第22页
- 第1页
- 第2页
- 第3页
- 第4页
- 第5页
- 第6页
- 第7页
- 第8页
- 第9页
- 第10页
- 第11页
- 第12页
- 第13页
- 第14页
- 第15页
- 第16页
- 第17页
- 第18页
- 第19页
- 第20页
- 第21页
- 第22页
- 第23页
- 第24页
- 第25页
- 第26页
- 第27页
- 第28页
- 第29页
- 第30页
- 第31页
- 第32页
- 第33页
- 第34页
- 第35页
- 第36页
- 第37页
- 第38页
- 第39页
- 第40页
- 第41页
- 第42页
- 第43页
- 第44页
- 第45页
- 第46页
- 第47页
- 第48页
- 第49页
- 第50页
- 第51页
- 第52页
- 第53页
- 第54页
- 第55页
- 第56页
- 第57页
- 第58页
- 第59页
- 第60页
- 第61页
- 第62页
- 第63页
- 第64页
- 第65页
- 第66页
- 第67页
- 第68页
- 第69页
- 第70页
- 第71页
- 第72页
- 第73页
- 第74页
- 第75页
- 第76页
- 第77页
- 第78页
- 第79页
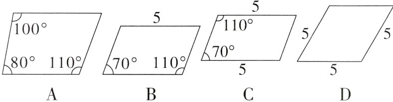
1[2024江苏苏州虎丘区校级期中]根据下列四边形中所标的数据,一定能判定其为平行四边形的是( )

答案:
C【解析】A选项,由同旁内角互补,两直线平行判定四边形上下一组对边平行,左右一组对边不平行,故四边形不是平行四边形,故A不符合题意;B选项,由同旁内角互补,两直线平行判定四边形左右一组对边平行,不能判定左右一组对边相等或上下一组对边平行,故不能判定四边形是平行四边形,故B不符合题意;C选项,由同旁内角互补,两直线平行判定四边形上下一组对边平行,结合上下一组对边相等,可以判定四边形是平行四边形,故C符合题意;D选项,四边形的左右一组对边相等,但不能判定上下一组对边相等或左右一组对边平行,故不能判定四边形是平行四边形,故D不符合题意. 故选C.
2已知四边形ABCD中,AB//CD,AB = CD,四边形ABCD的周长为40 cm,两邻边的比是3:2,则较长边的长是( )
A. 8 cm
B. 10 cm
C. 12 cm
D. 14 cm
A. 8 cm
B. 10 cm
C. 12 cm
D. 14 cm
答案:
C【解析】$\because AB// CD$,$AB = CD$,$\therefore$四边形$ABCD$是平行四边形,$\therefore AD = BC$. 设平行四边形$ABCD$的两邻边长分别是$3x\ cm$,$2x\ cm$.$\because$平行四边形$ABCD$的周长是$40\ cm$,$\therefore 2(3x + 2x)=40$,解得$x = 4$,$\therefore$较长边的长是$3\times4 = 12(cm)$.
3[2023江苏扬州江都区期末]如图,点A,B,C,D在网格中小正方形的顶点处,AD与BC相交于点O,若小正方形的边长为1,则DO的长为________.

答案:
3【解析】如图,取一点$E$,使$CE = AB$,连接$AE$.$\because AB// EC$,$AB = EC = 2$,$\therefore$四边形$AECB$是平行四边形,$\therefore AE// BC$.$\because AD=\sqrt{3^{2}+4^{2}} = 5$,$DE = 5$,$\therefore AD = DE$,$\therefore \angle DAE=\angle DEA$.$\because AE// BC$,$\therefore \angle DAE=\angle DOC$,$\angle DEA=\angle DCO$,$\therefore \angle DOC=\angle DCO$,$\therefore DO = DC = 3$.
3【解析】如图,取一点$E$,使$CE = AB$,连接$AE$.$\because AB// EC$,$AB = EC = 2$,$\therefore$四边形$AECB$是平行四边形,$\therefore AE// BC$.$\because AD=\sqrt{3^{2}+4^{2}} = 5$,$DE = 5$,$\therefore AD = DE$,$\therefore \angle DAE=\angle DEA$.$\because AE// BC$,$\therefore \angle DAE=\angle DOC$,$\angle DEA=\angle DCO$,$\therefore \angle DOC=\angle DCO$,$\therefore DO = DC = 3$.
4[2024陕西西安校级模拟]如图,△ABC与△DEF的边BC,EF在同一条直线上,AB//DE,AC//DF且BE = CF,求证:四边形ABED是平行四边形.

答案:
【证明】$\because BE = CF$,$\therefore BE + EC = EC + CF$,即$BC = EF$.$\because AB// DE$,$AC// DF$,$\therefore \angle B=\angle DEF$,$\angle ACE=\angle F$,$\therefore \triangle ABC\cong \triangle DEF(ASA)$,$\therefore AB = DE$.又$\because AB// DE$,$\therefore$四边形$ABED$是平行四边形.
5如图,点A,F,C,D在同一直线上,AB = DE,AF = CD,BC = EF.
(1)求证:∠ACB = ∠DFE;
建议用时20分钟答案D13
(2)连接BF,CE,直接判断四边形BFEC的形状.

(1)求证:∠ACB = ∠DFE;
建议用时20分钟答案D13
(2)连接BF,CE,直接判断四边形BFEC的形状.
答案:
(1)【证明】$\because AF = CD$,$\therefore AF + CF = CD + CF$,即$AC = DF$. 在$\triangle ABC$和$\triangle DEF$中,$\begin{cases}AB = DE,\\BC = EF,\\AC = DF,\end{cases}$$\therefore \triangle ABC\cong \triangle DEF(SSS)$,$\therefore \angle ACB=\angle DFE$.
(2)【解】四边形$BFEC$是平行四边形.由(1)可知,$\angle ACB=\angle DFE$,$\therefore BC// EF$. 又$\because BC = EF$,$\therefore$四边形$BFEC$是平行四边形.
(2)【解】四边形$BFEC$是平行四边形.由(1)可知,$\angle ACB=\angle DFE$,$\therefore BC// EF$. 又$\because BC = EF$,$\therefore$四边形$BFEC$是平行四边形.
6[2024四川成都模拟]如图,在四边形ABCD中,AD//BC,若添加一个条件,使四边形ABCD为平行四边形,则下列正确的是( )

A. AB = CD
B. AB = AD
C. ∠ADB = ∠DBC
D. ∠ABC = ∠ADC
A. AB = CD
B. AB = AD
C. ∠ADB = ∠DBC
D. ∠ABC = ∠ADC
答案:
D【解析】A选项,$\because AD// BC$,$AB = CD$,$\therefore$四边形$ABCD$可能是平行四边形,也可能是等腰梯形,$\therefore$四边形$ABCD$不一定是平行四边形,故A不符合题意. B选项,$\because AD// BC$,$AB = AD$,$\therefore$四边形$ABCD$是一组对边平行且一组邻边相等的四边形,$\therefore$四边形$ABCD$不一定是平行四边形,故B不符合题意. C选项,$\because AD// BC$,$\therefore \angle ADB=\angle DBC$.$\because$只知道四边形$ABCD$有一组对边平行,$\therefore$四边形$ABCD$不一定是平行四边形,故C不符合题意. D选项,$\because BC// AD$,$\therefore \angle DBC=\angle ADB$.$\because \angle ABC=\angle ADC$,$\therefore \angle ABC-\angle DBC=\angle ADC-\angle ADB$,$\therefore \angle ABD=\angle CDB$,$\therefore AB// CD$,$\therefore$四边形$ABCD$是平行四边形,故D符合题意,故选D.
7如图,▱ABCD的面积为4,点P在对角线AC上,E,F分别在边AB,AD上,且PE//BC,PF//CD,连接EF,图中阴影部分的面积为( )

A. 1.8
B. 2
C. 2.4
D. 3
A. 1.8
B. 2
C. 2.4
D. 3
答案:
B【解析】设$EF$交$AC$于点$O$.$\because$四边形$ABCD$是平行四边形,$\therefore AB// CD$,$AD// BC$.$\because PE// BC$,$PF// CD$,$\therefore AE// PF$,$AF// EP$,$\therefore$四边形$AEPF$是平行四边形,$\therefore S_{\triangle AEO}=S_{\triangle PFO}$,$\therefore S_{阴影}=S_{\triangle ACD}=\frac{1}{2}S_{\square ABCD}=\frac{1}{2}\times4 = 2$,故选B.
8[2024北京通州区期中]如图,在四边形ABCD中,AE⊥BD,CF⊥BD,垂足分别为E,F. 请你只添加一个条件:____________(不另加辅助线),使得四边形AECF为平行四边形.

答案:
$\angle AFE=\angle CEF$(答案不唯一)【解析】添加条件$\angle AFE=\angle CEF$,理由:$\because AE\perp BD$,$CF\perp BD$,$\therefore AE// CF$.$\because \angle AFE=\angle CEF$,$\therefore AF// CE$,$\therefore$四边形$AECF$为平行四边形. 故答案为$\angle AFE=\angle CEF$(答案不唯一).
9如图,E,F,G,H分别为▱ABCD的边AD,AB,BC,CD上的点,且AE = CG,BF = DH. 求证:四边形EFGH是平行四边形.

答案:
【证明】$\because$四边形$ABCD$是平行四边形,$\therefore \angle A=\angle C$,$AB = CD$.$\because BF = DH$,$\therefore AB - BF = CD - DH$,即$AF = CH$.在$\triangle AEF$和$\triangle CGH$中,$\begin{cases}AF = CH,\\\angle A=\angle C,\\AE = CG,\end{cases}$$\therefore \triangle AEF\cong \triangle CGH(SAS)$,$\therefore EF = GH$,同理可得$\triangle BGF\cong \triangle DEH$,$\therefore FG = EH$,$\therefore$四边形$EFGH$是平行四边形.
查看更多完整答案,请扫码查看