2025年53精准练八年级数学下册北师大版山西专版
注:目前有些书本章节名称可能整理的还不是很完善,但都是按照顺序排列的,请同学们按照顺序仔细查找。练习册 2025年53精准练八年级数学下册北师大版山西专版 答案主要是用来给同学们做完题方便对答案用的,请勿直接抄袭。
22.(12分)同学们学习了有理数乘法,不等式组与方程组的知识,它们之间有着一定的逻辑关联,请解决以下问题:
阅读理解:
解不等式(x+1)(x−3)>0.
解:根据两数相乘,同号得正,原不等式可以转化为
或
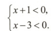
解不等式组
得x>3;解不等式组
得x<−1.
∴原不等式的解集为x>3或x<−1.
问题解决:
(1)根据以上材料,不等式(x−2)(x+3)<0的解集为________;
(2)已知关于x,y的二元一次方程组$\begin{cases}x + y = 3 - m\\x - y = 3m - 1\end{cases}$的解满足xy>0,,求m 的取值范围.
阅读理解:
解不等式(x+1)(x−3)>0.
解:根据两数相乘,同号得正,原不等式可以转化为
解不等式组
∴原不等式的解集为x>3或x<−1.
问题解决:
(1)根据以上材料,不等式(x−2)(x+3)<0的解集为________;
(2)已知关于x,y的二元一次方程组$\begin{cases}x + y = 3 - m\\x - y = 3m - 1\end{cases}$的解满足xy>0,,求m 的取值范围.
答案:
解:
(1)$-3<x<2$.
(2)解方程组$\begin{cases}x + y = 3 - m\\x - y = 3m - 1\end{cases}$,
得$\begin{cases}x = m + 1\\y = 2 - 2m\end{cases}$.
$\because xy>0$,
$\therefore\begin{cases}x>0\\y>0\end{cases}$或$\begin{cases}x<0\\y<0\end{cases}$.
解$\begin{cases}m + 1>0\\2 - 2m>0\end{cases}$,得$-1<m<1$,
不等式组$\begin{cases}m + 1<0\\2 - 2m<0\end{cases}$无解.
综上所述,$m$的取值范围是$-1<m<1$.
(1)$-3<x<2$.
(2)解方程组$\begin{cases}x + y = 3 - m\\x - y = 3m - 1\end{cases}$,
得$\begin{cases}x = m + 1\\y = 2 - 2m\end{cases}$.
$\because xy>0$,
$\therefore\begin{cases}x>0\\y>0\end{cases}$或$\begin{cases}x<0\\y<0\end{cases}$.
解$\begin{cases}m + 1>0\\2 - 2m>0\end{cases}$,得$-1<m<1$,
不等式组$\begin{cases}m + 1<0\\2 - 2m<0\end{cases}$无解.
综上所述,$m$的取值范围是$-1<m<1$.
23.(12分)项目化学习
项目主题:哪一款手机资费套餐更合适.
项目背景:做一件事情,有时会有不同的实施方案,比较这些方案,从中选择最佳方案是非常有必要的.手机作为日常生活的必备品,在我们身边有着举足轻重的作用.某校综合实践小组以探究“哪一款手机资费套餐更合适”为主题开展项目化学习.
驱动任务:探究“哪一款手机资费套餐更合适”.
探究步骤:
(1)实地走访,调查使用广泛且性价比较高的几种资费套餐;
(2)小组成员小明提供妈妈手机近几个月的话费账单,初步筛选出可供选择的两种资费套餐;
(3)数据分析,形成结论.
收集数据:
问题解决:请根据此项目实施的相关材料完成下列任务.
(1)建立模型:据调查显示,小明妈妈的手机通话时长没有超出套餐内容,因此只需研究流量与手机资费的关系.
①小明妈妈5月份的通话时长为480分钟,使用流量40GB,若使用A套餐,这个月她的手机资费是________元.
②设小明妈妈每月手机资费为y(元),每月使用流量为x(GB),通过分析数据,完成下面的填空.
A套餐:当x>30时,yA=________;B套餐:当x>60时,yB=________
(2)图象表示:为了更直观地比较,请你在同一平面直角坐标系中分别画出A套餐和B套餐每月手机资费y(元)关于每月使用流量x(GB)的函数图象.下面已给出部分图象,请你补充完整.
(3)应用模型:结合上面信息,请你为小明妈妈提出一条套餐选择建议.
项目主题:哪一款手机资费套餐更合适.
项目背景:做一件事情,有时会有不同的实施方案,比较这些方案,从中选择最佳方案是非常有必要的.手机作为日常生活的必备品,在我们身边有着举足轻重的作用.某校综合实践小组以探究“哪一款手机资费套餐更合适”为主题开展项目化学习.
驱动任务:探究“哪一款手机资费套餐更合适”.
探究步骤:
(1)实地走访,调查使用广泛且性价比较高的几种资费套餐;
(2)小组成员小明提供妈妈手机近几个月的话费账单,初步筛选出可供选择的两种资费套餐;
(3)数据分析,形成结论.
收集数据:
问题解决:请根据此项目实施的相关材料完成下列任务.
(1)建立模型:据调查显示,小明妈妈的手机通话时长没有超出套餐内容,因此只需研究流量与手机资费的关系.
①小明妈妈5月份的通话时长为480分钟,使用流量40GB,若使用A套餐,这个月她的手机资费是________元.
②设小明妈妈每月手机资费为y(元),每月使用流量为x(GB),通过分析数据,完成下面的填空.
A套餐:当x>30时,yA=________;B套餐:当x>60时,yB=________
(2)图象表示:为了更直观地比较,请你在同一平面直角坐标系中分别画出A套餐和B套餐每月手机资费y(元)关于每月使用流量x(GB)的函数图象.下面已给出部分图象,请你补充完整.
(3)应用模型:结合上面信息,请你为小明妈妈提出一条套餐选择建议.
答案:
解:
(1)110.
详解:①$60+(40 - 30)\times5 = 110$(元).
②$5x - 90$;$3x$.
详解:当$x>30$时,$y_{A}=60 + 5(x - 30)=5x - 90$;
当$x>60$时,$y_{B}=180 + 3(x - 60)=3x$.
(2)函数图象如图所示.
(3)令$5x - 90<180$,解得$x<54$,
令$5x - 90 = 180$,
解得$x = 54$,
令$5x - 90>180$,
解得$x>54$.
建议:当每月使用流量不足54 GB时,选择A套餐;当每月使用流量等于54 GB时,选择A套餐和B套餐均可以;当每月使用流量超过54 GB时,选择B套餐.
解:
(1)110.
详解:①$60+(40 - 30)\times5 = 110$(元).
②$5x - 90$;$3x$.
详解:当$x>30$时,$y_{A}=60 + 5(x - 30)=5x - 90$;
当$x>60$时,$y_{B}=180 + 3(x - 60)=3x$.
(2)函数图象如图所示.
(3)令$5x - 90<180$,解得$x<54$,
令$5x - 90 = 180$,
解得$x = 54$,
令$5x - 90>180$,
解得$x>54$.
建议:当每月使用流量不足54 GB时,选择A套餐;当每月使用流量等于54 GB时,选择A套餐和B套餐均可以;当每月使用流量超过54 GB时,选择B套餐.
查看更多完整答案,请扫码查看