第16页
- 第1页
- 第2页
- 第3页
- 第4页
- 第5页
- 第6页
- 第7页
- 第8页
- 第9页
- 第10页
- 第11页
- 第12页
- 第13页
- 第14页
- 第15页
- 第16页
- 第17页
- 第18页
- 第19页
- 第20页
- 第21页
- 第22页
- 第23页
- 第24页
- 第25页
- 第26页
- 第27页
- 第28页
- 第29页
- 第30页
- 第31页
- 第32页
- 第33页
- 第34页
- 第35页
- 第36页
- 第37页
- 第38页
- 第39页
- 第40页
- 第41页
- 第42页
- 第43页
- 第44页
- 第45页
- 第46页
- 第47页
- 第48页
- 第49页
- 第50页
- 第51页
- 第52页
- 第53页
- 第54页
- 第55页
- 第56页
- 第57页
- 第58页
- 第59页
- 第60页
- 第61页
- 第62页
- 第63页
- 第64页
- 第65页
- 第66页
- 第67页
- 第68页
- 第69页
- 第70页
- 第71页
- 第72页
- 第73页
- 第74页
- 第75页
- 第76页
- 第77页
- 第78页
- 第79页
- 第80页
- 第81页
- 第82页
- 第83页
- 第84页
- 第85页
- 第86页
7 [2025 宣城期中]在雨地里放置一个无盖的容器,如果雨水均匀地落入容器,容器内水面高度 h 与时间 t 的图象如图所示,那么这个容器的形状可能是 ( )

答案:
C 根据题图可得,容器内水面的高度随时间的增大而增大,且增加的速度越来越小,说明容器应该是越向上开口越大。
8 跨学科·化学 [2024 青海中考]化学实验小组查阅资料了解到:某种絮凝剂溶于水后能够吸附水中悬浮物并发生沉降,从而达到净水的目的.实验得出加入絮凝剂的体积与净水率之间的关系如图所示,下列说法正确的是 ( )

A.加入絮凝剂的体积越大,净水率越高
B.未加入絮凝剂时,净水率为 $ 0\% $
C.絮凝剂的体积每增加 $ 0.1mL $,净水率的增加量相等
D.加入絮凝剂的体积是 $ 0.2mL $ 时,净水率达到 $ 76.54\% $
A.加入絮凝剂的体积越大,净水率越高
B.未加入絮凝剂时,净水率为 $ 0\% $
C.絮凝剂的体积每增加 $ 0.1mL $,净水率的增加量相等
D.加入絮凝剂的体积是 $ 0.2mL $ 时,净水率达到 $ 76.54\% $
答案:
D 由题图得,当加入絮凝剂的体积为由0.5 mL增加到0.6 mL时,净水率从88.15%下降到75.34%,故选项A错误;未加入絮凝剂时,净水率为12.48%,故选项B错误;絮凝剂的体积每增加0.1 mL,净水率的增加量都不相等,故选项C错误;絮凝剂的体积为0.2 mL时,净水率为76.54%,故选项D正确。
9 [2024 六安金安区段考]甲、乙两城市相距 600 千米,一辆货车和一辆客车均从甲城市出发匀速行驶至乙城市,已知货车出发 1 小时后客车再出发,先到终点的车辆原地休息.在汽车行驶过程中,设两车之间的距离为 s(千米),客车出发的时间为 t(时),它们之间的关系如图所示.
信息读取:
(1)货车出发 1 小时走的路程为______千米;客车到达终点所用的时间为______小时.
解决问题:
(2)客车离开起点多少小时后,客车追上货车?
(3)客车到达终点时,两车相距多少千米?

信息读取:
(1)货车出发 1 小时走的路程为______千米;客车到达终点所用的时间为______小时.
解决问题:
(2)客车离开起点多少小时后,客车追上货车?
(3)客车到达终点时,两车相距多少千米?
答案:
解:
(1)60 6
在客车出发时,货车已出发1小时,由题图可知,此时两车之间的距离为60千米,即货车出发1小时走的路程为60千米;由题图可知,客车出发6小时时,两车距离最大,所以6小时时客车已到达终点。
(2)由
(1)可知,货车的速度为60÷1=60(千米/时),
客车的速度为600÷6=100(千米/时),
客车追上货车用了60÷(100 - 60)=1.5(时),
即客车离开起点1.5小时后,客车追上货车。
(3)当客车到达终点时,货车行驶的路程为60×(6 + 1)=420(千米),
此时两车相距600 - 420=180(千米)。
(1)60 6
在客车出发时,货车已出发1小时,由题图可知,此时两车之间的距离为60千米,即货车出发1小时走的路程为60千米;由题图可知,客车出发6小时时,两车距离最大,所以6小时时客车已到达终点。
(2)由
(1)可知,货车的速度为60÷1=60(千米/时),
客车的速度为600÷6=100(千米/时),
客车追上货车用了60÷(100 - 60)=1.5(时),
即客车离开起点1.5小时后,客车追上货车。
(3)当客车到达终点时,货车行驶的路程为60×(6 + 1)=420(千米),
此时两车相距600 - 420=180(千米)。
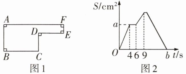
10 几何直观 如图 1,已知动点 P 从点 B 出发以 $ 2cm/s $ 的速度沿边框按 $ B \to C \to D \to E \to F \to A $ 的路径移动到点 A 停止,相应的三角形 ABP 的面积 S 关于时间 t 的函数图象如图 2 所示,若 $ AB = 6cm $,请仔细观察图象并解答下列问题:
(1)BC 的长度是______cm.
(2)求出图 2 中 a,b 的值.
(3)当点 P 在线段 FA 上运动时,求三角形 ABP 的面积 S 关于 t 的函数表达式,并确定此时自变量的取值范围.

(1)BC 的长度是______cm.
(2)求出图 2 中 a,b 的值.
(3)当点 P 在线段 FA 上运动时,求三角形 ABP 的面积 S 关于 t 的函数表达式,并确定此时自变量的取值范围.
答案:
解:
(1)8
(2)结合题中图象可知,a = $\frac{1}{2}$×6×8 = 24。
结合题中图象可知,点P由点C运动到点D的时间为6 - 4 = 2(s),
所以CD的长为2×2 = 4(cm),
所以EF = AB - CD = 6 - 4 = 2(cm),
所以点P由点E运动到点F的时间为$\frac{2}{2}$ = 1(s)。
点P由点D运动到点E的时间为9 - 6 = 3(s),
所以DE的长为3×2 = 6(cm),
所以AF = BC + DE = 8 + 6 = 14(cm),
所以点P由点F运动到点A的时间为$\frac{14}{2}$ = 7(s),
所以b = 9 + 1 + 7 = 17。
综上所述,a的值为24,b的值为17。
(3)根据题意,得S = $\frac{1}{2}$AB·AP = $\frac{1}{2}$×6×(17×2 - 2t)=102 - 6t,
自变量t的取值范围为10≤t≤17。
(1)8
(2)结合题中图象可知,a = $\frac{1}{2}$×6×8 = 24。
结合题中图象可知,点P由点C运动到点D的时间为6 - 4 = 2(s),
所以CD的长为2×2 = 4(cm),
所以EF = AB - CD = 6 - 4 = 2(cm),
所以点P由点E运动到点F的时间为$\frac{2}{2}$ = 1(s)。
点P由点D运动到点E的时间为9 - 6 = 3(s),
所以DE的长为3×2 = 6(cm),
所以AF = BC + DE = 8 + 6 = 14(cm),
所以点P由点F运动到点A的时间为$\frac{14}{2}$ = 7(s),
所以b = 9 + 1 + 7 = 17。
综上所述,a的值为24,b的值为17。
(3)根据题意,得S = $\frac{1}{2}$AB·AP = $\frac{1}{2}$×6×(17×2 - 2t)=102 - 6t,
自变量t的取值范围为10≤t≤17。
查看更多完整答案,请扫码查看