2025年小学毕业系统总复习合肥工业大学出版社六年级数学全一册通用版
注:目前有些书本章节名称可能整理的还不是很完善,但都是按照顺序排列的,请同学们按照顺序仔细查找。练习册 2025年小学毕业系统总复习合肥工业大学出版社六年级数学全一册通用版 答案主要是用来给同学们做完题方便对答案用的,请勿直接抄袭。
第32页
- 第1页
- 第2页
- 第3页
- 第4页
- 第5页
- 第6页
- 第7页
- 第8页
- 第9页
- 第10页
- 第11页
- 第12页
- 第13页
- 第14页
- 第15页
- 第16页
- 第17页
- 第18页
- 第19页
- 第20页
- 第21页
- 第22页
- 第23页
- 第24页
- 第25页
- 第26页
- 第27页
- 第28页
- 第29页
- 第30页
- 第31页
- 第32页
- 第33页
- 第34页
- 第35页
- 第36页
- 第37页
- 第38页
- 第39页
- 第40页
- 第41页
- 第42页
- 第43页
- 第44页
- 第45页
- 第46页
- 第47页
- 第48页
- 第49页
- 第50页
- 第51页
- 第52页
- 第53页
- 第54页
- 第55页
- 第56页
- 第57页
- 第58页
- 第59页
- 第60页
- 第61页
- 第62页
- 第63页
- 第64页
- 第65页
- 第66页
- 第67页
- 第68页
- 第69页
- 第70页
- 第71页
- 第72页
- 第73页
- 第74页
- 第75页
- 第76页
- 第77页
- 第78页
- 第79页
- 第80页
- 第81页
- 第82页
- 第83页
- 第84页
- 第85页
- 第86页
- 第87页
- 第88页
- 第89页
- 第90页
- 第91页
- 第92页
- 第93页
- 第94页
- 第95页
- 第96页
- 第97页
- 第98页
- 第99页
- 第100页
- 第101页
- 第102页
- 第103页
- 第104页
- 第105页
- 第106页
- 第107页
- 第108页
- 第109页
- 第110页
- 第111页
- 第112页
例3 和、差、积、商的变化规律 巧算下面各题。
(1)$1548 + 397$ (2)$4800×125$ (3)$8800÷25$
【思路点拨】 此题主要考查和、差、积、商的变化规律。(1)$397$接近$400$,根据和不变的规律可使计算简便;(2)根据积不变的规律,$125×8 = 1000$,$4800÷8 = 600$或把$4800$分解成$600×8$,都可使计算简便;(3)用商不变的规律,用$4$同时去除被除数和除数,或把$8800$分解成$88×100$后,运用除法的性质进行简算。
(1)$1548 + 397$ (2)$4800×125$ (3)$8800÷25$
【思路点拨】 此题主要考查和、差、积、商的变化规律。(1)$397$接近$400$,根据和不变的规律可使计算简便;(2)根据积不变的规律,$125×8 = 1000$,$4800÷8 = 600$或把$4800$分解成$600×8$,都可使计算简便;(3)用商不变的规律,用$4$同时去除被除数和除数,或把$8800$分解成$88×100$后,运用除法的性质进行简算。
答案:
【答案】
(1)原式=1548+400-3=1948一3
-1945
5(2)原式=(4800+8)×(125×8)=600× 1000=600000
)或原式=600×(8×
125)=600X1000=600000(3)原式=(8800
×4)÷(25×4)=35200÷100=352或原式
=88×(100÷25)=88×4=352
例4 简便运算方法 选择合适的方法运算。
$51\frac{2}{3}÷\frac{5}{3}+71\frac{3}{4}÷\frac{7}{4}+91\frac{4}{5}÷\frac{9}{5}$
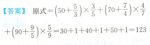
【思路点拨】 这道题要求学生能从数字的特点出发,创新变形,巧妙地运用运算性质和定律达到简算的目的。三部分数字形式相同,就其一部分认真分析可得:$51\frac{2}{3}÷\frac{5}{3}=51\frac{2}{3}×\frac{3}{5}$,$51$比$5$的倍数多$1$,而$1\frac{2}{3}$正好又是$\frac{3}{5}$的倒数,故可将其变形为$(50+\frac{5}{3})×\frac{3}{5}=50×\frac{3}{5}+\frac{5}{3}×\frac{3}{5}=30 + 1 = 31$。
$51\frac{2}{3}÷\frac{5}{3}+71\frac{3}{4}÷\frac{7}{4}+91\frac{4}{5}÷\frac{9}{5}$
【思路点拨】 这道题要求学生能从数字的特点出发,创新变形,巧妙地运用运算性质和定律达到简算的目的。三部分数字形式相同,就其一部分认真分析可得:$51\frac{2}{3}÷\frac{5}{3}=51\frac{2}{3}×\frac{3}{5}$,$51$比$5$的倍数多$1$,而$1\frac{2}{3}$正好又是$\frac{3}{5}$的倒数,故可将其变形为$(50+\frac{5}{3})×\frac{3}{5}=50×\frac{3}{5}+\frac{5}{3}×\frac{3}{5}=30 + 1 = 31$。
答案:
1. 如果8$\frac{3}{5}$ - 1.5÷[1$\frac{2}{3}$×( □ + 1$\frac{1}{3}$)] = 8$\frac{2}{5}$,那么□= ( )。
答案:
$3\frac{1}{6}$
2. 指出下列各题的简便运算运用了什么运算定律或运算性质。
(1)346+(654+428)=1000+428 ( )
(2)850÷25=3400÷100 ( )
(3)69×101=69×(100+1)=6900+69 ( )
(1)346+(654+428)=1000+428 ( )
(2)850÷25=3400÷100 ( )
(3)69×101=69×(100+1)=6900+69 ( )
答案:
加法结合律
@@商不变的性质
@@乘法分配律
@@商不变的性质
@@乘法分配律
3. 用简便方法计算下列各题。
(1)4.6×$\frac{9}{10}$ + 4.4÷$\frac{10}{9}$ + (1 - 0.1)
(2)$\frac{3}{4}$×1.25 + 7.5×0.975 - 75%
(3)999×222 + 333×334
(1)4.6×$\frac{9}{10}$ + 4.4÷$\frac{10}{9}$ + (1 - 0.1)
(2)$\frac{3}{4}$×1.25 + 7.5×0.975 - 75%
(3)999×222 + 333×334
答案:
原式$=4.6\times\frac{9}{10}+4.4\times\frac{9}{10}+\frac{9}{10}$$=\frac{9}{10}\times(4.6 + 4.4 + 1)$$=\frac{9}{10}\times10$$=9$
@@原式$=0.75\times1.25 + 0.75\times9.75 - 0.75$$=0.75\times(1.25 + 9.75 - 1)$$=0.75\times10$$=7.5$
@@原式$=333\times666 + 333\times334$$=333\times(666 + 334)$$=333\times1000$$=333000$
@@原式$=0.75\times1.25 + 0.75\times9.75 - 0.75$$=0.75\times(1.25 + 9.75 - 1)$$=0.75\times10$$=7.5$
@@原式$=333\times666 + 333\times334$$=333\times(666 + 334)$$=333\times1000$$=333000$
查看更多完整答案,请扫码查看