第41页
- 第1页
- 第2页
- 第3页
- 第4页
- 第5页
- 第6页
- 第7页
- 第8页
- 第9页
- 第10页
- 第11页
- 第12页
- 第13页
- 第14页
- 第15页
- 第16页
- 第17页
- 第18页
- 第19页
- 第20页
- 第21页
- 第22页
- 第23页
- 第24页
- 第25页
- 第26页
- 第27页
- 第28页
- 第29页
- 第30页
- 第31页
- 第32页
- 第33页
- 第34页
- 第35页
- 第36页
- 第37页
- 第38页
- 第39页
- 第40页
- 第41页
- 第42页
- 第43页
- 第44页
- 第45页
- 第46页
- 第47页
- 第48页
- 第49页
- 第50页
- 第51页
- 第52页
- 第53页
- 第54页
- 第55页
- 第56页
- 第57页
- 第58页
- 第59页
- 第60页
- 第61页
- 第62页
- 第63页
- 第64页
- 第65页
- 第66页
- 第67页
- 第68页
- 第69页
- 第70页
- 第71页
- 第72页
- 第73页
- 第74页
- 第75页
- 第76页
- 第77页
- 第78页
- 第79页
- 第80页
- 第81页
- 第82页
- 第83页
- 第84页
- 第85页
- 第86页
- 第87页
- 第88页
- 第89页
- 第90页
- 第91页
- 第92页
- 第93页
- 第94页
- 第95页
- 第96页
- 第97页
- 第98页
10. 若 $a$,$b$ 互为相反数,$c$,$d$ 互为倒数,则 $(a + b)^4 - (-cd)^3$ 的结果为(
A.$-1$
B.$1$
C.$-1$ 或 $2$
D.$2$
B
)A.$-1$
B.$1$
C.$-1$ 或 $2$
D.$2$
答案:
B
11. (新定义)用“※”定义新运算:对于任意有理数 $a$ 和 $b$,都有 $a※b = b^2 - ab$。例如,$1※3 = 3^2 - 1×3 = 6$。根据新定义计算 $(-2)※(-3)$ 的结果为(
A.$3$
B.$-3$
C.$6$
D.$-6$
A
)A.$3$
B.$-3$
C.$6$
D.$-6$
答案:
A
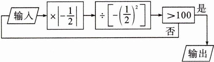
12. (程序题)按图所示的程序进行计算,若第一次输入的数是 $20$,而结果不大于 $100$ 时,应把结果作为输入的数再进行第二次运算,直到结果大于 $100$ 为止,则最后输出的结果为
]

320
。]
答案:
320
13. 计算:
(1) $-1^4 - (1 - 0.5)×\frac{1}{3}×[2 - (-3)^2]$;
(2) $-4^3÷(-32) - [(-\frac{2}{3})^3×(-3^2) + (-\frac{11}{3})]$。
(1) $-1^4 - (1 - 0.5)×\frac{1}{3}×[2 - (-3)^2]$;
(2) $-4^3÷(-32) - [(-\frac{2}{3})^3×(-3^2) + (-\frac{11}{3})]$。
答案:
(1)解:原式=-1-$\frac{1}{2}$×$\frac{1}{3}$×(-7)=-1+$\frac{7}{6}$=$\frac{1}{6}$.
(2)解:原式=-64÷(-32)-[-$\frac{8}{27}$×(-9)-$\frac{11}{3}$]=2-($\frac{8}{3}$-$\frac{11}{3}$)=2-(-1)=3.
(1)解:原式=-1-$\frac{1}{2}$×$\frac{1}{3}$×(-7)=-1+$\frac{7}{6}$=$\frac{1}{6}$.
(2)解:原式=-64÷(-32)-[-$\frac{8}{27}$×(-9)-$\frac{11}{3}$]=2-($\frac{8}{3}$-$\frac{11}{3}$)=2-(-1)=3.
14. (教材第 $53$ 页例 $4$ 变式)观察下面三行数。
① $-3$,$9$,$-27$,$81$,$-243$,…$$;
② $0$,$12$,$-24$,$84$,$-240$,…$$;
③ $-1$,$3$,$-9$,$27$,$-81$,…$$。
(1) 第①行数是按什么规律排列的?
(2) 第②③行数与第①行数分别有什么关系?
(3) 取每行数的第 $6$ 个数,求这三个数的和。
① $-3$,$9$,$-27$,$81$,$-243$,…$$;
② $0$,$12$,$-24$,$84$,$-240$,…$$;
③ $-1$,$3$,$-9$,$27$,$-81$,…$$。
(1) 第①行数是按什么规律排列的?
(2) 第②③行数与第①行数分别有什么关系?
(3) 取每行数的第 $6$ 个数,求这三个数的和。
答案:
(1)解:第①行数是按-3,(-3)²,(-3)³,(-3)⁴,(-3)⁵,…排列的.
(2)第②行数是第①行相应的数加3,第③行数是第①行相应的数的$\frac{1}{3}$.
(3)(-3)⁶+[(-3)⁶+3]+(-3)⁶×$\frac{1}{3}$=729+732+243=1704.
(1)解:第①行数是按-3,(-3)²,(-3)³,(-3)⁴,(-3)⁵,…排列的.
(2)第②行数是第①行相应的数加3,第③行数是第①行相应的数的$\frac{1}{3}$.
(3)(-3)⁶+[(-3)⁶+3]+(-3)⁶×$\frac{1}{3}$=729+732+243=1704.
15. (核心素养·创新意识)为了计算 $1 + 2 + 2^2 + 2^3 + 2^4 + … + 2^9 + 2^{10}$ 的值,我们采用如下的方法:
设 $S = 1 + 2 + 2^2 + 2^3 + 2^4 + … + 2^9 + 2^{10}$,①
则 $2S = 2 + 2^2 + 2^3 + 2^4 + 2^5 + … + 2^{10} + 2^{11}$。②
由②$-$①,得 $S = 2^{11} - 1$。
请你根据上述材料,解答下列问题:
(1) 求 $1 + 3 + 3^2 + 3^3 + … + 3^{2024}$ 的值;
(2) 已知一组按规律排列的数:$-1$,$5$,$-5^2$,$5^3$,$-5^4$,…。
① 它的第 $200$ 个数是
② 这列数中前 $200$ 个数的和为
设 $S = 1 + 2 + 2^2 + 2^3 + 2^4 + … + 2^9 + 2^{10}$,①
则 $2S = 2 + 2^2 + 2^3 + 2^4 + 2^5 + … + 2^{10} + 2^{11}$。②
由②$-$①,得 $S = 2^{11} - 1$。
请你根据上述材料,解答下列问题:
(1) 求 $1 + 3 + 3^2 + 3^3 + … + 3^{2024}$ 的值;
(2) 已知一组按规律排列的数:$-1$,$5$,$-5^2$,$5^3$,$-5^4$,…。
① 它的第 $200$ 个数是
5¹⁹⁹
;② 这列数中前 $200$ 个数的和为
$\frac{5^{200}-1}{6}$
。(1)解:设S=1+3+3²+3³+3⁴+…+3²⁰²⁴,①,则3S=3+3²+3³+3⁴+…+3²⁰²⁴+3²⁰²⁵.②,由②-①,得2S=3²⁰²⁵-1,所以S=$\frac{3^{2025}-1}{2}$,即1+3+3²+3³+…+3²⁰²⁴=$\frac{3^{2025}-1}{2}$.
答案:
(1)解:设S=1+3+3²+3³+3⁴+…+3²⁰²⁴,①,则3S=3+3²+3³+3⁴+…+3²⁰²⁴+3²⁰²⁵.②,由②-①,得2S=3²⁰²⁵-1,所以S=$\frac{3^{2025}-1}{2}$,即1+3+3²+3³+…+3²⁰²⁴=$\frac{3^{2025}-1}{2}$.
(2)①5¹⁹⁹ ②$\frac{5^{200}-1}{6}$
(1)解:设S=1+3+3²+3³+3⁴+…+3²⁰²⁴,①,则3S=3+3²+3³+3⁴+…+3²⁰²⁴+3²⁰²⁵.②,由②-①,得2S=3²⁰²⁵-1,所以S=$\frac{3^{2025}-1}{2}$,即1+3+3²+3³+…+3²⁰²⁴=$\frac{3^{2025}-1}{2}$.
(2)①5¹⁹⁹ ②$\frac{5^{200}-1}{6}$
查看更多完整答案,请扫码查看