第46页
- 第1页
- 第2页
- 第3页
- 第4页
- 第5页
- 第6页
- 第7页
- 第8页
- 第9页
- 第10页
- 第11页
- 第12页
- 第13页
- 第14页
- 第15页
- 第16页
- 第17页
- 第18页
- 第19页
- 第20页
- 第21页
- 第22页
- 第23页
- 第24页
- 第25页
- 第26页
- 第27页
- 第28页
- 第29页
- 第30页
- 第31页
- 第32页
- 第33页
- 第34页
- 第35页
- 第36页
- 第37页
- 第38页
- 第39页
- 第40页
- 第41页
- 第42页
- 第43页
- 第44页
- 第45页
- 第46页
- 第47页
- 第48页
- 第49页
- 第50页
- 第51页
- 第52页
- 第53页
- 第54页
- 第55页
- 第56页
- 第57页
- 第58页
- 第59页
- 第60页
- 第61页
- 第62页
- 第63页
- 第64页
- 第65页
- 第66页
- 第67页
- 第68页
- 第69页
- 第70页
- 第71页
- 第72页
- 第73页
- 第74页
- 第75页
- 第76页
- 第77页
- 第78页
- 第79页
- 第80页
- 第81页
- 第82页
- 第83页
- 第84页
- 第85页
9. 在如图所示的电路中,闭合开关,灯泡都不发光。为了寻找灯泡不亮的原因,将一根完好的导线一端固定在电源正极,另一端依次接触 a、b、c、d 四个接线柱,发现只有与 d 接线柱接触时灯泡$L_{1}$才发光。若电路中只有一处断路,位置可能是(

A.导线①
B.开关
C.导线②
D.灯泡$L_{2}$
D
)A.导线①
B.开关
C.导线②
D.灯泡$L_{2}$
答案:
9.D
10. 在橡胶、塑料、石墨、陶瓷等材料中,属于导体的是
石墨
;电风扇与控制它的调速开关之间是串
(选填“串”或“并”)联的。
答案:
10.石墨 串
11.(2025·广东深圳模拟)某电动汽车使用固态电池供电,如图为其简化的电路示意图。电池供电时,实现化学能转化为

电
能,图中电流经过用电器的方向是向右
(选填“向左”或“向右”)的。
答案:
11.电 向右
12.(2025·陕西西安一模)如图甲所示的电蚊拍有灭蚊和照明两个功能,图乙是其简易电路图。闭合开关

S₁
时,可以灭蚊;闭合开关S₁、S₂
时,可以既灭蚊又照明。
答案:
12.S₁ S₁、S₂
13. 在如图所示的实物连接图上改动一根导线,使电路连接正确且闭合开关 S 后两盏灯并联。(在需要改动的导线上画“×”,并用笔画线代替导线完成电路改接)

答案:
13.
13.
14. 如图所示,连入电路中的电灯$L_{1}$、$L_{2}$、$L_{3}$允许通过的最大电流分别为$I_{1}$、$I_{2}$、$I_{3}$,且$I_{1}>I_{2}>I_{3}$,则此部分电路允许通过的最大电流是(

A.$I_{1}$
B.$I_{2}$
C.$I_{3}$
D.$I_{1}+I_{2}+I_{3}$
C
)A.$I_{1}$
B.$I_{2}$
C.$I_{3}$
D.$I_{1}+I_{2}+I_{3}$
答案:
14.C
15. 如图甲所示电路中,开关 S 闭合后,两个电流表指针位置均如图乙所示,则经过$L_{2}$的电流为

1.2
A;若$L_{2}$灯丝断了,电流表 A 的示数会变为0.3
A。
答案:
15.1.2 0.3
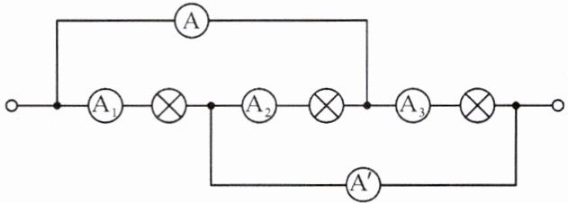
16. 如图所示,电流表$A_{1}$、$A_{2}$、$A_{3}$的示数分别为 30 mA、50 mA、70 mA,则电流表 A 和电流表$A'$的示数之差是

40
mA。
答案:
16.40
查看更多完整答案,请扫码查看