2026年一本密卷高考化学
注:目前有些书本章节名称可能整理的还不是很完善,但都是按照顺序排列的,请同学们按照顺序仔细查找。练习册 2026年一本密卷高考化学 答案主要是用来给同学们做完题方便对答案用的,请勿直接抄袭。
第43页
- 第1页
- 第2页
- 第3页
- 第4页
- 第5页
- 第6页
- 第7页
- 第8页
- 第9页
- 第10页
- 第11页
- 第12页
- 第13页
- 第14页
- 第15页
- 第16页
- 第17页
- 第18页
- 第19页
- 第20页
- 第21页
- 第22页
- 第23页
- 第24页
- 第25页
- 第26页
- 第27页
- 第28页
- 第29页
- 第30页
- 第31页
- 第32页
- 第33页
- 第34页
- 第35页
- 第36页
- 第37页
- 第38页
- 第39页
- 第40页
- 第41页
- 第42页
- 第43页
- 第44页
- 第45页
- 第46页
- 第47页
- 第48页
- 第49页
- 第50页
- 第51页
- 第52页
- 第53页
- 第54页
- 第55页
- 第56页
- 第57页
- 第58页
- 第59页
- 第60页
- 第61页
- 第62页
- 第63页
- 第64页
- 第65页
- 第66页
- 第67页
- 第68页
- 第69页
- 第70页
- 第71页
- 第72页
- 第73页
- 第74页
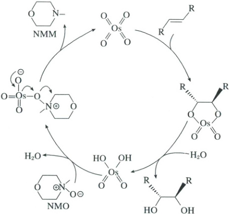
8.(2025·河北·三模)一定条件下,烯烃可以转化为相应的邻二醇(R—表示饱和烃基),邻二醇在一定条件下可以继续转化为N-甲基吗啉(NMM),转化过程机理如下图所示。下列说法错误的是(

A.转化过程中Os元素化合价发生改变
B.涉及的有机物中碳原子杂化方式有两种
C.NMM包含六元杂环,杂环内的6个原子位于同一平面上
D.
是转化过程中的催化剂
C
)A.转化过程中Os元素化合价发生改变
B.涉及的有机物中碳原子杂化方式有两种
C.NMM包含六元杂环,杂环内的6个原子位于同一平面上
D.
答案:
8.[答案] C
[解析] A.转化过程中Os元素在OsO₄(+8价)与中间产物(如OsO₂(OH)₂,+6价)间转化,化合价发生改变,A正确。
B.涉及的有机物中,烯烃双键碳为sp²杂化,饱和烃基、邻二醇及NMM中的碳为sp³杂化,共两种杂化方式,B正确。
C.NMM的六元杂环为饱和杂环(含O、N及四个sp³杂化碳),类似环己烷椅式构象,环内6个原子不共平面,C错误。
D.
为OsO₄,在转化中参与反应后又再生,符合催化剂定义,D正确。
故选C。
8.[答案] C
[解析] A.转化过程中Os元素在OsO₄(+8价)与中间产物(如OsO₂(OH)₂,+6价)间转化,化合价发生改变,A正确。
B.涉及的有机物中,烯烃双键碳为sp²杂化,饱和烃基、邻二醇及NMM中的碳为sp³杂化,共两种杂化方式,B正确。
C.NMM的六元杂环为饱和杂环(含O、N及四个sp³杂化碳),类似环己烷椅式构象,环内6个原子不共平面,C错误。
D.
故选C。
9.(2025·浙江嘉兴·三模)实验中的银镜可以采用以下方式进行清洗:

已知:I₂和I₃⁻氧化性几乎相同;[Ag(S₂O₃)₂]³⁻在水溶液中无色
下列说法不正确的是(
A.步骤1中使用的I₂-KI是为了增大c(I₂),加快I₂与Ag的反应速率
B.步骤1中Ag并未全部反应,可能被包裹在步骤2的黄色固体中
C.取试管③洗涤后的上层清液,滴加AgNO₃溶液可检验步骤2是否洗涤干净
D.步骤3中黄色固体转化为无色溶液的离子方程式为AgI + 2S₂O₃²⁻ I⁻ + [Ag(S₂O₃)₂]³⁻
已知:I₂和I₃⁻氧化性几乎相同;[Ag(S₂O₃)₂]³⁻在水溶液中无色
下列说法不正确的是(
B
)A.步骤1中使用的I₂-KI是为了增大c(I₂),加快I₂与Ag的反应速率
B.步骤1中Ag并未全部反应,可能被包裹在步骤2的黄色固体中
C.取试管③洗涤后的上层清液,滴加AgNO₃溶液可检验步骤2是否洗涤干净
D.步骤3中黄色固体转化为无色溶液的离子方程式为AgI + 2S₂O₃²⁻ I⁻ + [Ag(S₂O₃)₂]³⁻
答案:
9.[答案] B
[分析] 在I₂−KI溶液中存在平衡:I₂+I⁻⇌I₃⁻,I₂在水中的溶解度不大,在碘水中加入KI可使更多的I₂溶解,增大了c(I₂),从而加快了I₂与Ag的反应速率;试管底部的黄色沉淀为AgI,经过离心、洗涤可得到AgI,加入硫代硫酸钠溶液,AgI溶于硫代硫酸钠溶液生成Na₃[Ag(S₂O₃)₂]和NaCl,溶液为无色。
[解析] A.在碘水中加入KI可使更多的I₂溶解,步骤1中使用的I₂−KI增大了溶液中的c(I₂),从而加快I₂(或I₃⁻)与Ag的反应速率,A正确。
B.AgI 能溶于Na₂S₂O₃溶液而Ag不能,步骤3后得到无色溶液,说明黄色固体只有AgI,则可证明步骤1 中Ag已全部反应,未被包裹在步骤2的黄色固体中,B错误。
C.取试管③洗涤后的上层清液,滴加AgNO₃溶液,若产生黄色沉淀,说明洗涤液中含有I⁻,步骤2没有洗涤干净,若不产生黄色沉淀,可说明步骤2已经洗涤干净,C正确。
D.步骤3中黄色固体AgI溶于硫代硫酸钠溶液生成Na₃[Ag(S₂O₃)₂]和NaCl,溶液为无色,离子方程式为AgI+2S₂O₃²⁻══I⁻+[Ag(S₂O₃)₂]³⁻,D正确。
故选B。
[分析] 在I₂−KI溶液中存在平衡:I₂+I⁻⇌I₃⁻,I₂在水中的溶解度不大,在碘水中加入KI可使更多的I₂溶解,增大了c(I₂),从而加快了I₂与Ag的反应速率;试管底部的黄色沉淀为AgI,经过离心、洗涤可得到AgI,加入硫代硫酸钠溶液,AgI溶于硫代硫酸钠溶液生成Na₃[Ag(S₂O₃)₂]和NaCl,溶液为无色。
[解析] A.在碘水中加入KI可使更多的I₂溶解,步骤1中使用的I₂−KI增大了溶液中的c(I₂),从而加快I₂(或I₃⁻)与Ag的反应速率,A正确。
B.AgI 能溶于Na₂S₂O₃溶液而Ag不能,步骤3后得到无色溶液,说明黄色固体只有AgI,则可证明步骤1 中Ag已全部反应,未被包裹在步骤2的黄色固体中,B错误。
C.取试管③洗涤后的上层清液,滴加AgNO₃溶液,若产生黄色沉淀,说明洗涤液中含有I⁻,步骤2没有洗涤干净,若不产生黄色沉淀,可说明步骤2已经洗涤干净,C正确。
D.步骤3中黄色固体AgI溶于硫代硫酸钠溶液生成Na₃[Ag(S₂O₃)₂]和NaCl,溶液为无色,离子方程式为AgI+2S₂O₃²⁻══I⁻+[Ag(S₂O₃)₂]³⁻,D正确。
故选B。
10.(2025·黑龙江大庆·模拟预测)铼(Re)被誉为21世纪的超级金属,广泛应用于航天航空领域。一种由铼钼废渣(主要含ReS₂、MoS₂、FeS₂和SiO₂)为原料提取铼的工艺流程图如图:

已知:
①焙烧后的产物中有Ca(ReO₄)₂、CaMoO₄,均难溶于水;
②硫酸酸浸后,生成ReO₄⁻、MoO₂²⁺
③离子交换中采用阴离子交换树脂,存在平衡:QCl(有机相) + ReO₄⁻(aq) QReO₄(有机相) + Cl⁻(aq)
下列说法不正确的是(
A.已知Re和Mn同族,它们位于元素周期表的d区
B.若焙烧产物中无硫单质,则ReS₂参与的反应中氧化剂与还原剂的物质的量之比为19:4
C.洗脱步骤中,使用的试剂A可能是NH₄Cl溶液
D.已知混合液中存在反应MoO₄²⁻ + 4H⁺ MoO₂²⁺ + 2H₂O,则“酸化”过程中溶液的pH越大,离子交换后铼的提取率越高
已知:
①焙烧后的产物中有Ca(ReO₄)₂、CaMoO₄,均难溶于水;
②硫酸酸浸后,生成ReO₄⁻、MoO₂²⁺
③离子交换中采用阴离子交换树脂,存在平衡:QCl(有机相) + ReO₄⁻(aq) QReO₄(有机相) + Cl⁻(aq)
下列说法不正确的是(
D
)A.已知Re和Mn同族,它们位于元素周期表的d区
B.若焙烧产物中无硫单质,则ReS₂参与的反应中氧化剂与还原剂的物质的量之比为19:4
C.洗脱步骤中,使用的试剂A可能是NH₄Cl溶液
D.已知混合液中存在反应MoO₄²⁻ + 4H⁺ MoO₂²⁺ + 2H₂O,则“酸化”过程中溶液的pH越大,离子交换后铼的提取率越高
答案:
10.[答案] D
[分析] 铼钼废渣(主要含ReS₂、MoS₂、FeS₂和SiO₂)加入CaO在空气中焙烧得到Ca(ReO₄)₂、CaMoO₄、Fe₂O₃、CaSiO₃,加硫酸酸浸,生成MoO₂²⁻、ReO₄⁻、Fe³⁺和滤渣(硫酸钙与硅酸),调pH除铁离子,酸化后利用离子交换将铼转移至有机相,加入氯化铵洗脱,得到NH₄ReO₄,经蒸发浓缩、冷却结晶、过滤、洗涤、干燥得到产品,据此分析。
[解析] A.Mn核外价电子排布式为3d⁵4s²,位于d区,Re与Mn同族,Re也位于d区(Re是75 号元素,核外价电子排布式为5d⁵6s²,Re位于d 区),A正确。
B.ReS₂焙烧后转化为Ca(ReO₄)₂,化学方程式为4ReS₂+10CaO+19O₂$\stackrel{高温}{=\!=\!=}$2Ca(ReO₄)₂+8CaSO₄,氧化剂(O₂)与还原剂(ReS₂)的物质的量之比为19:4,B正确。
C.根据分析可知,洗脱步骤中,使用的试剂A可能是NH₄Cl溶液,C正确。
D.已知混合液中存在反应MoO₄²⁻+4H⁺⇌MoO₂²⁻+2H₂O,则“酸化”过程中溶液的pH越大,c(H⁺)越少,平衡逆向移动,使Mo元素转变为阴离子,被阴离子交换树脂吸附,从而降低Re的提取率,D错误。
故选D。
[分析] 铼钼废渣(主要含ReS₂、MoS₂、FeS₂和SiO₂)加入CaO在空气中焙烧得到Ca(ReO₄)₂、CaMoO₄、Fe₂O₃、CaSiO₃,加硫酸酸浸,生成MoO₂²⁻、ReO₄⁻、Fe³⁺和滤渣(硫酸钙与硅酸),调pH除铁离子,酸化后利用离子交换将铼转移至有机相,加入氯化铵洗脱,得到NH₄ReO₄,经蒸发浓缩、冷却结晶、过滤、洗涤、干燥得到产品,据此分析。
[解析] A.Mn核外价电子排布式为3d⁵4s²,位于d区,Re与Mn同族,Re也位于d区(Re是75 号元素,核外价电子排布式为5d⁵6s²,Re位于d 区),A正确。
B.ReS₂焙烧后转化为Ca(ReO₄)₂,化学方程式为4ReS₂+10CaO+19O₂$\stackrel{高温}{=\!=\!=}$2Ca(ReO₄)₂+8CaSO₄,氧化剂(O₂)与还原剂(ReS₂)的物质的量之比为19:4,B正确。
C.根据分析可知,洗脱步骤中,使用的试剂A可能是NH₄Cl溶液,C正确。
D.已知混合液中存在反应MoO₄²⁻+4H⁺⇌MoO₂²⁻+2H₂O,则“酸化”过程中溶液的pH越大,c(H⁺)越少,平衡逆向移动,使Mo元素转变为阴离子,被阴离子交换树脂吸附,从而降低Re的提取率,D错误。
故选D。
查看更多完整答案,请扫码查看