第25页
- 第1页
- 第2页
- 第3页
- 第4页
- 第5页
- 第6页
- 第7页
- 第8页
- 第9页
- 第10页
- 第11页
- 第12页
- 第13页
- 第14页
- 第15页
- 第16页
- 第17页
- 第18页
- 第19页
- 第20页
- 第21页
- 第22页
- 第23页
- 第24页
- 第25页
- 第26页
- 第27页
- 第28页
- 第29页
- 第30页
- 第31页
- 第32页
- 第33页
- 第34页
- 第35页
- 第36页
- 第37页
- 第38页
- 第39页
- 第40页
- 第41页
- 第42页
- 第43页
- 第44页
- 第45页
- 第46页
- 第47页
- 第48页
- 第49页
- 第50页
- 第51页
- 第52页
- 第53页
- 第54页
- 第55页
- 第56页
- 第57页
- 第58页
- 第59页
- 第60页
- 第61页
- 第62页
- 第63页
- 第64页
- 第65页
- 第66页
- 第67页
- 第68页
- 第69页
- 第70页
- 第71页
- 第72页
- 第73页
- 第74页
- 第75页
- 第76页
- 第77页
- 第78页
- 第79页
- 第80页
- 第81页
- 第82页
- 第83页
- 第84页
- 第85页
- 第86页
- 第87页
- 第88页
- 第89页
- 第90页
- 第91页
- 第92页
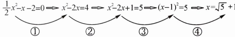
1. 新考向 过程性学习 下列用配方法解方程 $\frac{1}{2}x^{2}-x - 2 = 0$ 的四个步骤中,出现错误的是(

A.①
B.②
C.③
D.④
D
)A.①
B.②
C.③
D.④
答案:
1. D
2. 用配方法解方程 $2x^{2}-4x = 3$ 时,先把二次项系数化为 1,然后方程的两边都应加上(
A.1
B.2
C.3
D.5
A
)A.1
B.2
C.3
D.5
答案:
2. A
3. 用配方法解方程 $2x^{2}-3 = -6x$,正确的解法是(
A.$(x + \frac{3}{2})^{2} = \frac{15}{4}$,$x = -\frac{3}{2} \pm \frac{\sqrt{15}}{2}$
B.$(x - \frac{3}{2})^{2} = \frac{15}{4}$,$x = \frac{3}{2} \pm \frac{\sqrt{15}}{2}$
C.$(x + \frac{3}{2})^{2} = -\frac{15}{4}$,原方程无解
D.$(x + \frac{3}{2})^{2} = \frac{7}{4}$,$x = -\frac{3}{2} \pm \frac{\sqrt{7}}{2}$
A
)A.$(x + \frac{3}{2})^{2} = \frac{15}{4}$,$x = -\frac{3}{2} \pm \frac{\sqrt{15}}{2}$
B.$(x - \frac{3}{2})^{2} = \frac{15}{4}$,$x = \frac{3}{2} \pm \frac{\sqrt{15}}{2}$
C.$(x + \frac{3}{2})^{2} = -\frac{15}{4}$,原方程无解
D.$(x + \frac{3}{2})^{2} = \frac{7}{4}$,$x = -\frac{3}{2} \pm \frac{\sqrt{7}}{2}$
答案:
3. A
4. 用配方法解下列方程:
(1) $3x^{2}-12x + 1 = 0$;
(2) $-2x^{2}+6x + 9 = 0$;
(3) $4x^{2}+4x - 3 = 0$。
(1) $3x^{2}-12x + 1 = 0$;
(2) $-2x^{2}+6x + 9 = 0$;
(3) $4x^{2}+4x - 3 = 0$。
答案:
4. 解:
(1)将二次项系数化为 1,得 $x^{2}-4x+\frac{1}{3}=0$. 配方,得 $x^{2}-4x+2^{2}-2^{2}+\frac{1}{3}=0$. 得 $(x-2)^{2}=\frac{11}{3}$. 由此得 $x-2=\frac{\sqrt{33}}{3}$ 或 $x-2=-\frac{\sqrt{33}}{3}$. 解得 $x_{1}=2+\frac{\sqrt{33}}{3},x_{2}=2-\frac{\sqrt{33}}{3}$.
(2)将二次项系数化为 1,得 $x^{2}-3x-\frac{9}{2}=0$. 配方,得 $x^{2}-3x+(\frac{3}{2})^{2}-(\frac{3}{2})^{2}-\frac{9}{2}=0$. 得 $(x-\frac{3}{2})^{2}=\frac{27}{4}$. 由此得 $x-\frac{3}{2}=\frac{3\sqrt{3}}{2}$ 或 $x-\frac{3}{2}=-\frac{3\sqrt{3}}{2}$. 解得 $x_{1}=\frac{3+3\sqrt{3}}{2},x_{2}=\frac{3-3\sqrt{3}}{2}$.
(3)$x^{2}+x=\frac{3}{4},x^{2}+x+(\frac{1}{2})^{2}=\frac{3}{4}+(\frac{1}{2})^{2}$,即 $(x+\frac{1}{2})^{2}=1,\therefore x+\frac{1}{2}=\pm 1.\therefore x_{1}=\frac{1}{2},x_{2}=-\frac{3}{2}$.
(1)将二次项系数化为 1,得 $x^{2}-4x+\frac{1}{3}=0$. 配方,得 $x^{2}-4x+2^{2}-2^{2}+\frac{1}{3}=0$. 得 $(x-2)^{2}=\frac{11}{3}$. 由此得 $x-2=\frac{\sqrt{33}}{3}$ 或 $x-2=-\frac{\sqrt{33}}{3}$. 解得 $x_{1}=2+\frac{\sqrt{33}}{3},x_{2}=2-\frac{\sqrt{33}}{3}$.
(2)将二次项系数化为 1,得 $x^{2}-3x-\frac{9}{2}=0$. 配方,得 $x^{2}-3x+(\frac{3}{2})^{2}-(\frac{3}{2})^{2}-\frac{9}{2}=0$. 得 $(x-\frac{3}{2})^{2}=\frac{27}{4}$. 由此得 $x-\frac{3}{2}=\frac{3\sqrt{3}}{2}$ 或 $x-\frac{3}{2}=-\frac{3\sqrt{3}}{2}$. 解得 $x_{1}=\frac{3+3\sqrt{3}}{2},x_{2}=\frac{3-3\sqrt{3}}{2}$.
(3)$x^{2}+x=\frac{3}{4},x^{2}+x+(\frac{1}{2})^{2}=\frac{3}{4}+(\frac{1}{2})^{2}$,即 $(x+\frac{1}{2})^{2}=1,\therefore x+\frac{1}{2}=\pm 1.\therefore x_{1}=\frac{1}{2},x_{2}=-\frac{3}{2}$.
5. 新考向 过程性学习 阅读下列解答过程,在横线上填入恰当的内容。
解方程:$2x^{2}-8x - 18 = 0$。
解:移项,得 $2x^{2}-8x = 18$。①
两边同时除以 2,得 $x^{2}-4x = 9$。②
配方,得 $x^{2}-4x + 4 = 9$,③
即 $(x - 2)^{2} = 9$。
$\therefore x - 2 = \pm 3$。④
$\therefore x_{1} = 5$,$x_{2} = -1$。⑤
上述过程中有没有错误?若有,错在步骤
请写出正确的解答过程。
解方程:$2x^{2}-8x - 18 = 0$。
解:移项,得 $2x^{2}-8x = 18$。①
两边同时除以 2,得 $x^{2}-4x = 9$。②
配方,得 $x^{2}-4x + 4 = 9$,③
即 $(x - 2)^{2} = 9$。
$\therefore x - 2 = \pm 3$。④
$\therefore x_{1} = 5$,$x_{2} = -1$。⑤
上述过程中有没有错误?若有,错在步骤
③
(填序号),原因是配方时,只在方程的左边加上一次项系数一半的平方,而在右边忘记加
。请写出正确的解答过程。
答案:
5. 解:③ 配方时,只在方程的左边加上一次项系数一半的平方,而在右边忘记加 移项,得 $2x^{2}-8x=18$. 两边同时除以 2,得 $x^{2}-4x=9$. 配方,得 $x^{2}-4x+4=9+4$,即 $(x-2)^{2}=13.\therefore x-2=\pm \sqrt{13}.\therefore x_{1}=2+\sqrt{13},x_{2}=2-\sqrt{13}$.
查看更多完整答案,请扫码查看