2025年5年高考3年模拟高中化学必修第二册苏教版
注:目前有些书本章节名称可能整理的还不是很完善,但都是按照顺序排列的,请同学们按照顺序仔细查找。练习册 2025年5年高考3年模拟高中化学必修第二册苏教版 答案主要是用来给同学们做完题方便对答案用的,请勿直接抄袭。
第64页
- 第1页
- 第2页
- 第3页
- 第4页
- 第5页
- 第6页
- 第7页
- 第8页
- 第9页
- 第10页
- 第11页
- 第12页
- 第13页
- 第14页
- 第15页
- 第16页
- 第17页
- 第18页
- 第19页
- 第20页
- 第21页
- 第22页
- 第23页
- 第24页
- 第25页
- 第26页
- 第27页
- 第28页
- 第29页
- 第30页
- 第31页
- 第32页
- 第33页
- 第34页
- 第35页
- 第36页
- 第37页
- 第38页
- 第39页
- 第40页
- 第41页
- 第42页
- 第43页
- 第44页
- 第45页
- 第46页
- 第47页
- 第48页
- 第49页
- 第50页
- 第51页
- 第52页
- 第53页
- 第54页
- 第55页
- 第56页
- 第57页
- 第58页
- 第59页
- 第60页
- 第61页
- 第62页
- 第63页
- 第64页
- 第65页
- 第66页
- 第67页
- 第68页
- 第69页
- 第70页
- 第71页
- 第72页
- 第73页
- 第74页
- 第75页
- 第76页
- 第77页
1.(2025江苏苏州期末)栀子苷可用作治疗心脑血管、肝胆等疾病的原料药物,其结构简式如图所示。下列有关说法不正确的是

(
A.该有机物可以发生酯化反应
B.分子中含有3种含氧官能团
C.1mol该化合物最多能与2mol$\mathrm{NaOH}$反应
D.该化合物既能使酸性$\mathrm{KMnO_4}$溶液褪色,又能使溴的四氯化碳溶液褪色
(
C
)A.该有机物可以发生酯化反应
B.分子中含有3种含氧官能团
C.1mol该化合物最多能与2mol$\mathrm{NaOH}$反应
D.该化合物既能使酸性$\mathrm{KMnO_4}$溶液褪色,又能使溴的四氯化碳溶液褪色
答案:
1.C 该有机物中存在羟基,所以可以和羧酸发生酯化反应,A正确;分子中含酯基、醚键、羟基3种含氧官能团,B正确;其分子中只有1个酯基与NaOH反应,1mol该化合物最多能与1mol NaOH反应,C错误;该分子中含碳碳双键,既能使酸性KMnO₄溶液褪色,又能使溴的四氯化碳溶液褪色,D正确。
2.(2025云南临沧部分学校期末)一种活性物质的结构如图所示,下列有关该物质的叙述错误的是

(
A.该物质能发生分子内酯化反应
B.该物质能使酸性高锰酸钾溶液褪色
C.该物质分子中所有原子不可能在同一平面上
D.1mol该物质与足量$\mathrm{NaOH}$溶液反应,最多可消耗2mol$\mathrm{NaOH}$
(
D
)A.该物质能发生分子内酯化反应
B.该物质能使酸性高锰酸钾溶液褪色
C.该物质分子中所有原子不可能在同一平面上
D.1mol该物质与足量$\mathrm{NaOH}$溶液反应,最多可消耗2mol$\mathrm{NaOH}$
答案:
2.D 该物质中只有羧基能与NaOH溶液反应,1mol该物质最多消耗1mol NaOH,D错误。
反思升华
研究有机化合物的一般思路
①认真观察有机物的结构,分析其碳骨架和官能团,了解有机物所属的类别;
②结合这类有机物的一般性质,推测该有机物可能具有的性质。
反思升华
研究有机化合物的一般思路
①认真观察有机物的结构,分析其碳骨架和官能团,了解有机物所属的类别;
②结合这类有机物的一般性质,推测该有机物可能具有的性质。
3.(2024江苏扬州邗江中学期中)我国科学家在苯炔不对称芳基化反应方面取得重要进展,一定条件下该反应转化如下:

下列说法正确的是
(
A.箭头a所指碳原子的C—H键比箭头b所指碳原子的C—H键活泼
B.有机物Y易溶于水
C.1mol苯炔中所含H原子数为4mol
D.1mol苯炔最多可与3mol$\mathrm{H_2}$发生加成反应
下列说法正确的是
(
C
)A.箭头a所指碳原子的C—H键比箭头b所指碳原子的C—H键活泼
B.有机物Y易溶于水
C.1mol苯炔中所含H原子数为4mol
D.1mol苯炔最多可与3mol$\mathrm{H_2}$发生加成反应
答案:
3.C 有机物X中箭头b所指碳原子的C—H键和苯炔发生反应,箭头b所指碳原子的C—H键比箭头a所指碳原子的C—H键活泼,A错误;有机物Y中含苯环和酯基,水溶性较差,B错误;由苯炔的结构简式可知1mol苯炔中所含H原子数为4mol,C正确;苯炔的分子式为C₆H₄,与H₂完全加成生成环己烷(分子式为C₆H₁₂),即1mol苯炔最多能与4mol H₂发生加成反应,D错误。
知识拓展
有机化学中难溶于水的基团称为憎水基团,包括烃基、酯基等;易溶于水的基团称为亲水基团,如羟基、羧基等。
知识拓展
有机化学中难溶于水的基团称为憎水基团,包括烃基、酯基等;易溶于水的基团称为亲水基团,如羟基、羧基等。
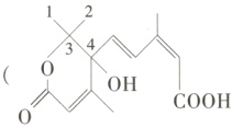
4.(2025湖南岳阳开学考试)有机化合物X的结构如图所示。下列说法正确的是
(

A.X分子中含有5种官能团
B.该有机物既可以使酸性$\mathrm{KMnO_4}$溶液褪色又可以使溴水褪色
C.1molX在一定条件下可与5mol氢气发生反应
D.有机化合物X分子中所有碳原子都在同一平面上
(
B
)A.X分子中含有5种官能团
B.该有机物既可以使酸性$\mathrm{KMnO_4}$溶液褪色又可以使溴水褪色
C.1molX在一定条件下可与5mol氢气发生反应
D.有机化合物X分子中所有碳原子都在同一平面上
答案:
4.B X分子中含有酯基、羟基、羧基、碳碳双键共4种官能团,A错误;该有机物中含有碳碳双键,既可以使酸性KMnO₄溶液褪色又可以使溴水褪色,B正确;1个该有机物分子中含有3个碳碳双键,1mol X在一定条件下可与3mol氢气发生反应,C错误;X
中1、2、3、4号碳原子不可能共平面,D错误。
4.B X分子中含有酯基、羟基、羧基、碳碳双键共4种官能团,A错误;该有机物中含有碳碳双键,既可以使酸性KMnO₄溶液褪色又可以使溴水褪色,B正确;1个该有机物分子中含有3个碳碳双键,1mol X在一定条件下可与3mol氢气发生反应,C错误;X
5.(2025江西南昌二中月考)近年来,乳酸成为研究热点之一。乳酸可以用化学方法合成,也可以由淀粉通过发酵法制备。以乳酸
$\mathrm{OH}$
$\mathrm{CH_3—CH—COOH}$
为原料制成的高分子材料具有生物相容性,而且在哺乳动物体内或自然环境中最终降解为二氧化碳和水。
(1)乳酸分子中所含有的官能团名称为
(2)乳酸可与金属钠、$\mathrm{NaOH}$溶液反应,等物质的量的乳酸分别与$\mathrm{Na}$和$\mathrm{NaOH}$溶液反应时,消耗$n(\mathrm{Na}):n(\mathrm{NaOH})$=
(3)乳酸能与铁粉反应制备一种补铁药物乳酸亚铁[$(\mathrm{CH_3—CH—COO})_2\mathrm{Fe}$],请写出反应的化学方程式:
(4)写出一种比乳酸少一个碳原子的同系物的结构简式:
$\mathrm{OH}$
$\mathrm{CH_3—CH—COOH}$
为原料制成的高分子材料具有生物相容性,而且在哺乳动物体内或自然环境中最终降解为二氧化碳和水。
(1)乳酸分子中所含有的官能团名称为
羟基、羧基
。(2)乳酸可与金属钠、$\mathrm{NaOH}$溶液反应,等物质的量的乳酸分别与$\mathrm{Na}$和$\mathrm{NaOH}$溶液反应时,消耗$n(\mathrm{Na}):n(\mathrm{NaOH})$=
2:1
。(3)乳酸能与铁粉反应制备一种补铁药物乳酸亚铁[$(\mathrm{CH_3—CH—COO})_2\mathrm{Fe}$],请写出反应的化学方程式:
$\mathrm{2CH_3—CH—COOH + Fe → (CH_3—CH—COO)_2Fe + H_2↑}$
。(4)写出一种比乳酸少一个碳原子的同系物的结构简式:
$\mathrm{HOCH_2COOH}$
。
答案:
5.答案
(1)羟基、羧基
(2)2:1
(3)2CH₃—CH—COOH + Fe → (CH₃—CH—COO)₂Fe + H₂↑
(4)HOCH₂COOH
解析
(2)乳酸中的羟基、羧基都能和Na反应,乳酸中的羧基能与NaOH反应,则等物质的量的乳酸分别与Na、NaOH溶液反应,消耗的Na和NaOH的物质的量之比为2:1。
(3)乳酸与Fe反应生成乳酸亚铁的化学方程式为2CH₃—CH—COOH + Fe → (CH₃—CH—COO)₂Fe + H₂↑
(4)比乳酸少一个碳原子的同系物的结构与乳酸相似,也含有羟基和羧基,该同系物的结构简式为HOCH₂COOH。
(1)羟基、羧基
(2)2:1
(3)2CH₃—CH—COOH + Fe → (CH₃—CH—COO)₂Fe + H₂↑
(4)HOCH₂COOH
解析
(2)乳酸中的羟基、羧基都能和Na反应,乳酸中的羧基能与NaOH反应,则等物质的量的乳酸分别与Na、NaOH溶液反应,消耗的Na和NaOH的物质的量之比为2:1。
(3)乳酸与Fe反应生成乳酸亚铁的化学方程式为2CH₃—CH—COOH + Fe → (CH₃—CH—COO)₂Fe + H₂↑
(4)比乳酸少一个碳原子的同系物的结构与乳酸相似,也含有羟基和羧基,该同系物的结构简式为HOCH₂COOH。
查看更多完整答案,请扫码查看