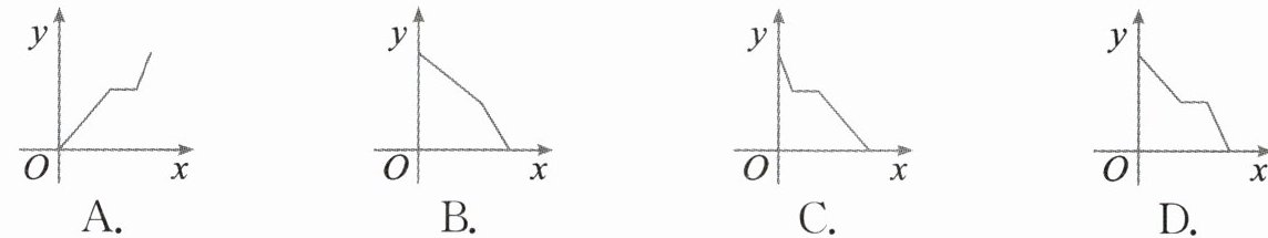
7. 为了建设社会主义新农村,某市积极推进“行政村通畅工程”.张村和王村之间的道路需要进行改造,施工队在工作了一段时间后,因暴雨被迫停工几天,不过施工队随后加快了施工进度,按时完成了两村之间的道路改造.下面能反映该工程尚未改造的道路里程$y(km)与时间x(d)$的函数关系的大致图象是(

D
)
答案:
D
8. 已知函数$y = (n - 2)x + n^{2}-4$是正比例函数,则$n = $
-2
.
答案:
-2
9. 如图,直线$y = kx + b经过A(3,1)和B(6,0)$两点,则不等式$0 < kx + b < \frac{1}{3}x$的解集为
3 < x < 6
.
答案:
3 < x < 6
10. 如图,已知直线$y = ax - b$,则关于$x的方程ax - 1 = b的解为x = $
4
.
答案:
4
11. 一次函数$y = kx + b$的图象如图所示,则不等式$kx + b < 0$的解集是
x > 2
.
答案:
x > 2
12. 如图,把矩形$OABC$放在直角坐标系中,$OC在x$轴上,$OA在y$轴上,且$OC = 2$,$OA = 4$,把矩形$OABC绕着原点顺时针旋转90^{\circ}得到矩形OA'B'C'$,则点$B'$的坐标为
(4,2)
.
答案:
(4,2)
13. 某产品生产车间有工人$10$名.已知每名工人每天可生产甲种产品$12个或乙种产品10$个,且每生产一个甲种产品可获得利润$100$元,每生产一个乙种产品可获得利润$180$元.在这$10$名工人中,车间每天安排$x$名工人生产甲种产品,其余工人生产乙种产品.
(1)请写出此车间每天获取利润$y$(元)与$x$(人)之间的函数解析式;
(2)若要使此车间每天获取利润为$14400$元,则要派多少名工人去生产甲种产品?
(3)若要使此车间每天获取利润不低于$15600$元,你认为至少要派多少名工人去生产乙种产品才合适?
(1)请写出此车间每天获取利润$y$(元)与$x$(人)之间的函数解析式;
(2)若要使此车间每天获取利润为$14400$元,则要派多少名工人去生产甲种产品?
(3)若要使此车间每天获取利润不低于$15600$元,你认为至少要派多少名工人去生产乙种产品才合适?
答案:
(1)$y = 12×100x + 10×180(10 - x)$
$= - 600x + 18000$
(2)由题意,得$14400 = - 600x + 18000$
解得$x = 6$
∴要派6名工人去生产甲种产品
(3)由题意,得$- 600x + 18000 \geq 15600$
解得$x \leq 4$
∴$10 - x \geq 6$
∴至少要派6名工人去生产乙种产品才合适
(1)$y = 12×100x + 10×180(10 - x)$
$= - 600x + 18000$
(2)由题意,得$14400 = - 600x + 18000$
解得$x = 6$
∴要派6名工人去生产甲种产品
(3)由题意,得$- 600x + 18000 \geq 15600$
解得$x \leq 4$
∴$10 - x \geq 6$
∴至少要派6名工人去生产乙种产品才合适
查看更多完整答案,请扫码查看