第15页
- 第1页
- 第2页
- 第3页
- 第4页
- 第5页
- 第6页
- 第7页
- 第8页
- 第9页
- 第10页
- 第11页
- 第12页
- 第13页
- 第14页
- 第15页
- 第16页
- 第17页
- 第18页
- 第19页
- 第20页
- 第21页
- 第22页
- 第23页
- 第24页
- 第25页
- 第26页
- 第27页
- 第28页
- 第29页
- 第30页
- 第31页
- 第32页
- 第33页
- 第34页
- 第35页
- 第36页
- 第37页
- 第38页
- 第39页
- 第40页
- 第41页
- 第42页
- 第43页
- 第44页
- 第45页
- 第46页
- 第47页
- 第48页
- 第49页
- 第50页
- 第51页
- 第52页
- 第53页
- 第54页
- 第55页
- 第56页
- 第57页
- 第58页
- 第59页
- 第60页
- 第61页
- 第62页
- 第63页
- 第64页
- 第65页
- 第66页
- 第67页
- 第68页
- 第69页
- 第70页
- 第71页
- 第72页
- 第73页
- 第74页
- 第75页
- 第76页
- 第77页
- 第78页
- 第79页
- 第80页
- 第81页
- 第82页
- 第83页
- 第84页
- 第85页
- 第86页
- 第87页
- 第88页
- 第89页
- 第90页
- 第91页
- 第92页
1. 已知 $ y = (k - 2)x^{k^{2} - 5} $ 是反比例函数,那么 $ k $ 的值是
-2
.
答案:
-2
2. (2023·郴州永兴县期中)若函数 $ y = (m + 2)x^{|m| - 3} $ 是反比例函数,则 $ m $ 的值是(
A.2
B.-2
C.$ \pm 2 $
D.1
A
)A.2
B.-2
C.$ \pm 2 $
D.1
答案:
A
3. (2023·济南)已知点 $ A(-4,y_{1}) $,$ B(-2,y_{2}) $,$ C(3,y_{3}) $ 都在反比例函数 $ y = \frac{k}{x}(k < 0) $ 的图象上,则 $ y_{1} $,$ y_{2} $,$ y_{3} $ 的大小关系为(
A.$ y_{3} < y_{2} < y_{1} $
B.$ y_{1} < y_{3} < y_{2} $
C.$ y_{3} < y_{1} < y_{2} $
D.$ y_{2} < y_{3} < y_{1} $
C
)A.$ y_{3} < y_{2} < y_{1} $
B.$ y_{1} < y_{3} < y_{2} $
C.$ y_{3} < y_{1} < y_{2} $
D.$ y_{2} < y_{3} < y_{1} $
答案:
C
4. 若 $ A(a_{1},b_{1}) $,$ B(a_{2},b_{2}) $ 是反比例函数 $ y = -\frac{\sqrt{2}}{x} $ 图象上的两个点,且 $ a_{1} < a_{2} $,则 $ b_{1} $,$ b_{2} $ 的大小关系是(
A.$ b_{1} \leq b_{2} $
B.$ b_{1} = b_{2} $
C.$ b_{1} > b_{2} $
D.无法确定
D
)A.$ b_{1} \leq b_{2} $
B.$ b_{1} = b_{2} $
C.$ b_{1} > b_{2} $
D.无法确定
答案:
D
5. (2024·长沙期中)如图,$ P $ 是反比例函数 $ y = \frac{k}{x}(k \neq 0) $ 的图象上任意一点,过点 $ P $ 作 $ PM \perp x $ 轴,垂足为 $ M $。若 $ \triangle POM $ 的面积等于 5,则 $ k $ 的值为(

A.2.5
B.10
C.-10
D.-5
C
)A.2.5
B.10
C.-10
D.-5
答案:
C
6. 如图,在平面直角坐标系中,点 $ M $ 为 $ x $ 轴正半轴上一点,过点 $ M $ 的直线 $ l // y $ 轴,且直线 $ l $ 分别与反比例函数 $ y = \frac{8}{x}(x > 0) $ 和 $ y = \frac{k}{x}(x > 0) $ 的图象交于 $ P $,$ Q $ 两点。若 $ S_{\triangle POQ} = 13 $,则 $ k $ 的值为(

A.-18
B.-5
C.5
D.18
A
)A.-18
B.-5
C.5
D.18
答案:
A
7. 已知 $ y = y_{1} + y_{2} $,$ y_{1} $ 与 $ (x - 1) $ 成反比例,$ y_{2} $ 与 $ x $ 成正比例,且当 $ x = 2 $ 时,$ y_{1} = 4 $,$ y = 2 $。
(1) 求 $ y $ 关于 $ x $ 的函数表达式;
(2) 求当 $ x = 3 $ 时的函数值 $ y $。
(1) 求 $ y $ 关于 $ x $ 的函数表达式;
(2) 求当 $ x = 3 $ 时的函数值 $ y $。
答案:
7.解:
(1)设$ y_{1}=\frac{k_{1}}{x-1},y_{2}=k_{2}x(k_{2}\neq0) $,
∴$ y=y_{1}+y_{2}=\frac{k_{1}}{x-1}+k_{2}x $.
∵当$ x=2 $时,$ y_{1}=4 $,
∴$ 4=\frac{k_{1}}{2-1} $.
∴$ k_{1}=4 $.
∴$ y=\frac{4}{x-1}+k_{2}x $.
∵当$ x=2 $时,$ y=2 $,
∴$ 2=\frac{4}{2-1}+2k_{2} $,解得$ k_{2}=-1 $.
∴$ y=\frac{4}{x-1}-x $.
(2)当$ x=3 $时,$ y=\frac{4}{3-1}-3=-1 $.
(1)设$ y_{1}=\frac{k_{1}}{x-1},y_{2}=k_{2}x(k_{2}\neq0) $,
∴$ y=y_{1}+y_{2}=\frac{k_{1}}{x-1}+k_{2}x $.
∵当$ x=2 $时,$ y_{1}=4 $,
∴$ 4=\frac{k_{1}}{2-1} $.
∴$ k_{1}=4 $.
∴$ y=\frac{4}{x-1}+k_{2}x $.
∵当$ x=2 $时,$ y=2 $,
∴$ 2=\frac{4}{2-1}+2k_{2} $,解得$ k_{2}=-1 $.
∴$ y=\frac{4}{x-1}-x $.
(2)当$ x=3 $时,$ y=\frac{4}{3-1}-3=-1 $.
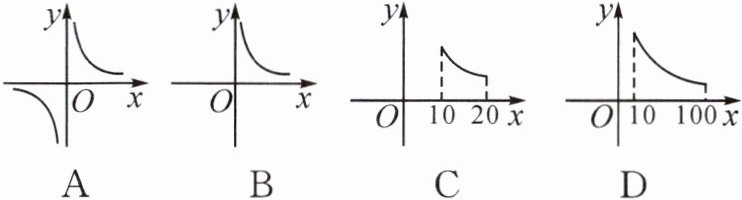
8. 某学校要种植一块面积为 $ 200\ m^{2} $ 的矩形草坪,要求两边长均不小于 10 m,则草坪的一边长 $ y(m) $ 随另一边长 $ x(m) $ 的变化而变化的图象可能是(

C
)
答案:
C
9. (2023·金华改编)如图,一次函数 $ y = ax + b $ 的图象与反比例函数 $ y = \frac{k}{x} $ 的图象交于点 $ A(2,3) $,$ B(m,-2) $,则不等式 $ ax + b > \frac{k}{x} $ 的解是

-3<x<0 或 x>2
.
答案:
-3<x<0 或 x>2
查看更多完整答案,请扫码查看