2025年5年高考3年模拟高中化学必修第二册苏教版
注:目前有些书本章节名称可能整理的还不是很完善,但都是按照顺序排列的,请同学们按照顺序仔细查找。练习册 2025年5年高考3年模拟高中化学必修第二册苏教版 答案主要是用来给同学们做完题方便对答案用的,请勿直接抄袭。
第76页
- 第1页
- 第2页
- 第3页
- 第4页
- 第5页
- 第6页
- 第7页
- 第8页
- 第9页
- 第10页
- 第11页
- 第12页
- 第13页
- 第14页
- 第15页
- 第16页
- 第17页
- 第18页
- 第19页
- 第20页
- 第21页
- 第22页
- 第23页
- 第24页
- 第25页
- 第26页
- 第27页
- 第28页
- 第29页
- 第30页
- 第31页
- 第32页
- 第33页
- 第34页
- 第35页
- 第36页
- 第37页
- 第38页
- 第39页
- 第40页
- 第41页
- 第42页
- 第43页
- 第44页
- 第45页
- 第46页
- 第47页
- 第48页
- 第49页
- 第50页
- 第51页
- 第52页
- 第53页
- 第54页
- 第55页
- 第56页
- 第57页
- 第58页
- 第59页
- 第60页
- 第61页
- 第62页
- 第63页
- 第64页
- 第65页
- 第66页
- 第67页
- 第68页
- 第69页
- 第70页
- 第71页
- 第72页
- 第73页
- 第74页
- 第75页
- 第76页
- 第77页
1. (2025 北京,3) 下列说法
A.糖类、蛋白质和油脂均为天然高分子
B.蔗糖发生水解反应所得产物互为同分异构体
C.蛋白质在酶的作用下水解可得到氨基酸
D.不饱和液态植物油通过催化加氢可提高饱和度
不
正
确
的是 ()A.糖类、蛋白质和油脂均为天然高分子
B.蔗糖发生水解反应所得产物互为同分异构体
C.蛋白质在酶的作用下水解可得到氨基酸
D.不饱和液态植物油通过催化加氢可提高饱和度
答案:
1.A 糖类中的部分物质(例如单糖、二糖等)和油脂不属于高分子,A项错误。蔗糖水解后生成的葡萄糖和果糖互为同分异构体,B项正确。蛋白质在酶的作用下水解可得到氨基酸,C项正确。植物油中的不饱和高级脂肪酸甘油酯含有碳碳双键,能与氢气在催化剂作用下发生加成反应,从而提高饱和度,D项正确。
2. (2025 安徽,3) 用下列化学知识解释对应劳动项目
| 选项 | 劳动项目 | 化学知识 |
| --- | --- | --- |
| A | 用大米制麦芽糖 | 淀粉水解生成麦芽糖 |
| B | 用次氯酸钠溶液消毒 | 次氯酸钠溶液呈碱性 |
| C | 给小麦施氮肥 | 氮是小麦合成蛋白质的必需元素 |
| D | 用肥皂洗涤油污 | 肥皂中的高级脂肪酸钠含有亲水基和疏水基 |
不
合
理
的是 ()| 选项 | 劳动项目 | 化学知识 |
| --- | --- | --- |
| A | 用大米制麦芽糖 | 淀粉水解生成麦芽糖 |
| B | 用次氯酸钠溶液消毒 | 次氯酸钠溶液呈碱性 |
| C | 给小麦施氮肥 | 氮是小麦合成蛋白质的必需元素 |
| D | 用肥皂洗涤油污 | 肥皂中的高级脂肪酸钠含有亲水基和疏水基 |
答案:
2.B 大米中的淀粉发生水解反应可生成麦芽糖,A项正确。次氯酸钠溶液用于消毒的原理是其具有强氧化性,B项错误。蛋白质中含有氮元素,故给小麦施氮肥,有利于小麦合成蛋白质,C项正确。肥皂中的高级脂肪酸钠的烃基为疏水基,$—\mathrm{COO^-}$为亲水基,油污是疏水的,会被包裹在高级脂肪酸钠形成的胶束的内腔,从而被洗涤除去,D项正确。
3. (2024 广东,4 改编) 我国饮食注重营养均衡, 讲究“色香味形”。下列说法不正确的是 ()
A.烹饪糖醋排骨用蔗糖炒出焦糖色, 蔗糖属于二糖
B.新鲜榨得的花生油具有独特油香, 油脂属于芳香烃
C.凉拌黄瓜加醋使其具有可口酸味, 食醋可用于除水垢
D.端午时节用粽叶将糯米包裹成形, 糯米中的淀粉可水解
A.烹饪糖醋排骨用蔗糖炒出焦糖色, 蔗糖属于二糖
B.新鲜榨得的花生油具有独特油香, 油脂属于芳香烃
C.凉拌黄瓜加醋使其具有可口酸味, 食醋可用于除水垢
D.端午时节用粽叶将糯米包裹成形, 糯米中的淀粉可水解
答案:
3.B 蔗糖可水解生成葡萄糖和果糖,属于二糖,A正确;油脂是高级脂肪酸的甘油酯,不属于烃,B错误;食醋中乙酸的酸性强于碳酸,因此食醋可用于除水垢,C正确;淀粉可水解生成葡萄糖,D正确。
考场速决
烃仅含$\mathrm{C}$、$\mathrm{H}$两种元素,而油脂由$\mathrm{C}$、$\mathrm{H}$、$\mathrm{O}$三种元素组成,据此可知B错误。
考场速决
烃仅含$\mathrm{C}$、$\mathrm{H}$两种元素,而油脂由$\mathrm{C}$、$\mathrm{H}$、$\mathrm{O}$三种元素组成,据此可知B错误。
4. (2024 山东,11) 中国美食享誉世界, 东坡诗句“芽姜紫醋炙银鱼”描述了古人烹饪时对食醋的妙用。食醋风味形成的关键是发酵, 包括淀粉水解、发酵制醇和发酵制酸等三个阶段。下列说法错误的是 ()
A.淀粉水解阶段有葡萄糖产生
B.发酵制醇阶段有 CO₂ 产生
C.发酵制酸阶段有酯类物质产生
D.上述三个阶段均应在无氧条件下进行
A.淀粉水解阶段有葡萄糖产生
B.发酵制醇阶段有 CO₂ 产生
C.发酵制酸阶段有酯类物质产生
D.上述三个阶段均应在无氧条件下进行
答案:
4.D 发酵制酸需要氧气参与,D错误。
5. (22 辽宁,4) 下列关于苯乙炔 ( ) 的说法正确的是 ()
A.不能使酸性 KMnO₄ 溶液褪色
B.分子中最多有 5 个原子共直线
C.能发生加成反应和取代反应
D.可溶于水
A.不能使酸性 KMnO₄ 溶液褪色
B.分子中最多有 5 个原子共直线
C.能发生加成反应和取代反应
D.可溶于水
答案:
5.C 苯乙炔分子中含碳碳三键,能使酸性$\mathrm{KMnO_4}$溶液褪色,A错误;分子中最多有6个原子共直线,即
,B错误;分子中含苯环和碳碳三键,能发生加成反应,苯环上的$\mathrm{H}$原子能被取代,可发生取代反应,C正确;苯乙炔属于烃,难溶于水,D错误。
规律方法
苯乙炔分子中含苯环和碳碳三键,分子结构中若出现一个碳碳三键,则至少有4个原子共线;分子结构中若出现一个苯环,则至少有4个原子共线,则苯乙炔分子中最多有6个原子共线。
5.C 苯乙炔分子中含碳碳三键,能使酸性$\mathrm{KMnO_4}$溶液褪色,A错误;分子中最多有6个原子共直线,即
规律方法
苯乙炔分子中含苯环和碳碳三键,分子结构中若出现一个碳碳三键,则至少有4个原子共线;分子结构中若出现一个苯环,则至少有4个原子共线,则苯乙炔分子中最多有6个原子共线。
6. (2023 浙江 6 月选考,10 改编) 丙烯可发生如下转化, 下列说法不正确的是 ()

A.丙烯分子中最多 7 个原子共平面
B.X 的结构简式为 CH₃CH=CHBr
C.丙烯生成 X、Y、Z 的反应类型均不相同
D.聚合物 Z 的链节为 —CH₂—CH—
|
CH₃
A.丙烯分子中最多 7 个原子共平面
B.X 的结构简式为 CH₃CH=CHBr
C.丙烯生成 X、Y、Z 的反应类型均不相同
D.聚合物 Z 的链节为 —CH₂—CH—
|
CH₃
答案:
6.B 乙烯分子中6个原子共平面,甲烷分子中最多3个原子共平面,则丙烯分子中最多7个原子共平面,A正确;丙烯生成$\mathrm{X}$是在光照条件下进行的,即丙烯的$—\mathrm{CH_3}$上氢原子被取代,则$\mathrm{X}$的结构简式为$\mathrm{BrCH_2—CH=CH_2}$,B错误;结合图示转化可知$\mathrm{Y}$、$\mathrm{Z}$分别为$\mathrm{CH_3—CHBr—CH_2Br}$和$\mathrm{CH_2—CH(CH_3)}$,则丙烯生成$\mathrm{X}$、$\mathrm{Y}$、$\mathrm{Z}$分别为取代反应、加成反应和加聚反应,C正确;由$\mathrm{Z}$的结构简式可知其链节为$—\mathrm{CH_2—CH}—$,D正确。
反思升华
解答本题需注意,丙烯生成$\mathrm{X}$、$\mathrm{Y}$都是与$\mathrm{Br_2}$发生反应,但是反应条件不同,对应的产物和反应类型也不同,即丙烯中的碳碳双键能和卤素单质发生加成反应,丙烯中的甲基在一定条件下也能发生取代反应。
反思升华
解答本题需注意,丙烯生成$\mathrm{X}$、$\mathrm{Y}$都是与$\mathrm{Br_2}$发生反应,但是反应条件不同,对应的产物和反应类型也不同,即丙烯中的碳碳双键能和卤素单质发生加成反应,丙烯中的甲基在一定条件下也能发生取代反应。
7. (2025 黑吉辽蒙,5) 一种强力胶的黏合原理如下图所示①。下列说法正确的是 ()

A.I 有 2 种官能团
B.II 可遇水溶解使黏合物分离
C.常温下 II 为固态
D.该反应为缩聚反应
①关键点拨 I→II 为加聚反应; 对点突破 P207 知识点 2
A.I 有 2 种官能团
B.II 可遇水溶解使黏合物分离
C.常温下 II 为固态
D.该反应为缩聚反应
①关键点拨 I→II 为加聚反应; 对点突破 P207 知识点 2
答案:
7.C
考教衔接
可看成是$—\mathrm{COOCH_3}$、$—\mathrm{CN}$取代了$\mathrm{CH_2=CH_2}$中同一个碳原子上的两个氢原子。
Ⅰ中所含官能团 教材中典型物质 推断性质
碳碳双键 乙烯 能加成、能加聚
酯基 乙酸乙酯 不溶于水
氰基 — —
Ⅰ中有碳碳双键、酯基、氰基3种官能团,A项错误。
Ⅱ为高分子,分子中烃基中的碳原子总数较大,且分子中没有强亲水基团,故Ⅱ在水中的溶解度较小,遇水不会溶解使黏合物分离,B项错误。Ⅱ为高分子,相对分子质量较大,范德华力较强,故常温下为固态,C项正确。Ⅰ中有碳碳双键,通过加成反应聚合形成Ⅱ,没有小分子生成,故该反应为加聚反应,D项错误。
7.C
考教衔接
Ⅰ中所含官能团 教材中典型物质 推断性质
碳碳双键 乙烯 能加成、能加聚
酯基 乙酸乙酯 不溶于水
氰基 — —
Ⅰ中有碳碳双键、酯基、氰基3种官能团,A项错误。
Ⅱ为高分子,分子中烃基中的碳原子总数较大,且分子中没有强亲水基团,故Ⅱ在水中的溶解度较小,遇水不会溶解使黏合物分离,B项错误。Ⅱ为高分子,相对分子质量较大,范德华力较强,故常温下为固态,C项正确。Ⅰ中有碳碳双键,通过加成反应聚合形成Ⅱ,没有小分子生成,故该反应为加聚反应,D项错误。
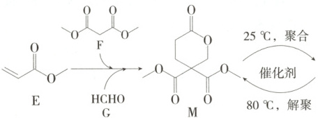
8. (2025 河南,11) 可持续高分子材料在纺织、生物医用等领域具有广阔的应用前景。一种
煤是由有机化合物和无机物组成的复杂混合物。煤中含量最高的元素是碳, 其次是氢和氧, 另外还有少量的硫,
在温和条件下制备高性能可持续聚酯 P 的路线如图所示。


下列说法错误的是 ()
A.E 能使溴的四氯化碳溶液褪色
B.由 E、F 和 G 合成 M 时, 有 HCOOH 生成①
C.P 在碱性条件下能够发生水解反应而降解
D.P 解聚生成 M 的过程中, 存在 C—O 键的断裂与形成
①关键点拨 有机反应产物的判断一般采用两种方法, 一是原子守恒法; 二是断、成键分析法。
煤是由有机化合物和无机物组成的复杂混合物。煤中含量最高的元素是碳, 其次是氢和氧, 另外还有少量的硫,
在温和条件下制备高性能可持续聚酯 P 的路线如图所示。
下列说法错误的是 ()
A.E 能使溴的四氯化碳溶液褪色
B.由 E、F 和 G 合成 M 时, 有 HCOOH 生成①
C.P 在碱性条件下能够发生水解反应而降解
D.P 解聚生成 M 的过程中, 存在 C—O 键的断裂与形成
①关键点拨 有机反应产物的判断一般采用两种方法, 一是原子守恒法; 二是断、成键分析法。
答案:
8.B $\mathrm{E}$中含碳碳双键,能与溴发生加成反应,使溴的四氯化碳溶液褪色,A正确。由$\mathrm{E}$、$\mathrm{F}$和$\mathrm{G}$合成$\mathrm{M}$时,可理解为①$\mathrm{F}$与$\mathrm{G}$发生加成反应生成
;
②
与$\mathrm{E}$发生酯交换反应生成
和$\mathrm{CH_3OH}$;
③
发生加成反应生成$\mathrm{M}$,故由$\mathrm{E}$、$\mathrm{F}$和$\mathrm{G}$合成$\mathrm{M}$时,有$\mathrm{CH_3OH}$生成,B错误。$\mathrm{P}$中含酯基,在碱性条件下能发生水解反应而降解,C正确。对比$\mathrm{P}$、$\mathrm{M}$的结构简式可知,$\mathrm{P}$解聚生成$\mathrm{M}$时,$\mathrm{P}$中链节之间的$\mathrm{C—O}$键断裂,形成$\mathrm{M}$中的$\mathrm{C—O}$键,故$\mathrm{P}$解聚生成$\mathrm{M}$的过程中存在$\mathrm{C—O}$键的断裂与形成,D正确。
8.B $\mathrm{E}$中含碳碳双键,能与溴发生加成反应,使溴的四氯化碳溶液褪色,A正确。由$\mathrm{E}$、$\mathrm{F}$和$\mathrm{G}$合成$\mathrm{M}$时,可理解为①$\mathrm{F}$与$\mathrm{G}$发生加成反应生成
②
③
查看更多完整答案,请扫码查看