2025年周末C计划高中数学必修第一册人教版
注:目前有些书本章节名称可能整理的还不是很完善,但都是按照顺序排列的,请同学们按照顺序仔细查找。练习册 2025年周末C计划高中数学必修第一册人教版 答案主要是用来给同学们做完题方便对答案用的,请勿直接抄袭。
1. (2025 山东师范大学附属中学期中)已知幂函数 $ f(x)=(m^{2}+m - 1)x^{m} $ 的图象与坐标轴没有公共点,则 $ f(m + 4)= $ (
A.$ \frac{1}{2} $
B.$ \sqrt{2} $
C.$ \frac{1}{4} $
D.$ 2\sqrt{2} $
$\frac{1}{4}$
)A.$ \frac{1}{2} $
B.$ \sqrt{2} $
C.$ \frac{1}{4} $
D.$ 2\sqrt{2} $
答案:
1.C 因为$f(x)$为幂函数,所以$m^2+m-1=1$,即$m^2+m-2=(m+2)(m-1)=0$,解得$m=-2$或$m=1$,则$f(x)=x^{-2}$或$f(x)=x$,
因为$f(x)$的图象与坐标轴没有公共点,所以$f(x)=x^{-2}$,
幂指数小于0
即$m=-2$,则$f(m+4)=f(2)=2^{-2}=\frac{1}{4}$。
因为$f(x)$的图象与坐标轴没有公共点,所以$f(x)=x^{-2}$,
幂指数小于0
即$m=-2$,则$f(m+4)=f(2)=2^{-2}=\frac{1}{4}$。
2. (2025 上海交通大学附属中学开学考试)设 $ y = f(x) $ 与 $ y = g(x) $ 是两个不同的幂函数,$ M = \{ x|f(x)=g(x)\} $,则 $ M $ 中元素的个数可能是 (
A.$ 0,1,2 $
B.$ 1,2,3 $
C.$ 1,2,3,4 $
D.$ 0,1,2,3 $
B
)A.$ 0,1,2 $
B.$ 1,2,3 $
C.$ 1,2,3,4 $
D.$ 0,1,2,3 $
答案:
2.B
思路点拨
集合 M中的元素即为方程$f(x)=g(x)$的解,即为幂函数$y=f(x)$和$y=g(x)$的图象的交点的横坐标,从而问题可转化为研究不同幂函数的图象的交点的个数.
解析 设$f(x)=x^a$,$g(x)=x^b$,$a\neq b$.由幂函数的图象可知$f(1)=g(1)=1$,故$f(x)=g(x)$至少存在一个解$x=1$;若$f(x)$,$g(x)$在0处都有定义,则$f(0)=g(0)=0$,故$f(x)=g(x)$可能存在解$x=0$;若$f(x)$,$g(x)$同为奇函数或者同为偶函数,则由图象的对称性可知,$f(-1)=g(-1)=-1$或$f(-1)=g(-1)=1$,故$f(x)=g(x)$可能存在解$x=-1$.综上所述,M中元素的个数可能是1,2,3.
思路点拨
集合 M中的元素即为方程$f(x)=g(x)$的解,即为幂函数$y=f(x)$和$y=g(x)$的图象的交点的横坐标,从而问题可转化为研究不同幂函数的图象的交点的个数.
解析 设$f(x)=x^a$,$g(x)=x^b$,$a\neq b$.由幂函数的图象可知$f(1)=g(1)=1$,故$f(x)=g(x)$至少存在一个解$x=1$;若$f(x)$,$g(x)$在0处都有定义,则$f(0)=g(0)=0$,故$f(x)=g(x)$可能存在解$x=0$;若$f(x)$,$g(x)$同为奇函数或者同为偶函数,则由图象的对称性可知,$f(-1)=g(-1)=-1$或$f(-1)=g(-1)=1$,故$f(x)=g(x)$可能存在解$x=-1$.综上所述,M中元素的个数可能是1,2,3.
3. (2025 河南平顶山期末)学校宿舍与办公室相距 $ a $ m.某同学有重要材料要交给老师,他从宿舍出发,先匀速跑步 $ 3 $ min 来到办公室,停留 $ 2 $ min,然后匀速步行 $ 10 $ min 返回宿舍.在这个过程中,这位同学行进的速度 $ v(t) $ 和行走的路程 $ s(t) $ 都是关于时间 $ t $ 的函数,则速度函数和路程函数的示意图分别是下面四个图象中的 (

A.①②
B.③④
C.①④
D.②③
A
)A.①②
B.③④
C.①④
D.②③
答案:
3.A 由题意得$v(t)=\begin{cases}\frac{a}{3},&0\leq t<3,\\0,&3\leq t\leq5,\\ \frac{a}{10},&5<t\leq15.\end{cases}$
$s(t)=\begin{cases}\frac{at}{3},&0\leq t<3,\\a,&3\leq t\leq5,\\a+\frac{at}{10},&5<t\leq15.\end{cases}$
由速度函数及路程函数的解析式可知,其图象分别为①②.
$s(t)=\begin{cases}\frac{at}{3},&0\leq t<3,\\a,&3\leq t\leq5,\\a+\frac{at}{10},&5<t\leq15.\end{cases}$
由速度函数及路程函数的解析式可知,其图象分别为①②.
4. (2025 江苏南京六校联合调研)已知幂函数 $ y = x^{m^{2}-2m - 3}(m \in \mathbf{Z}) $ 的图象关于 $ y $ 轴对称,且在 $ (0,+\infty) $ 上单调递减,则满足 $ (a + 1)^{-\frac{1}{3}}>(3 - 2a)^{-\frac{1}{3}} $ 的实数 $ a $ 的取值范围为 (
A.$ (-\infty,-1)\cup(\frac{2}{3},\frac{3}{2}) $
B.$ (-\infty,\frac{2}{3}) $
C.$ (-1,\frac{2}{3})\cup(\frac{3}{2},+\infty) $
D.$ (0,\frac{3}{2}) $
C
)A.$ (-\infty,-1)\cup(\frac{2}{3},\frac{3}{2}) $
B.$ (-\infty,\frac{2}{3}) $
C.$ (-1,\frac{2}{3})\cup(\frac{3}{2},+\infty) $
D.$ (0,\frac{3}{2}) $
答案:
4.C 因为幂函数$y=x^{m^2-2m-3}$在$(0,+\infty)$上单调递减,所以$m^2-2m-3<0$,又$m\in\mathbf{Z}$,所以$m=0,1,2$,
又其图象关于$y$轴对称,
所以$m^2-2m-3=(m-3)(m+1)$为偶数,所以$m=1$.
易知函数$y=x^{-\frac{3}{5}}$的定义域为$(-\infty,0)\cup(0,+\infty)$,且函数$y=x^{-\frac{3}{5}}$在$(-\infty,0)$和$(0,+\infty)$上均单调递减,
当$x<0$时,$y<0$,当$x>0$时,$y>0$,
所以不等式$(a+1)^{-\frac{3}{5}}>(3-2a)^{-\frac{3}{5}}$可化为$\begin{cases}a+1>0,\\3-2a>0,\end{cases}$或$\begin{cases}a+1<0,\\3-2a<0,\end{cases}$或$\begin{cases}a+1>0,\\3-2a<0,\\a+1<3-2a\end{cases}$
所以$-1<a<\frac{2}{3}$或$a>\frac{3}{2}$,
所以实数$a$的取值范围为$\left(-1,\frac{2}{3}\right)\cup\left(\frac{3}{2},+\infty\right)$.
又其图象关于$y$轴对称,
所以$m^2-2m-3=(m-3)(m+1)$为偶数,所以$m=1$.
易知函数$y=x^{-\frac{3}{5}}$的定义域为$(-\infty,0)\cup(0,+\infty)$,且函数$y=x^{-\frac{3}{5}}$在$(-\infty,0)$和$(0,+\infty)$上均单调递减,
当$x<0$时,$y<0$,当$x>0$时,$y>0$,
所以不等式$(a+1)^{-\frac{3}{5}}>(3-2a)^{-\frac{3}{5}}$可化为$\begin{cases}a+1>0,\\3-2a>0,\end{cases}$或$\begin{cases}a+1<0,\\3-2a<0,\end{cases}$或$\begin{cases}a+1>0,\\3-2a<0,\\a+1<3-2a\end{cases}$
所以$-1<a<\frac{2}{3}$或$a>\frac{3}{2}$,
所以实数$a$的取值范围为$\left(-1,\frac{2}{3}\right)\cup\left(\frac{3}{2},+\infty\right)$.
5. (2025 湖南天一大联考)已知函数 $ f(x)=x^{3} $,若对任意的正数 $ a,b $,总有 $ f(4a)+f(3b - 4)=0 $,则 $ \frac{1}{2a + 1}+\frac{1}{3b + 2} $ 的最小值为 (
A.$ \frac{3 + 2\sqrt{2}}{6} $
B.$ \frac{3 + 2\sqrt{2}}{8} $
C.$ \frac{2 + \sqrt{2}}{2} $
D.$ 1 + \sqrt{2} $
B
)A.$ \frac{3 + 2\sqrt{2}}{6} $
B.$ \frac{3 + 2\sqrt{2}}{8} $
C.$ \frac{2 + \sqrt{2}}{2} $
D.$ 1 + \sqrt{2} $
答案:
5.B 易知函数$f(x)=x^3$为定义在$\mathbf{R}$上的奇函数,且为增函数,
因为$f(4a)+f(3b-4)=0$,所以$f(4a)=-f(3b-4)=f(4-3b)$,可得$4a=4-3b$,即$(4a+2)+(3b+2)=8$,
因为$4a+2>2,3b+2>2$,
所以$\frac{1}{2a+1}+\frac{1}{3b+2}=\frac{1}{8}[(4a+2)+(3b+2)]\left(\frac{2}{4a+2}+\frac{1}{3b+2}\right)\geq\frac{1}{8}\left[3+2\sqrt{\frac{2(3b+2)}{4a+2}·\frac{4a+2}{3b+2}}\right]=\frac{3+2\sqrt{2}}{8}$,
当且仅当$\frac{2(3b+2)}{4a+2}=\frac{4a+2}{3b+2}$,即$4a+2=\sqrt{2}(3b+2)=8(2-\sqrt{2})$时,等号成立,
所以$\frac{1}{2a+1}+\frac{1}{3b+2}$的最小值为$\frac{3+2\sqrt{2}}{8}$.
因为$f(4a)+f(3b-4)=0$,所以$f(4a)=-f(3b-4)=f(4-3b)$,可得$4a=4-3b$,即$(4a+2)+(3b+2)=8$,
因为$4a+2>2,3b+2>2$,
所以$\frac{1}{2a+1}+\frac{1}{3b+2}=\frac{1}{8}[(4a+2)+(3b+2)]\left(\frac{2}{4a+2}+\frac{1}{3b+2}\right)\geq\frac{1}{8}\left[3+2\sqrt{\frac{2(3b+2)}{4a+2}·\frac{4a+2}{3b+2}}\right]=\frac{3+2\sqrt{2}}{8}$,
当且仅当$\frac{2(3b+2)}{4a+2}=\frac{4a+2}{3b+2}$,即$4a+2=\sqrt{2}(3b+2)=8(2-\sqrt{2})$时,等号成立,
所以$\frac{1}{2a+1}+\frac{1}{3b+2}$的最小值为$\frac{3+2\sqrt{2}}{8}$.
6. (2025 辽宁丹东期中)已知函数 $ f(x)=(x - 2)^{\frac{2}{3}}+1 $,对于任意的 $ t \in [-1,2] $,不等式 $ f(2t)+f(a + t)\leq2 $ 恒成立,则实数 $ a $ 的取值范围是 (
A.$ (-\infty,-2 $
B.$ (-\infty,-10 $
C.$ -3,+\infty) $
D.$ 7,+\infty) $
A
)A.$ (-\infty,-2 $
B.$ (-\infty,-10 $
C.$ -3,+\infty) $
D.$ 7,+\infty) $
答案:
6.A 令$g(x)=x^{\frac{1}{2}}$,则$f(x)=g(x-2)+1$,不等式$f(2t)+f(a+t)\leq2$可化为$g(2t-2)+1+g(a+t-2)+1\leq2$,即$g(2t-2)+g(a+t-2)\leq0$,因为$g(x)=x^{\frac{1}{2}}$是奇函数且在$\mathbf{R}$上单调递增,所以$g(2t-2)\leq-g(a+t-2)=g(-a-t+2)$,则$2t-2\leq-a-t+2$,所以$a\leq-3t+4$在$t\in[-1,2]$上恒成立,则$a\leq-2$,即实数$a$的取值范围是$(-\infty,-2]$.
7. (2025 河南部分学校联考)国庆节期间,甲、乙两商场举行优惠促销活动,甲商场采用“购买所有商品一律打八四折”的促销策略,乙商场采用“购物每满 $ 200 $ 元送 $ 40 $ 元”的促销策略.某顾客计划消费 $ x(x>0) $ 元,并且要利用商场的优惠活动,使消费更低一些,则 (
A.当 $ 0<x<200 $ 时,应进甲商场购物
B.当 $ 200\leq x<300 $ 时,应进乙商场购物
C.当 $ 400\leq x<500 $ 时,应进乙商场购物
D.当 $ x>500 $ 时,应进甲商场购物
AC
)A.当 $ 0<x<200 $ 时,应进甲商场购物
B.当 $ 200\leq x<300 $ 时,应进乙商场购物
C.当 $ 400\leq x<500 $ 时,应进乙商场购物
D.当 $ x>500 $ 时,应进甲商场购物
答案:
7.AC 当$0<x<200$时,甲商场的费用为$0.84x$,乙商场的费用为$x$,$x>0.84x$,故应进甲商场购物,所以A正确;
当$200\leq x<300$时,甲商场的费用为$0.84x$,乙商场的费用为$x-40$,$x-40-0.84x=0.16x-40$,当$200\leq x<250$时,$-8\leq0.16x-40<0$,即$x-40<0.84x$,此时应进乙商场购物,当$250<x<300$时,$x-40>0.84x$,此时应进甲商场购物,当$x=250$时两个商场均可,所以B错误;
当$400\leq x<500$时,甲商场的费用为$0.84x$,乙商场的费用为$x-80$,$x-80-0.84x=0.16x-80$,因为$400\leq x<500$,所以$-16\leq0.16x-80<0$,故$x-80<0.84x$,所以应进乙商场购物,所以C正确;
假设消费了600元,则在甲商场购物的费用为$600×0.84=504$元,在乙商场购物的费用为$600-120=480$元,乙商场购物的费用更低,故应进乙商场购物,故D错误.
当$200\leq x<300$时,甲商场的费用为$0.84x$,乙商场的费用为$x-40$,$x-40-0.84x=0.16x-40$,当$200\leq x<250$时,$-8\leq0.16x-40<0$,即$x-40<0.84x$,此时应进乙商场购物,当$250<x<300$时,$x-40>0.84x$,此时应进甲商场购物,当$x=250$时两个商场均可,所以B错误;
当$400\leq x<500$时,甲商场的费用为$0.84x$,乙商场的费用为$x-80$,$x-80-0.84x=0.16x-80$,因为$400\leq x<500$,所以$-16\leq0.16x-80<0$,故$x-80<0.84x$,所以应进乙商场购物,所以C正确;
假设消费了600元,则在甲商场购物的费用为$600×0.84=504$元,在乙商场购物的费用为$600-120=480$元,乙商场购物的费用更低,故应进乙商场购物,故D错误.
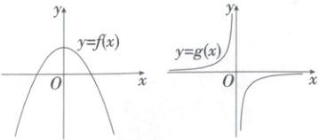
8. (2025 浙江杭州期中)已知函数 $ y = f(x) $ 与 $ y = g(x) $ 的图象如图所示,则 (

A.$ y = f(x)g(x) $ 为奇函数
B.$ y = f(x)g(x) $ 在 $ (0,+\infty) $ 上单调递增
C.$ y = f(g(x)) $ 在 $ (-\infty,0) $ 上单调递减
D.$ y = f(x)g(x) $ 的值域不能为 $ \mathbf{R} $
AC
)A.$ y = f(x)g(x) $ 为奇函数
B.$ y = f(x)g(x) $ 在 $ (0,+\infty) $ 上单调递增
C.$ y = f(g(x)) $ 在 $ (-\infty,0) $ 上单调递减
D.$ y = f(x)g(x) $ 的值域不能为 $ \mathbf{R} $
答案:
8.AC 由题中图象知,$y=f(x)$,$x\in\mathbf{R}$是偶函数,在$(-\infty,0)$上单调递增,在$(0,+\infty)$上单调递减;$y=g(x)$,$x\in(-\infty,0)\cup(0,+\infty)$是奇函数,在$(-\infty,0)$,$(0,+\infty)$上单调递增.
对于A,$y=f(x)g(x)$的定义域为$(-\infty,0)\cup(0,+\infty)$,
因为$f(-x)g(-x)=f(x)[-g(x)]=-f(x)g(x)$,所以$y=f(x)g(x)$是奇函数,故A正确;
对于B,不妨令$f(x)=1-x^2$,$g(x)=-\frac{1}{x^3}$,符合题意,
则$f(x)g(x)=-\frac{1}{x^3}+\frac{1}{x}$,取$x=2$和$x=3$,满足$2<3$,
但$f(2)g(2)=\frac{1}{2}-\frac{1}{8}=\frac{3}{8}>f(3)g(3)=\frac{1}{3}-\frac{1}{27}=\frac{8}{27}$,故B
错误;
对于C,$\forall x_1,x_2\in(-\infty,0)$,$x_1<x_2$,由题中图象知$g(x_1)>0$,$g(x_2)>0$,因为$g(x)$在$(-\infty,0)$上单调递增,所以$0<g(x_1)<g(x_2)$,又因为$f(x)$在$(0,+\infty)$上单调递减,所以$f(g(x_1))>f(g(x_2))$,即$y=f(g(x))$在$(-\infty,0)$上单调递减,故C正确;
对于D,由A得$y=f(x)g(x)$为奇函数,故可只研究$x>0$的部分,设$y=f(x)$的图象与$x$轴正半轴交于点$(x_0,0)$,则当$x$趋近于0时,$y=f(x)g(x)$的值趋近于$-\infty$,在$(0,x_0)$内,$y=f(x)g(x)$的值随$x$的增大而增大,当$x=x_0$时,$y=f(x)g(x)$的值为0,当$x$趋近于$+\infty$时,$y=f(x)g(x)$的值趋近于0,但比0大,故此时$y=f(x)g(x)$能取到$(-\infty,0]$的一切值,同理,当$x<0$时,$y=f(x)g(x)$能取到$[0,+\infty)$的一切值,故$y=f(x)g(x)$的值域能为$\mathbf{R}$,故D错误.
对于A,$y=f(x)g(x)$的定义域为$(-\infty,0)\cup(0,+\infty)$,
因为$f(-x)g(-x)=f(x)[-g(x)]=-f(x)g(x)$,所以$y=f(x)g(x)$是奇函数,故A正确;
对于B,不妨令$f(x)=1-x^2$,$g(x)=-\frac{1}{x^3}$,符合题意,
则$f(x)g(x)=-\frac{1}{x^3}+\frac{1}{x}$,取$x=2$和$x=3$,满足$2<3$,
但$f(2)g(2)=\frac{1}{2}-\frac{1}{8}=\frac{3}{8}>f(3)g(3)=\frac{1}{3}-\frac{1}{27}=\frac{8}{27}$,故B
错误;
对于C,$\forall x_1,x_2\in(-\infty,0)$,$x_1<x_2$,由题中图象知$g(x_1)>0$,$g(x_2)>0$,因为$g(x)$在$(-\infty,0)$上单调递增,所以$0<g(x_1)<g(x_2)$,又因为$f(x)$在$(0,+\infty)$上单调递减,所以$f(g(x_1))>f(g(x_2))$,即$y=f(g(x))$在$(-\infty,0)$上单调递减,故C正确;
对于D,由A得$y=f(x)g(x)$为奇函数,故可只研究$x>0$的部分,设$y=f(x)$的图象与$x$轴正半轴交于点$(x_0,0)$,则当$x$趋近于0时,$y=f(x)g(x)$的值趋近于$-\infty$,在$(0,x_0)$内,$y=f(x)g(x)$的值随$x$的增大而增大,当$x=x_0$时,$y=f(x)g(x)$的值为0,当$x$趋近于$+\infty$时,$y=f(x)g(x)$的值趋近于0,但比0大,故此时$y=f(x)g(x)$能取到$(-\infty,0]$的一切值,同理,当$x<0$时,$y=f(x)g(x)$能取到$[0,+\infty)$的一切值,故$y=f(x)g(x)$的值域能为$\mathbf{R}$,故D错误.
查看更多完整答案,请扫码查看