第71页
- 第1页
- 第2页
- 第3页
- 第4页
- 第5页
- 第6页
- 第7页
- 第8页
- 第9页
- 第10页
- 第11页
- 第12页
- 第13页
- 第14页
- 第15页
- 第16页
- 第17页
- 第18页
- 第19页
- 第20页
- 第21页
- 第22页
- 第23页
- 第24页
- 第25页
- 第26页
- 第27页
- 第28页
- 第29页
- 第30页
- 第31页
- 第32页
- 第33页
- 第34页
- 第35页
- 第36页
- 第37页
- 第38页
- 第39页
- 第40页
- 第41页
- 第42页
- 第43页
- 第44页
- 第45页
- 第46页
- 第47页
- 第48页
- 第49页
- 第50页
- 第51页
- 第52页
- 第53页
- 第54页
- 第55页
- 第56页
- 第57页
- 第58页
- 第59页
- 第60页
- 第61页
- 第62页
- 第63页
- 第64页
- 第65页
- 第66页
- 第67页
- 第68页
- 第69页
- 第70页
- 第71页
- 第72页
- 第73页
- 第74页
- 第75页
- 第76页
- 第77页
- 第78页
- 第79页
6[中]两个反比例函数$C_1:y=\frac{2}{x}$和$C_2:y=\frac{1}{x}$在第一象限内的图像如图所示,设点P在$C_1$上,PC⊥x轴于点C,交$C_2$于点A,PD⊥y轴于点D,交$C_2$于点B,则四边形PAOB的面积为 ( )

A. 1
B. 2
C. 3
D. 4
A. 1
B. 2
C. 3
D. 4
答案:
6. A 【解析】$\because PC \perp x$轴,$PD \perp y$轴,$\therefore S_{\triangle AOC} = S_{\triangle BOD} = \frac{1}{2} \times \vert 1 \vert = \frac{1}{2}$,$S_{矩形PCOD} = \vert 2 \vert = 2$,$\therefore$ 四边形$PAOB$的面积为$2 - 2 \times \frac{1}{2} = 1$。
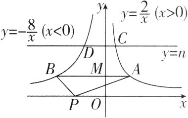
7[2024安徽安庆调研,中]已知反比例函数$y=\frac{2}{x}(x>0)$和反比例函数$y=-\frac{8}{x}(x<0)$的图像如图所示.
(1)点A在反比例函数$y=\frac{2}{x}(x>0)$的图像上,过点A作y轴的垂线交反比例函数$y=-\frac{8}{x}(x<0)$的图像于点B,交y轴于点M,点P在x轴上,连接PA,PB,求△PAB的面积;
(2)直线y = n(n>0)交反比例函数$y=\frac{2}{x}(x>0)$的图像于点C,交反比例函数$y=-\frac{8}{x}(x<0)$的图像于点D,若CD = 4,求n的值.

(1)点A在反比例函数$y=\frac{2}{x}(x>0)$的图像上,过点A作y轴的垂线交反比例函数$y=-\frac{8}{x}(x<0)$的图像于点B,交y轴于点M,点P在x轴上,连接PA,PB,求△PAB的面积;
(2)直线y = n(n>0)交反比例函数$y=\frac{2}{x}(x>0)$的图像于点C,交反比例函数$y=-\frac{8}{x}(x<0)$的图像于点D,若CD = 4,求n的值.
答案:
【解】
(1)如图,连接$OA$,$OB$。$\because AB \perp y$轴,$\therefore S_{\triangle OAM} = 1$,$S_{\triangle OBM} = 4$,$\therefore S_{\triangle OAB} = S_{\triangle OAM} + S_{\triangle OBM} = 1 + 4 = 5$。$\because AB // x$轴,$\therefore S_{\triangle PAB} = S_{\triangle OAB} = 5$。
(2)当$y_C = y_D = n$时,$y_C = \frac{2}{x_C} = n$,$y_D = -\frac{8}{x_D} = n$,
$\therefore x_C = \frac{2}{n}$,$x_D = -\frac{8}{n}$,$\therefore CD = \frac{2}{n} - (-\frac{8}{n}) = \frac{10}{n}$。
$\because CD = 4$,$\therefore \frac{10}{n} = 4$,解得$n = \frac{5}{2}$,经检验,$n = \frac{5}{2}$是分式方程的解,$\therefore n = \frac{5}{2}$。
【解】
(1)如图,连接$OA$,$OB$。$\because AB \perp y$轴,$\therefore S_{\triangle OAM} = 1$,$S_{\triangle OBM} = 4$,$\therefore S_{\triangle OAB} = S_{\triangle OAM} + S_{\triangle OBM} = 1 + 4 = 5$。$\because AB // x$轴,$\therefore S_{\triangle PAB} = S_{\triangle OAB} = 5$。
(2)当$y_C = y_D = n$时,$y_C = \frac{2}{x_C} = n$,$y_D = -\frac{8}{x_D} = n$,
$\therefore x_C = \frac{2}{n}$,$x_D = -\frac{8}{n}$,$\therefore CD = \frac{2}{n} - (-\frac{8}{n}) = \frac{10}{n}$。
$\because CD = 4$,$\therefore \frac{10}{n} = 4$,解得$n = \frac{5}{2}$,经检验,$n = \frac{5}{2}$是分式方程的解,$\therefore n = \frac{5}{2}$。
8[新考法][2024广东佛山顺德区质检,中]如图,平行于y轴的直尺(部分)与反比例函数$y=\frac{m}{x}(x>0)$的图像交于A,C两点,与x轴交于B,D两点,点A,B对应直尺上的刻度分别为5,2,直尺的宽度BD = 2,$S_{\triangle AOC}=5$,则点C的坐标是________.

答案:
$(6, 2)$ 【解析】$\because$ 直尺平行于$y$轴,$A$,$B$对应直尺的刻度分别为$5$,$2$,$\therefore AB = 3$,则$A$的坐标为$(\frac{m}{3}, 3)$,则$D$的坐标为$(\frac{m}{3} + 2, 0)$,
关键点拨
过$E$作$EC \perp x$轴于$C$,过$F$作$FD \perp x$轴于$D$,将$\triangle EOF$的面积转化为梯形$ECDF$的面积求解即可。
思路分析
设点$A$横坐标为$a$,则可得到点$A$,$B$的坐标,进而得到$a^2 = 2a(2a - 1)$,解之即可。
$\therefore C(\frac{m}{3} + 2, \frac{3m}{m + 6})$。$\because S_{\triangle AOC} = S_{\triangle AOB} + S_{梯形ABDC} - S_{\triangle OCD} = 5$,$S_{\triangle AOB} = S_{\triangle OCD}$,$\therefore S_{梯形ABDC} = 5$,
$\therefore (3 + \frac{3m}{m + 6}) \times 2 \times \frac{1}{2} = 5$,$\therefore m = 12$,经检验,$m = 12$是原方程的解,$\therefore C$的坐标为$(6, 2)$。故答案为$(6, 2)$。
关键点拨
过$E$作$EC \perp x$轴于$C$,过$F$作$FD \perp x$轴于$D$,将$\triangle EOF$的面积转化为梯形$ECDF$的面积求解即可。
思路分析
设点$A$横坐标为$a$,则可得到点$A$,$B$的坐标,进而得到$a^2 = 2a(2a - 1)$,解之即可。
$\therefore C(\frac{m}{3} + 2, \frac{3m}{m + 6})$。$\because S_{\triangle AOC} = S_{\triangle AOB} + S_{梯形ABDC} - S_{\triangle OCD} = 5$,$S_{\triangle AOB} = S_{\triangle OCD}$,$\therefore S_{梯形ABDC} = 5$,
$\therefore (3 + \frac{3m}{m + 6}) \times 2 \times \frac{1}{2} = 5$,$\therefore m = 12$,经检验,$m = 12$是原方程的解,$\therefore C$的坐标为$(6, 2)$。故答案为$(6, 2)$。
9[2024江苏盐城期末,中]如图,点E,F在函数$y=\frac{2}{x}(x>0)$的图像上,直线EF分别与x轴、y轴交于点A,B,且点A的横坐标为4,点B的纵坐标为$\frac{8}{3}$,则△EOF的面积是________.

答案:
$\frac{8}{3}$ 【解析】如图,过$E$作$EC \perp x$轴于$C$,过$F$作$FD \perp x$轴于$D$。由题意可得,点$A$,$B$的坐标分别为$(4, 0)$,$(0, \frac{8}{3})$,则易得直线$AB$的表达式为$y = -\frac{2}{3}x + \frac{8}{3}$。联立$\begin{cases}y = -\frac{2}{3}x + \frac{8}{3} \\ y = \frac{2}{x} \end{cases}$,解得$\begin{cases}x = 1 \\ y = 2 \end{cases}$或$\begin{cases}x = 3 \\ y = \frac{2}{3} \end{cases}$,$\therefore$ 点$E$的坐标为$(1, 2)$,点$F$的坐标为$(3, \frac{2}{3})$,$\therefore CE = 2$,$DF = \frac{2}{3}$,$CD = 3 - 1 = 2$。
$\because S_{\triangle OEF} + S_{\triangle OFD} = S_{\triangle OEC} + S_{梯形ECDF}$,$S_{\triangle OFD} = S_{\triangle OEC} = \frac{1}{2} \times 2 = 1$,$\therefore S_{\triangle OEF} = S_{梯形ECDF} = \frac{1}{2}(DF + CE) \times CD = \frac{1}{2} \times (\frac{2}{3} + 2) \times 2 = \frac{8}{3}$。故答案为$\frac{8}{3}$。
$\frac{8}{3}$ 【解析】如图,过$E$作$EC \perp x$轴于$C$,过$F$作$FD \perp x$轴于$D$。由题意可得,点$A$,$B$的坐标分别为$(4, 0)$,$(0, \frac{8}{3})$,则易得直线$AB$的表达式为$y = -\frac{2}{3}x + \frac{8}{3}$。联立$\begin{cases}y = -\frac{2}{3}x + \frac{8}{3} \\ y = \frac{2}{x} \end{cases}$,解得$\begin{cases}x = 1 \\ y = 2 \end{cases}$或$\begin{cases}x = 3 \\ y = \frac{2}{3} \end{cases}$,$\therefore$ 点$E$的坐标为$(1, 2)$,点$F$的坐标为$(3, \frac{2}{3})$,$\therefore CE = 2$,$DF = \frac{2}{3}$,$CD = 3 - 1 = 2$。
$\because S_{\triangle OEF} + S_{\triangle OFD} = S_{\triangle OEC} + S_{梯形ECDF}$,$S_{\triangle OFD} = S_{\triangle OEC} = \frac{1}{2} \times 2 = 1$,$\therefore S_{\triangle OEF} = S_{梯形ECDF} = \frac{1}{2}(DF + CE) \times CD = \frac{1}{2} \times (\frac{2}{3} + 2) \times 2 = \frac{8}{3}$。故答案为$\frac{8}{3}$。
查看更多完整答案,请扫码查看