第59页
- 第1页
- 第2页
- 第3页
- 第4页
- 第5页
- 第6页
- 第7页
- 第8页
- 第9页
- 第10页
- 第11页
- 第12页
- 第13页
- 第14页
- 第15页
- 第16页
- 第17页
- 第18页
- 第19页
- 第20页
- 第21页
- 第22页
- 第23页
- 第24页
- 第25页
- 第26页
- 第27页
- 第28页
- 第29页
- 第30页
- 第31页
- 第32页
- 第33页
- 第34页
- 第35页
- 第36页
- 第37页
- 第38页
- 第39页
- 第40页
- 第41页
- 第42页
- 第43页
- 第44页
- 第45页
- 第46页
- 第47页
- 第48页
- 第49页
- 第50页
- 第51页
- 第52页
- 第53页
- 第54页
- 第55页
- 第56页
- 第57页
- 第58页
- 第59页
- 第60页
- 第61页
- 第62页
- 第63页
- 第64页
- 第65页
- 第66页
- 第67页
- 第68页
- 第69页
- 第70页
- 第71页
- 第72页
- 第73页
- 第74页
- 第75页
- 第76页
- 第77页
- 第78页
- 第79页
- 第80页
- 第81页
- 第82页
- 第83页
- 第84页
- 第85页
- 第86页
- 第87页
- 第88页
- 第89页
- 第90页
- 第91页
- 第92页
- 第93页
- 第94页
- 第95页
- 第96页
- 第97页
- 第98页
- 第99页
- 第100页
- 第101页
- 第102页
- 第103页
- 第104页
- 第105页
- 第106页
- 第107页
- 第108页
- 第109页
- 第110页
- 第111页
- 第112页
- 第113页
- 第114页
- 第115页
- 第116页
- 第117页
- 第118页
- 第119页
- 第120页
- 第121页
- 第122页
- 第123页
- 第124页
- 第125页
- 第126页
- 第127页
- 第128页
- 第129页
- 第130页
- 第131页
- 第132页
- 第133页
- 第134页
- 第135页
- 第136页
【变式】某同学在做“探究小车速度随时间变化的规律”实验时,由打点计时器得到表示小车运动过程的一条清晰纸带并用一把毫米刻度尺测量了各点到A点的距离,如图所示,图中四个数据中不符合正确读数要求的是____

5.4
____(填对应的数值)。若纸带上两相邻计数点间均有4个点未画出,已知打点计时器所用电源的频率为50 Hz,则B点对应的小车速度$v_{B}= $____0.17
____m/s,小车运动的加速度大小$a= $____0.20
____$m/s^{2}$。(后两空均保留两位有效数字)
答案:
[答案]5.4 0.17 0.20
[解析]毫米刻度尺测量结果应准确到1mm,估读到0.1mm,所以不符合正确读数要求的数据是5.4。两相邻计数点间均有4个点未画出,相邻计数点间的时间间隔T = 0.1s,B点对应的小车速度vB = $\frac{x_{AC}}{2T}$≈0.17m/s,同理可求出D点对应的小车速度vD = $\frac{x_{AE}-x_{AC}}{2T}$≈0.21m/s,由加速度定义式a = $\frac{\Delta v}{\Delta t}$得a = $\frac{v_D - v_B}{2T}$,联立可得a = 0.20m/s²。
[方法总结]有效数字位数指从左边第一个非0数字到最后一个“含0”数字总共的数字个数。如0.32、0.032都是两位有效数字,而0.320、3.20都是3位有效数字。需要注意的是,“10000”这个结果要求保留两位有效数字就写成“1.0×10⁴”,保留三位有效数字就写成“1.00×10⁴”。
[解析]毫米刻度尺测量结果应准确到1mm,估读到0.1mm,所以不符合正确读数要求的数据是5.4。两相邻计数点间均有4个点未画出,相邻计数点间的时间间隔T = 0.1s,B点对应的小车速度vB = $\frac{x_{AC}}{2T}$≈0.17m/s,同理可求出D点对应的小车速度vD = $\frac{x_{AE}-x_{AC}}{2T}$≈0.21m/s,由加速度定义式a = $\frac{\Delta v}{\Delta t}$得a = $\frac{v_D - v_B}{2T}$,联立可得a = 0.20m/s²。
[方法总结]有效数字位数指从左边第一个非0数字到最后一个“含0”数字总共的数字个数。如0.32、0.032都是两位有效数字,而0.320、3.20都是3位有效数字。需要注意的是,“10000”这个结果要求保留两位有效数字就写成“1.0×10⁴”,保留三位有效数字就写成“1.00×10⁴”。
1. 一条打点计时器正常工作时打出的纸带如图所示,其中A、B、C、D、E为计时器连续打出的五个点,且打点计时器每两个相邻点间时间间隔为T。为求得计时器打点C时纸带的速度,则下列算式中最合理的是 (

A. $\frac {Δx_{1}}{T}$
B. $\frac {Δx_{2}+Δx_{3}}{2T}$
C. $\frac {Δx_{3}+Δx_{4}}{2T}$
D. $\frac {Δx_{1}+Δx_{2}+Δx_{3}}{3T}$
B
)A. $\frac {Δx_{1}}{T}$
B. $\frac {Δx_{2}+Δx_{3}}{2T}$
C. $\frac {Δx_{3}+Δx_{4}}{2T}$
D. $\frac {Δx_{1}+Δx_{2}+Δx_{3}}{3T}$
答案:
B 利用一小段时间内的平均速度代替这段时间内中间时刻的瞬时速度,故为求打点C时纸带的速度,可以在点C两侧各取一点,使这两点间所对应的时间间隔尽量最短,由题图可知,所取的两点应为点B和D,即点B、D之间的平均速度vBD = $\frac{\Delta x_2 + \Delta x_3}{2T}$就是点C的瞬时速度,故B正确,A、C、D错误。
2. 在“测量小车做匀变速直线运动的加速度”的实验中,得到的记录纸带如图所示,图中的点为计数点,在相邻的两个计数点间还有4个点没有画出,则小车运动的加速度为 (

A. $0.2m/s^{2}$
B. $2.0m/s^{2}$
C. $20.0m/s^{2}$
D. $200.0m/s^{2}$
B
)A. $0.2m/s^{2}$
B. $2.0m/s^{2}$
C. $20.0m/s^{2}$
D. $200.0m/s^{2}$
答案:
B 在相邻的两个计数点之间还有4个点未画出,所以相邻计数点间的时间间隔T = 0.1s,加速度a = $\frac{x_{CD}-x_{AB}}{2T^2}$,代入数据得a = 2.0m/s²,故B正确。
3. 在研究匀变速直线运动的实验中,算出小车经过各计数点的瞬时速度见表格,为了算出加速度,最合理的方法是 (

A. 根据任意两个计数点的速度,用公式$a= \frac {Δv}{Δt}$算出加速度
B. 根据实验数据画出v-t图像,量出图线倾角,用公式$a= tanα$算出加速度
C. 根据实验数据画出v-t图像,由图线上任意两点所对应的速度及时间,用公式$a= \frac {Δv}{Δt}$算出加速度
D. 依次算出通过连续两个计数点间的加速度,求平均值作为小车的加速度
C
)A. 根据任意两个计数点的速度,用公式$a= \frac {Δv}{Δt}$算出加速度
B. 根据实验数据画出v-t图像,量出图线倾角,用公式$a= tanα$算出加速度
C. 根据实验数据画出v-t图像,由图线上任意两点所对应的速度及时间,用公式$a= \frac {Δv}{Δt}$算出加速度
D. 依次算出通过连续两个计数点间的加速度,求平均值作为小车的加速度
答案:
C 在处理实验数据时,如果只使用其中两个数据,由于偶然误差的存在可能会使误差较大,所以我们可以根据实验数据画出v - t图像,连线时,应该尽量使那些不能画在线上的点均匀地分布在线的两侧,舍弃误差较大的点,由图线上任意两点所对应的速度及时间,用公式a = $\frac{\Delta v}{\Delta t}$算出加速度,误差较小,故A错误,C正确;根据实验数据画出v - t图像,当纵坐标取不同的标度时,图线的倾角就会不同,所以量出其倾角,用公式a = tanα算出的数值并不是加速度,故B错误;依次算出通过连续两个计数点间的加速度,求平均值作为小车的加速度,这种计算方法误差较大,不是最合理的方法,故D错误。
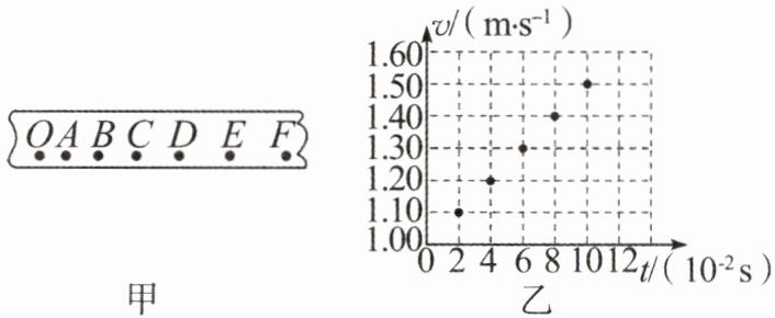
4. 某同学在做“探究小车速度随时间变化的规律”的实验时,打点计时器所用电源的频率是50 Hz,在实验中得到一条点迹清晰的纸带,他把某一点记作O,再依次选6个点作为计数点,分别标以A、B、C、D、E和F,如图甲所示。

(1)如果测得C、D两点相距2.70 cm,D、E两点相距2.90 cm,则在打D点时小车的速度是____m/s。
(2)该同学分别算出打各点时小车的速度,然后根据数据在v-t坐标系中已描好点,请在图乙中作出小车的v-t图像,并求出小车的加速度$a= $____$m/s^{2}$。
(1)如果测得C、D两点相距2.70 cm,D、E两点相距2.90 cm,则在打D点时小车的速度是____m/s。
(2)该同学分别算出打各点时小车的速度,然后根据数据在v-t坐标系中已描好点,请在图乙中作出小车的v-t图像,并求出小车的加速度$a= $____$m/s^{2}$。
答案:
[答案]
(1)1.40
(2)见解析图 5.00
[解析]
(1)vD = $\frac{x_{CD}+x_{DE}}{2T}$ = $\frac{0.0270m + 0.0290m}{0.04s}$ = 1.40m/s。
(2)小车的v - t图像如图所示,a = $\frac{\Delta v}{\Delta t}$ = 5.00m/s²。
[答案]
(1)1.40
(2)见解析图 5.00
[解析]
(1)vD = $\frac{x_{CD}+x_{DE}}{2T}$ = $\frac{0.0270m + 0.0290m}{0.04s}$ = 1.40m/s。
(2)小车的v - t图像如图所示,a = $\frac{\Delta v}{\Delta t}$ = 5.00m/s²。
查看更多完整答案,请扫码查看