等式组$\begin{cases}3x - m > 0 \\ x - 1 \leq 5\end{cases}$有四个整数解,
∴不等式组的整数解为6、5、4、3,
则$2 \leq \frac{m}{3} < 3$,
解得$6 \leq m < 9$,
故答案为:$6 \leq m < 9$。
6. 解答下列问题:
(1)解不等式$2x-3<\frac {x+1}{3}$,并把解集在数轴上表示出来;
(2)解不等式组$\left\{\begin{array}{l} 5x+2>3(x-1)\\ x-1≤7-3x\end{array}\right. $,并写出所有非负整数解.
(1)解不等式$2x-3<\frac {x+1}{3}$,并把解集在数轴上表示出来;
(2)解不等式组$\left\{\begin{array}{l} 5x+2>3(x-1)\\ x-1≤7-3x\end{array}\right. $,并写出所有非负整数解.
答案:
解:
(1)$2x - 3 < \frac{x + 1}{3}$,
去分母得:$3(2x - 3) < x + 1$,
去括号得,$6x - 9 < x + 1$,
移项得,$6x - x < 1 + 9$,
合并同类项得,$5x < 10$,
把$x$的系数化为1得,$x < 2$。
在数轴上表示为:
(2)$\begin{cases}5x + 2 > 3(x - 1) ① \\ x - 1 \leq 7 - 3x ②\end{cases}$,
由①得,$x > -2.5$,
由②得,$x \leq 2$。
故不等式组的解集为:$-2.5 < x \leq 2$。
在数轴上表示为:
它的非负整数解有0,1,2。
解:
(1)$2x - 3 < \frac{x + 1}{3}$,
去分母得:$3(2x - 3) < x + 1$,
去括号得,$6x - 9 < x + 1$,
移项得,$6x - x < 1 + 9$,
合并同类项得,$5x < 10$,
把$x$的系数化为1得,$x < 2$。
在数轴上表示为:
(2)$\begin{cases}5x + 2 > 3(x - 1) ① \\ x - 1 \leq 7 - 3x ②\end{cases}$,
由①得,$x > -2.5$,
由②得,$x \leq 2$。
故不等式组的解集为:$-2.5 < x \leq 2$。
在数轴上表示为:
它的非负整数解有0,1,2。
查看更多完整答案,请扫码查看