第90页
- 第2页
- 第3页
- 第4页
- 第5页
- 第6页
- 第7页
- 第8页
- 第9页
- 第10页
- 第11页
- 第12页
- 第13页
- 第14页
- 第15页
- 第16页
- 第17页
- 第18页
- 第19页
- 第20页
- 第21页
- 第22页
- 第23页
- 第24页
- 第25页
- 第26页
- 第27页
- 第28页
- 第29页
- 第30页
- 第31页
- 第32页
- 第33页
- 第34页
- 第35页
- 第36页
- 第37页
- 第38页
- 第39页
- 第40页
- 第41页
- 第42页
- 第43页
- 第44页
- 第45页
- 第46页
- 第47页
- 第48页
- 第49页
- 第50页
- 第51页
- 第52页
- 第53页
- 第54页
- 第55页
- 第56页
- 第57页
- 第58页
- 第59页
- 第60页
- 第61页
- 第62页
- 第63页
- 第64页
- 第65页
- 第66页
- 第67页
- 第68页
- 第69页
- 第70页
- 第71页
- 第72页
- 第73页
- 第74页
- 第75页
- 第76页
- 第77页
- 第78页
- 第79页
- 第80页
- 第81页
- 第82页
- 第83页
- 第84页
- 第85页
- 第86页
- 第87页
- 第88页
- 第89页
- 第90页
- 第91页
- 第92页
- 第93页
- 第94页
- 第95页
- 第96页
- 第97页
- 第98页
- 第99页
- 第100页
- 第101页
- 第102页
- 第103页
- 第104页
- 第105页
- 第106页
- 第107页
- 第108页
- 第109页
- 第110页
- 第111页
- 第112页
- 第113页
- 第114页
- 第115页
- 第116页
- 第117页
- 第118页
- 第119页
- 第120页
- 第121页
- 第122页
- 第123页
- 第124页
1. 解方程$\frac{3y - 1}{4}-1=\frac{2y + 7}{6}$,去分母时,方程两边都乘最简公分母(
A.10
B.12
C.4
D.6
B
)A.10
B.12
C.4
D.6
答案:
1.B
2. (2024·忻州五台县期末联考)解方程$\frac{2x - 1}{3}-\frac{x + 1}{2}=1$时,下列去分母变形正确的是(
A.$2(2x - 1)-3x + 1 = 6$
B.$2(2x - 1)-3(x + 1)=1$
C.$2(2x - 1)-3(x + 1)=6$
D.$3(2x - 1)-2(x + 1)=6$
C
)A.$2(2x - 1)-3x + 1 = 6$
B.$2(2x - 1)-3(x + 1)=1$
C.$2(2x - 1)-3(x + 1)=6$
D.$3(2x - 1)-2(x + 1)=6$
答案:
2.C
3. 解方程:$\frac{2x - 1}{3}=\frac{x - 3}{4}$.
解:方程两边乘
去括号,得
移项,得
合并同类项,得
系数化为1,得
解:方程两边乘
12
,得4(2x-1)=3(x-3)
.去括号,得
8x
$-4 = 3x-$9
.移项,得
8x-3x
$=$4-9
.合并同类项,得
5x=-5
.系数化为1,得
x=-1
.
答案:
3. 12;4(2x - 1)=3(x - 3);8x;9;8x - 3x;4 - 9;5x=-5;x=-1
4. 解下列方程:
(1)$\frac{2}{5}(y - 3)=-\frac{3}{5}(y - 7)$.
(2)$1-\frac{2x - 1}{2}=\frac{1}{4}x$.
(3)$\frac{1 - 3x}{4}+\frac{x + 1}{3}=2$.
(1)$\frac{2}{5}(y - 3)=-\frac{3}{5}(y - 7)$.
(2)$1-\frac{2x - 1}{2}=\frac{1}{4}x$.
(3)$\frac{1 - 3x}{4}+\frac{x + 1}{3}=2$.
答案:
$4.(1)y=\frac{27}{5};$$(2)x=\frac{6}{5};$$(3)x=-\frac{17}{5}$
5. (教材P129练习T3变式)一辆客车和卡车同时从A地沿同一公路同方向行驶,客车的行驶速度是$80\ km/h$,卡车的行驶速度是$70\ km/h$,客车比卡车早$2\ h$到达B地.设A,B两地之间的路程是$x\ km$,可得方程为(
A.$80x - 70x = 2$
B.$\frac{x}{70}-\frac{x}{80}=2$
C.$70x - 80x = 2$
D.$\frac{x}{80}-\frac{x}{70}=2$
B
)A.$80x - 70x = 2$
B.$\frac{x}{70}-\frac{x}{80}=2$
C.$70x - 80x = 2$
D.$\frac{x}{80}-\frac{x}{70}=2$
答案:
5.B
6. (2024·忻州期末)涑水河,黄河中游支流,流域位于山西省南部的运城市境内.为把涑水河打造成集人文自然、创意休闲、文化传承于一体的沿河旅游风景区,现将一段长为225米的河道综合整治任务交由甲、乙两个工程队先后接力完成.甲工程队每天整治15米,乙工程队每天整治10米,共用时20天.甲、乙两工程队分别整治河道多少米?

答案:
6.解:设甲工程队整治河道x米,则乙工程队整治河道(225-x)米.根据题意,得$\frac{x}{15}+\frac{225-x}{10}=20,$解得$x=75.\therefore225-x=150.$答:甲、乙工程队分别整治河道75米、150米.
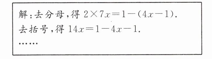
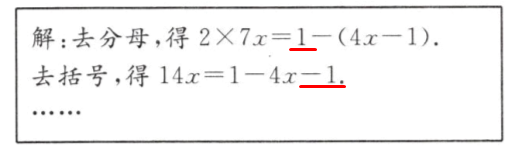
7. (2023·衢州改编)小红在解方程$\frac{7x}{3}=1-\frac{4x - 1}{6}$时,前两步出现了错误:

(1)请在上面的方框内用横线画出小红的错误处.
(2)写出正确的解答过程.
(1)请在上面的方框内用横线画出小红的错误处.
(2)写出正确的解答过程.
答案:
7.
(1)如图所示

(2)去分母,得2×7x=6-(4x-1).去括号,得14x=6-4x+1.移项,得14x+4x=6+1.合并同类项,得18x=7.系数化为1,得$x=\frac{7}{18}.$
7.
(1)如图所示
(2)去分母,得2×7x=6-(4x-1).去括号,得14x=6-4x+1.移项,得14x+4x=6+1.合并同类项,得18x=7.系数化为1,得$x=\frac{7}{18}.$
查看更多完整答案,请扫码查看