2025年53精准练八年级数学下册北师大版山西专版
注:目前有些书本章节名称可能整理的还不是很完善,但都是按照顺序排列的,请同学们按照顺序仔细查找。练习册 2025年53精准练八年级数学下册北师大版山西专版 答案主要是用来给同学们做完题方便对答案用的,请勿直接抄袭。
23. (12分)【类比学习】小明同学类比除法$240\div16 = 15$的竖式计算,想到对二次三项式$x^{2}+3x + 2$进行因式分解的方法:

即$(x^{2}+3x + 2)\div(x + 1)=x + 2$,所以$x^{2}+3x + 2=(x + 1)(x + 2)$.
(1)【初步应用】小明看到了这样一道被墨水污损的因式分解题:$x^{2}+\square x + 6=(x + 2)(x + ☆)$(其中$\square$、$☆$代表两个被污损的系数),他列出了下列竖式:

得出$\square =$__________,$☆ =$__________.
(2)【深入研究】小明用这种方法对多项式$x^{3}+2x^{2}-x - 2$进行因式分解,进行到了:$x^{3}+2x^{2}-x - 2=(x + 2)(*)(*$代表一个多项式).请你利用前面的方法,列出竖式,帮他完成对多项式$x^{3}+2x^{2}-x - 2$的因式分解.
即$(x^{2}+3x + 2)\div(x + 1)=x + 2$,所以$x^{2}+3x + 2=(x + 1)(x + 2)$.
(1)【初步应用】小明看到了这样一道被墨水污损的因式分解题:$x^{2}+\square x + 6=(x + 2)(x + ☆)$(其中$\square$、$☆$代表两个被污损的系数),他列出了下列竖式:
得出$\square =$__________,$☆ =$__________.
(2)【深入研究】小明用这种方法对多项式$x^{3}+2x^{2}-x - 2$进行因式分解,进行到了:$x^{3}+2x^{2}-x - 2=(x + 2)(*)(*$代表一个多项式).请你利用前面的方法,列出竖式,帮他完成对多项式$x^{3}+2x^{2}-x - 2$的因式分解.
答案:
解:
(1)5;3.
详解:由题意可知$(□ - 2)x + 6-(☆x + 2☆)=(□ - ☆ - 2)x+(6 - 2☆)=0$,则有$□ - ☆ - 2 = 0$,$6 - 2☆ = 0$,解得$□ = 5$,$☆ = 3$。
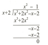
(2)仿照示例列竖式如下,

故$x^3 + 2x^2 - x - 2=(x + 2)(x^2 - 1)=(x + 2)(x + 1)(x - 1)$。
解:
(1)5;3.
详解:由题意可知$(□ - 2)x + 6-(☆x + 2☆)=(□ - ☆ - 2)x+(6 - 2☆)=0$,则有$□ - ☆ - 2 = 0$,$6 - 2☆ = 0$,解得$□ = 5$,$☆ = 3$。
(2)仿照示例列竖式如下,
故$x^3 + 2x^2 - x - 2=(x + 2)(x^2 - 1)=(x + 2)(x + 1)(x - 1)$。
查看更多完整答案,请扫码查看