2025年君杰文化假期课堂暑假作业八年级数学沪科版
注:目前有些书本章节名称可能整理的还不是很完善,但都是按照顺序排列的,请同学们按照顺序仔细查找。练习册 2025年君杰文化假期课堂暑假作业八年级数学沪科版 答案主要是用来给同学们做完题方便对答案用的,请勿直接抄袭。
1. 用配方法解一元二次方程 $x^{2}-2x - 3 = 0$ 时,方程变形正确的是( )。
A.$(x - 1)^{2}= 2$
B.$(x - 1)^{2}= 4$
C.$(x - 1)^{2}= 1$
D.$(x - 1)^{2}= 7$
A.$(x - 1)^{2}= 2$
B.$(x - 1)^{2}= 4$
C.$(x - 1)^{2}= 1$
D.$(x - 1)^{2}= 7$
答案:
B
2. 一元二次方程 $x^{2}-2x = 0$ 的解是( )。
A.$x_{1}= 0,x_{2}= 2$
B.$x_{1}= 1,x_{2}= 2$
C.$x_{1}= 0,x_{2}= -2$
D.$x_{1}= 1,x_{2}= -2$
A.$x_{1}= 0,x_{2}= 2$
B.$x_{1}= 1,x_{2}= 2$
C.$x_{1}= 0,x_{2}= -2$
D.$x_{1}= 1,x_{2}= -2$
答案:
A
3. 已知关于 $x$ 的方程 $x^{2}-ax + b = 0$ 的两个根是 $x_{1}= -1,x_{2}= 2$,则二次三项式 $x^{2}-ax + b$ 可以分解为( )。
A.$(x + 1)(x + 2)$
B.$(x + 1)(x - 2)$
C.$(x - 1)(x + 2)$
D.$(x - 1)(x - 2)$
A.$(x + 1)(x + 2)$
B.$(x + 1)(x - 2)$
C.$(x - 1)(x + 2)$
D.$(x - 1)(x - 2)$
答案:
B
4. 若三角形三边的长均能使代数式 $x^{2}-9x + 18$ 的值为零,则此三角形的周长是( )。
A.9 或 18
B.12 或 15
C.9 或 15 或 18
D.9 或 12 或 15 或 18
A.9 或 18
B.12 或 15
C.9 或 15 或 18
D.9 或 12 或 15 或 18
答案:
C
5. 解一元二次方程 $x^{2}+3x + 2 = 0$,得 $x_{1}= $____,$x_{2}= $____。
答案:
-1 -2
6. 对于正整数 $a,b$ 规定关于“$*$”的新运算:“$a*b = ab + 3b$”,则方程 $x*(x + 1)= 99$ 的解为 $x= $____。
答案:
8
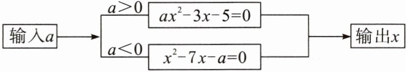
7. 有一个数值转换机,其流程如图所示。若输入 $a= -6$,则输出的 $x$ 的值为____;若输入 $a = 2$,则输出的 $x$ 的值为____。

答案:
1,6 -1,$\frac{5}{2}$
查看更多完整答案,请扫码查看