第51页
- 第2页
- 第3页
- 第4页
- 第5页
- 第6页
- 第7页
- 第8页
- 第9页
- 第10页
- 第11页
- 第12页
- 第13页
- 第14页
- 第15页
- 第16页
- 第17页
- 第18页
- 第19页
- 第20页
- 第21页
- 第22页
- 第23页
- 第24页
- 第25页
- 第26页
- 第27页
- 第28页
- 第29页
- 第30页
- 第31页
- 第32页
- 第33页
- 第34页
- 第35页
- 第36页
- 第37页
- 第38页
- 第39页
- 第40页
- 第41页
- 第42页
- 第43页
- 第44页
- 第45页
- 第46页
- 第47页
- 第48页
- 第49页
- 第50页
- 第51页
- 第52页
- 第53页
- 第54页
- 第55页
- 第56页
- 第57页
- 第58页
- 第59页
- 第60页
- 第61页
- 第62页
- 第63页
- 第64页
- 第65页
- 第66页
- 第67页
- 第68页
- 第69页
- 第70页
- 第71页
- 第72页
- 第73页
- 第74页
- 第75页
- 第76页
- 第77页
- 第78页
- 第79页
- 第80页
- 第81页
- 第82页
- 第83页
- 第84页
- 第85页
- 第86页
- 第87页
- 第88页
- 第89页
- 第90页
- 第91页
- 第92页
- 第93页
10. 当 $ a = \frac { 1 } { 3 } $,$ b = 9 $ 时,下列代数式的值为 24 的是( )。
A.$ ( 3 a + 2 ) ( b - 1 ) $
B.$ ( 2 a + 1 ) ( b + 10 ) $
C.$ ( 2 a + 3 ) ( b - 1 ) $
D.$ ( a + 2 ) ( b + 11 ) $
A.$ ( 3 a + 2 ) ( b - 1 ) $
B.$ ( 2 a + 1 ) ( b + 10 ) $
C.$ ( 2 a + 3 ) ( b - 1 ) $
D.$ ( a + 2 ) ( b + 11 ) $
答案:
A
11. 当 $ x = 1 $ 时,代数式 $ a x ^ { 5 } + b x ^ { 3 } $ 的值是 5,则当 $ x = - 1 $ 时,代数式 $ a x ^ { 5 } + b x ^ { 3 } + 1 $ 的值是______。
答案:
-4
12. 已知 $ m + 4 m ^ { 3 } = 6 $,则 $ 3 m + 12 m ^ { 3 } - ( m + 4 m ^ { 3 } ) ^ { 2 } $ 的值为______。
答案:
-18
13. 【数学应用】某卖场销售一种微波炉和电磁炉,微波炉每台定价 800 元,电磁炉每台定价 200 元。“十一”期间商场决定开展促销活动,活动期间向客户提供两种优惠方案。
方案一:买一台微波炉送一台电磁炉;
方案二:微波炉和电磁炉都按定价的 $ 90 \% $ 付款。
现某客户要到该卖场购买微波炉 10 台,电磁炉 $ x ( x > 10 ) $ 台。
(1) 若该客户按方案一购买,需付款______元;若该客户按方案二购买,需付款______元(用含 $ x $ 的代数式表示)。
(2) 若 $ x = 30 $,通过计算说明此时按哪种方案购买较为合算。
(3) 当 $ x = 30 $ 时,你能给出一种更为省钱的购买方案吗?试写出你的购买方案,并计算需付款多少元。
方案一:买一台微波炉送一台电磁炉;
方案二:微波炉和电磁炉都按定价的 $ 90 \% $ 付款。
现某客户要到该卖场购买微波炉 10 台,电磁炉 $ x ( x > 10 ) $ 台。
(1) 若该客户按方案一购买,需付款______元;若该客户按方案二购买,需付款______元(用含 $ x $ 的代数式表示)。
(2) 若 $ x = 30 $,通过计算说明此时按哪种方案购买较为合算。
(3) 当 $ x = 30 $ 时,你能给出一种更为省钱的购买方案吗?试写出你的购买方案,并计算需付款多少元。
答案:
解:
(1)(200x+6000) (180x+7200)
(2)当x=30时,方案一:200×30+6000=12000(元);方案二:180×30+7200=12600(元)。所以按方案一购买较为合算。
(3)先按方案一购买10台微波炉送10台电磁炉,再按方案二购买20台电磁炉,共需付款10×800+200×(30-10)×90%=11600(元)。
(1)(200x+6000) (180x+7200)
(2)当x=30时,方案一:200×30+6000=12000(元);方案二:180×30+7200=12600(元)。所以按方案一购买较为合算。
(3)先按方案一购买10台微波炉送10台电磁炉,再按方案二购买20台电磁炉,共需付款10×800+200×(30-10)×90%=11600(元)。
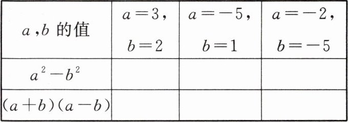
14. 【综合与实践】(1) 当 $ a $,$ b $ 取不同数值时,计算 $ a ^ { 2 } - b ^ { 2 } $ 及 $ ( a + b ) ( a - b ) $ 的值,并将计算结果填入下表。
| $ a $,$ b $ 的值 | $ a = 3 $,$ b = 2 $ | $ a = - 5 $,$ b = 1 $ | $ a = - 2 $,$ b = - 5 $ |
| $ a ^ { 2 } - b ^ { 2 } $ | | | |
| $ ( a + b ) ( a - b ) $ | | | |

(2) 根据上表的计算,对于 $ a $,$ b $ 各取任意一个数值,计算 $ a ^ { 2 } - b ^ { 2 } $ 及 $ ( a + b ) \cdot ( a - b ) $ 的值时,蕴含了一个规律,请你写出这个规律。
(3) 用你发现的规律计算:$ 60.06 ^ { 2 } - 39.94 ^ { 2 } $。
| $ a $,$ b $ 的值 | $ a = 3 $,$ b = 2 $ | $ a = - 5 $,$ b = 1 $ | $ a = - 2 $,$ b = - 5 $ |
| $ a ^ { 2 } - b ^ { 2 } $ | | | |
| $ ( a + b ) ( a - b ) $ | | | |
(2) 根据上表的计算,对于 $ a $,$ b $ 各取任意一个数值,计算 $ a ^ { 2 } - b ^ { 2 } $ 及 $ ( a + b ) \cdot ( a - b ) $ 的值时,蕴含了一个规律,请你写出这个规律。
(3) 用你发现的规律计算:$ 60.06 ^ { 2 } - 39.94 ^ { 2 } $。
答案:
解:
(1)5 24 -21 5 24 -21
(2)由
(1)的计算发现规律:a²-b²=(a+b)(a-b)。
(3)60.06²-39.94²=(60.06+39.94)×(60.06-39.94)=100×20.12=2012。
(1)5 24 -21 5 24 -21
(2)由
(1)的计算发现规律:a²-b²=(a+b)(a-b)。
(3)60.06²-39.94²=(60.06+39.94)×(60.06-39.94)=100×20.12=2012。
查看更多完整答案,请扫码查看