第47页
- 第1页
- 第2页
- 第3页
- 第4页
- 第5页
- 第6页
- 第7页
- 第8页
- 第9页
- 第10页
- 第11页
- 第12页
- 第13页
- 第14页
- 第15页
- 第16页
- 第17页
- 第18页
- 第19页
- 第20页
- 第21页
- 第22页
- 第23页
- 第24页
- 第25页
- 第26页
- 第27页
- 第28页
- 第29页
- 第30页
- 第31页
- 第32页
- 第33页
- 第34页
- 第35页
- 第36页
- 第37页
- 第38页
- 第39页
- 第40页
- 第41页
- 第42页
- 第43页
- 第44页
- 第45页
- 第46页
- 第47页
- 第48页
- 第49页
- 第50页
- 第51页
- 第52页
- 第53页
- 第54页
- 第55页
- 第56页
- 第57页
- 第58页
- 第59页
- 第60页
- 第61页
- 第62页
- 第63页
- 第64页
- 第65页
- 第66页
- 第67页
- 第68页
- 第69页
- 第70页
- 第71页
- 第72页
- 第73页
- 第74页
- 第75页
- 第76页
- 第77页
- 第78页
- 第79页
- 第80页
- 第81页
- 第82页
- 第83页
- 第84页
- 第85页
- 第86页
- 第87页
- 第88页
- 第89页
- 第90页
- 第91页
- 第92页
- 第93页
- 第94页
- 第95页
- 第96页
- 第97页
- 第98页
- 第99页
- 第100页
6. 摩擦起电的原因是发生电子转移,如丝绸摩擦过的玻璃棒
失去
电子,带正
电,丝绸
(选填“丝绸”或“玻璃棒”)的原子核束缚电子的本领强。
答案:
失去 正 丝绸
7.(教材素材改编)小明在课堂上给同组的同学演示了一个实验:他将一带电的有机玻璃棒靠近带正电的泡沫塑料小球时,相互作用情况如图所示,请你回答:有机玻璃棒带

正
电,这是因为同种电荷相互排斥
。
答案:
正 同种电荷相互排斥
8. 如图是一种装饰玻璃的静电窗花,它采用 PVC 塑料静电膜材质,材料本身不带胶,但是能轻松“粘”在玻璃上。它能粘在玻璃上是因为带电体具有

吸引轻小物体的性质
。时间长了,窗花会滑落,将窗花在玻璃上轻轻摩擦后便可以重新贴上,这是摩擦起电
现象,此时玻璃和窗花带异种
(选填“同种”或“异种”)电荷。
答案:
吸引轻小物体的性质 摩擦起电 异种
9. 如图所示为 A、B、C、D 四个用细线悬挂的泡沫塑料小球之间的相互作用情况,已知 D 球带负电,下列对另外三个小球带电情况的判断正确的是(

A.A 球一定带负电
B.B 球一定带负电
C.C 球一定带正电
D.C 球可能不带电
C
)A.A 球一定带负电
B.B 球一定带负电
C.C 球一定带正电
D.C 球可能不带电
答案:
C
10. 带正电的甲金属球和不带电的乙金属球接触后,乙球也带了电,这是由于(
A.甲球上的部分质子转移到乙球上
B.甲球上的部分电子转移到乙球上
C.乙球上的部分电子转移到甲球上
D.乙球上的部分原子转移到甲球上
C
)A.甲球上的部分质子转移到乙球上
B.甲球上的部分电子转移到乙球上
C.乙球上的部分电子转移到甲球上
D.乙球上的部分原子转移到甲球上
答案:
C
11.(物理学与日常生活)如图甲所示,小女孩将气球在头发上摩擦后,气球会吸引她的头发,头发会飘起来,这是因为气球和头发带上了

异种
(选填“同种”或“异种”)电荷从而相互吸引,其本质上是电子
的转移。再将气球靠近细小的水流,发现水流也会被气球吸引,如图乙所示。两图中“吸引”的原因不相同
(选填“相同”或“不相同”)。
答案:
异种 电子 不相同
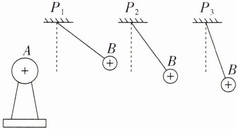
12.(科学探究)小明学过摩擦起电之后,自己在实验室里做了如下实验:在绝缘支架上放一个大球 A,并使其也带正电荷;用绝缘丝线悬吊一个小球 B,并使其也带正电荷。然后他依次将小球 B 悬吊在距离 A 球远近不同的 $P_1$、$P_2$、$P_3$ 处(如图所示)。

(1)小球 B 偏离竖直方向的原因是什么?
(2)请你根据此图,提出一个问题。
(1)小球 B 偏离竖直方向的原因是什么?
(2)请你根据此图,提出一个问题。
答案:
(1)带正电荷的B球受到了A球对它的排斥力。
(2)本题可提出的问题如:①同种电荷间的排斥力大小与电荷间距离有什么关系?②电荷间的排斥力与悬线偏离竖直方向的角度有什么关系?③同种电荷间的排斥力大小与什么有关?
(1)带正电荷的B球受到了A球对它的排斥力。
(2)本题可提出的问题如:①同种电荷间的排斥力大小与电荷间距离有什么关系?②电荷间的排斥力与悬线偏离竖直方向的角度有什么关系?③同种电荷间的排斥力大小与什么有关?
查看更多完整答案,请扫码查看